












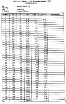
![]()















Proyek Tol Semarang-Demak Seksi 2 - PT. Wijaya Karya


Proyek Tol Semarang – Demak merupakan bagian dari jaringan Tol Trans Jawa yang membentang dari Semarang sampai Demak sepanjang 27 km (Seksi 1 dan 2) Adapun pembangunan tol ini dilakukan dengan skemakerjasamaPemerintahdanBadanUsaha(KPBU)sebagaiberikut:
• PaketValueGovernmentFund(VGF)terintegrasitanggullaut:STA0+000–STA10+690
• PaketInvestasiSTA10+690–STA27+000(dikerjakanolehkonsorsiumPP–WIKA–MMM)

Project : Tol Semarang-Demak Seksi 2
Contractor : PT. Wijaya Karya
Owner : PP Semarang Demak
Position : QA/QC (Internship)
Location : Demak, Indonesia








Dokumentasi Proyek





























