International Ozone Association OZONE NEWS May 2024

Page 1

Evaluating Ozone Performance During Climate-Driven Temperature Effects

NEWS Volume 51 No. 6 December, 2023 The Newsletter of the International Ozone Association Overview of Ozone Applications Overview of Ozone Applications Commercial Oil & Gas Mineral Processing Horticulture Food & Beverage Human Health Bio Pharma Animal Health Groundwater Marine Volume 52 / No. 3 • May 2024 SEE PAGE 17
with Potential Neurotoxicological
Cyanotoxins
Implications.
Calculated CT (mg-min/L) Cryptsporidium LRV = 0.0397 x (1.09757) Temp x CT Cryptsporidium LRV credit (log-inactivation) 10 8 6 4 2 0 0.0 0.5 1.0 1.5 2.0
potential neurotoxicological implications.
anatoxin-a; (C), saxitoxin; (D), microcystinLR; (E), -N-methylamino-L-alanine. (Metcalf et al. 2021)
Figure-4 Structures of cyanotoxins with
(A), guanitoxin; (B),
Figure 1. Graphical depiction of the effects of temperature on
required exposure (CT)
to
achieve targeted Cryptosporidium LRV.
SEE PAGE 13
Figure. 2. SNWA AMS pilot plant showing (left) the temperature control unit and (right) the ozone skid.
SEE PAGE 9 SEE PAGE 22 Meet the Veterans of the Ozone Industry Angelo Mazzei Mazzei Injector Co.

IOA OZONE NEWS 2024

OZONE NEWS

Volume 52 / No. 3 • May 2024

Editor-in-Chief: Dr. Saad Jasim

Ozone News (ISSN 1065-5905) is a bimonthly publication of the International Ozone Association (IOA). Annual subscription rate: $150.00. For editorial and advertising information, please contact:

International Ozone Association/Editorial Office

Attn: Dr. Saad Jasim, P.Eng.

4483 Cherry Hill Road

Windsor, ON N9G 2W3

Canada

Tel: +1-226-280-3522

Email: saadjasim@ioa-pag.org and sjenvcons@gmail.com

Membership and Publication Information:

The International Ozone Association is a nonprofit educational and scientific organization dedicated to the collection and dissemination of information on, and to promote research in, any and all aspects of ozone and related oxygen species technologies. Membership is open to any individual, corporation, or organization having interest in the latest developments and advancements in ozone technology.

As a member of the IOA, you’ll receive bimonthly issues of Ozone News, bimonthly issues of the technical journal Ozone: Science & Engineering (OS&E), and IOA’s Publication Catalog, which includes worldwide conference proceedings, monographs, and special reprints. In addition, members receive discounts on IOA worldwide publications and meetings.

Website: www.ioa-pag.org

For membership and publication information, please contact the IOA office nearest you:

Pan American Group (PAG)

International Ozone Association, Pan American Group Attn: Megan Corcoran c/o AAMSI 1521 I Street Sacramento, CA 95814

Tel: (1) 916-441-0629

Email: support@ioa-pag.org • Web: www.ioa-pag.org

European-African-Asian-Australasian Group (EA3G)

Ms. Beatrice Bernard, Secretariat

IOA-EA3G Secretaruat

7 rue Marcel Doré - Bât. B16

86000 Poitiers France

Tel: 33 (0) 5 49 45 44 54

Fax: 33 (0) 5 49 45 40 60

Email: ioa@esip.univ-poitiers.fr • Web: www.ioa-ea3g.org

Nippon Islands Group (NIG)

Mr.. Tetsuya Tamura

Japan Ozone Association

Intelligent Flats 301, 10-10 Nihonbashi Tomizawa-cho

Chuko- Tokyo 103-0006, Japan

Tel: (81) 3 6661 1622

Fax: (81) 3 6661 1623

Email: tamura@j-ozone.org • Web: www.j-ozone.org

2024 CONFERENCES

VOLUME 52, NO. 3 IOA OZONE NEWS 3 WELCOME 4 Mark Your Calendars Index of Advertisers List of Sponsors EDITOR’S NOTE 5 Climate Change Now IOA & INDUSTRY NEWS 6 Message from the New Editor-in-Chief of Ozone: Science and Engineering 8 In Memoriam: Dr. Ziad Fahmy 9 Meet
12 ‘Water
Celebration
13 Evaluating Ozone Performance
Climate-Driven Temperature Effects 17 Cyanotoxins and Neurological Disorder 20 Welcome, New Members
the Veterans of the Ozone Industry: Angelo Mazzei, Mazzei Injector Company
for Peace’ — World Water Day 2024
in Windsor, ON, Canada
During
20 Iberoamerican Conference
Oxidation Technologies 21
22
on Advanced
IOA—International Ozone Association EA3G2024 Europe, Africa, Asia, Australasia Group International Conference
International Ozone Association-Pan American Group (IOA-PAG) 2024 Conference
9 22

INDEX OF ADVERTISERS

Page 2 Air Physics Co., Ltd.

Page 5 ANSEROS Klaus Nonnenmacher GmbH

Page 5 Statiflo

Page 6 Plasma Technics, Inc.

Page 7 Teledyne API

Page 8 Tersano

Page 9 Mazzei

Page 10 BMT

Page 11 BMT

Page 24 AirSep

Copyright ©2024 International Ozone Association. All rights reserved. No part of this publication may be reproduced, stored, transmitted, or disseminated in any form or by any means without prior written permission from the International Ozone Association. The publisher assumes no responsibility for any statements of fact or opinion expressed in the published papers.

Mark Your Calendar

June 10–13, 2024 — AWWA Annual Conference and Exposition, (ACE24), Anaheim Convention Center, Anaheim, CA. www.awwa.org

June 13–14, 2024 — Japan Ozone Association Annual Conference on Ozone Science & Technology, Ryukoku University, Fukakusa Campas in Kyoto City, Japan

August 11–15, 2024 — IWA World Water Congress and Exposition, Metro Toronto Convention Center, Toronto. www.worldwatercongress.org

August 25–29, 2024 — IOA-PAG Annual Conference, Palms Resort & Casino, Las Vegas, NV. www.ioapag.org

August/September 2025 — IOA World Congress, Atlanta, GA. www.ioa-pag.org

November 27–29, 2024 — Europe, Africa, Asia, Australasia Group 2024 International Conference (EA3G2024), Porto, Portugal. www.ioa-ea3g.org

THANKS TO OUR ANNUAL SPONSORS

GOLD SPONSOR

SILVER SPONSORS

4 IOA OZONE NEWS VOLUME 52, NO. 3 WELCOME

Climate Change Now

The year 2023 was the warmest on record, water scarcity, desertification, new contaminants, and...

Too many challenges, but are we doing enough??

We should not wait for the problem to happen, then start to remediate the damages and make new guidelines, etc., etc. Science would not work by itself if there are no champions to make it clear to the public and decision makers.

Ozone News is inviting you to be part of this challenge, make your work and contributions to science and technology visible, be the champion.

Dr. Saad Y. Jasim, P.Eng. Ozone News Editor-in-Chief International Ozone Association

Statiflo supply a range of custom designed Ozone contacting systems which continually meet and exceed our guaranteed 95% mass transfer efficiency.

The Statiflo Gas Dispersion System (GDS) is often used by our customers to replace other high-maintenance and low-efficiency technologies, reducing overall costs and reducing your environmental impact.

• Highly efficient mixing

• Continuous performance over a wide flow range

• Smaller sidestreams than competitive solutions resulting in significant energy savings

• Very low pressure loss

• Uniformly distributes ozone

• No deterioration in performance after prolonged use

• Easy to install

• Available in all sizes

• Available in both pipe and duct designs

• Suitable for new and retrofit installations

• Custom designed for each application

VOLUME 52, NO. 3 IOA OZONE NEWS 5 Contact us to find out more: www.statiflo.com enquiries@statiflogroup.com
Key benefits include:
INLINE STATIC MIXERS AND GAS DISPERSION SYSTEMS STATIFLO_A5_AD.indd 1 28/06/2022 13:20 EDITOR’S NOTE
Dr. Saad Jasim, P.Eng.

Message from the New Editor-in-Chief of Ozone: Science and Engineering

It gives me great pleasure to take over the role of Editor-in-Chief of Ozone: Science and Engineering, a journal of the International Ozone Association. Firstly, I would like to thank my predecessor Barry Loeb, who over the past 25 years has led the journal from strength to strength, ensuring that Ozone: Science and Engineering maintained its place as a leading journal of ozone research. I am aware of the responsibilities that the Editor-in-Chief’s role entails, and I am approaching it with excitement and forward-looking. I am grateful to the IOA Board, the IOA Executive Committee, and the IOA Publications Committee for the trust they put in me

to take up this very important role. Ozone: Science and Engineering was established in the 1970s with its first issue was published in early 1979. Dr LJ Bollyky was the first Editor-in-chief from 1979 until 1985, then Dr Rip Rice from 1985 until 1998, and Barry Loeb from 1998 until 2024. An excellent review of the journal’s background was recently published by Barry and can be read at https://doi.org/10.108 0/01919512.2024.2279005.

Building on the successes of the journal so far, I am strongly committed to continuing our efforts to develop Ozone: Science and Engineering in the upward direction to ensure its highest quality. I am fortunate to be supported by a highly committed, hard-working, and enthusiastic team of Editors including Professor

6 IOA OZONE NEWS VOLUME 52, NO. 3 IOA NEWS
Chedly Tizaoui

Dr. J. (Hans) van Leeuwen, Professor Héctor Valdés Morales, and Dr. Koji Kosaka and together, we will work relentlessly to achieve this goal.

Ozone: Science and Engineering welcomes research and review papers on the broad field of ozone and related advanced oxidation processes. We invite everyone working in these fields to consider submitting their papers to Ozone: Science and Engineering. Further details about the journal and how to submit a paper can be found at our publisher’s online submission platform https://www.tandfonline.com/journals/bose20.

Finally, I would like to thank all authors who have chosen Ozone: Science and Engineering for publishing their papers and thank all our reviewers for the hard work they put in to ensure that the papers we publish are fully scrutinised.

Chedly Tizaoui

Ozone: Science and Engineering Editor-in-Chief Swansea University, U.K.

VOLUME 52, NO. 3 IOA OZONE NEWS 7 TELEDYNE API EverywhereyoulookTM www.teledyne-api.com • Water Treatment • Semiconductor • Medical, Pharmaceutical • Food & Beverage OZONE measuring technology for every application, from the ozone EXPERTS
all
ozone monitoring
process control needs. Whether
requirement is for high concentration, off-gas, vent gas, ambient gas or residual gas in water, we have the right solution for you.
Teledyne API provides solutions for
your
and
your
wide range of options Generator Output 465H Off-Gas 465M Vent/Ambient Gas 465L FINAL_2023 OZONE_1_7.0x4.75DATED1_27_23CROPPED.indd 1 1/27/2023 9:52:54 AM
Providing a
IOA NEWS

In Memoriam: Dr. Ziad Fahmy

From the Medical Association for the Use of Ozone in Prevention and Therapy

Our friend and colleague, the chairman of our ozone society, who has accompanied the medical application of ozone for over four decades, he has left us. We are sad; we are very sad.

Ziad has enriched us with his wealth of experience over many years and set standards for ozone indications and dosages in orthopedics right from the start with the development of intra articular injections, which were then adopted and disseminated by many colleagues and eventually became part of the ozone guidelines.

For decades, he was involved in seminars, European and international ozone congresses in our society and, in particular, initiated the three-day workshop in Bad Kreuznach, which has become a permanent fixture as a biennial event and has opened up the Arab world in particular for ozone.

We mourn him with Marianne and his family; he will remain forever in our memory.

On behalf of the “Medical Society for the Use of Ozone in Prevention and Therapy” in April 2024 — Renate Viebahn-Hänsler, Michael Schreiber, Wilhelm Schüler, Heinrich Habig, Philip Mavberg, Heinz Konrad, Monika Pirlet Gottwald.

Dr. Fahmy will be missed by the International Ozone Association as an active professional and as a friend. His great knowledge and warm personality will be always remembered. He had an active presence at the 26 World Congress of the IOA in Milan,

Italy, last year. We were fortunate to learn many aspects of Medical Ozone from Dr. Fahmy.

Born on Oct. 9, 1940, Dr. Med. Ziad Fahmy died March 29, 2024. He leaves behind his wife, Marianne Fahmy, son Uday Fahmy (with Sonja and Moritz) and daughter May Fahmy (with Till Tarik and Nick Mailo). As requested, he was buried in the cemetery with his son, Tarik. In his honor, please consider donating to Doctors Without Borders (Ärzte ohne Grenzen e.V.) in the memory of Dr. Med. Ziad Fahmy.

8 IOA OZONE NEWS VOLUME 52, NO. 3 IOA NEWS
International Ozone AssociationPan American Group (IOAPAG) 2024 Conference PAGE 22

Meet the Veterans of the Ozone Industry Angelo Mazzei

Since its establishment in 1978 by Angelo and Mary Mazzei, “Mazzei Injector Company” has been a pioneer in innovation and technology within the industry. Known worldwide for our expertise in designing and manufacturing fluid mixing and contacting technologies, we cater to a diverse range of markets including water and wastewater, agriculture, pool/spa, aquariums/aquaculture, and the wine industry.

Today, Mazzei Injector Company focus is on research and development to ensure that Mazzei products are designed, manufactured and deployed to deliver optimal performance. In-house computational fluid dynamics (CFD) multiphase flow modeling is used to design, analyze and optimize individual Mazzei products as well as multi-component contacting systems. The dedicated Mazzei team that sets the

company apart—they are the cornerstone of Mazzei’s success. With many employees having long tenures, one exceeding 35 years, possessing a wealth of valuable experience to draw upon when assisting the customers in finding solutions to their water or wastewater challenges. The company has distinguished itself by an ability to evaluate problems and develop innovative solutions to challenges in fluid/fluid and gas/fluid mixing in water and wastewater systems. When there is a need for a system and a supplier that delivers long-lasting service and value, there’s only one name to remember: Mazzei, a World Leader in Mixing and Contacting Technologies Angelo remains at the helm, guiding the company’s strategic direction and safeguarding its overarching vision. His commitment lies in producing and delivering solution-driven systems and products to meet the

Sidestream Injection & Pipeline Flash Reactor (PFR)...

• uniformly distributes ozone

• minimizes size & cost of ozone contacting system

VOLUME 52, NO. 1 IOA OZONE NEWS 9 3 IOA NEWS
Angelo Mazzei

Occupational

wThree year warranty on all parts & labor

wFive year warranty on the long-life UV lamp

wTraceable to NIST

wPressure & temperature compensated

w19" rack or cabinet versions

wCompliance: cTUVus listed, CE, RoHS

wInternal ozone generator for automatically testing the utility scrubber every 24 h or on command

wTwo scrubbers (utility & reserve), automatically switched on scrubber failure

wSample gas flow 1 l/min, internal pump auto controlled by an electronic flow meter

wCabinet version: IP65 (splash proof)

evolving needs of our customers across the various industries we serve.

Angelo holds numerous patents in fluid processing and related equipment— with a focus on gas and liquid injection into water streams, gas removal from water, and the injection of air or gas into subsurface irrigation water to significantly improve crop yields. A committed member of the American Society of Agricultural and Biological Engineers (ASABE) since 1975, Angelo was honored with the prestigious AE50 award in 2002 for his AirJection® Irrigation system. Recently, he has garnered recognition for his impactful contributions to multiple industries, notably receiving the “2021 Industry Achievement Award” from the Irrigation Association,

Unique features:

m Diagnostics software

m Sniffer Mode

m Scrubber test on demand

m Dimensions selectable: 3 ppm & µg/m v

m Firmware updates in the Field

m Three EMO circuits, User configurable

Monitoring the ambient ozone concentration is trace analysis! Only 100 parts per billion usually have to be measured. UV photometry is the only method which meets the precision and reliability demands of this delicate ozone measurement task.

OZONE MONITOR BMT 932

10 IOA OZONE NEWS VOLUME 52, NO. 3 IOA NEWS
Reliable Ambient Ozone Monitor!
Safety Demands a
BMT MESSTECHNIK GMBH - Hamburger Str. 19 - D-14532 Stahnsdorf, Germany - Phone +49-3329-69677-0 - www.bmt-berlin.de OSTI Inc. (Ozone Systems & Technology Int'l) - P.O. Box 63928 - Colorado Springs, CO 80962 - Phone +1-831-649 1141 - www.osti-inc.com

and the 2023 “Honorary Membership Award” from the International Ozone Association.

Angelo earned his bachelor’s of science degree from California State University, Fresno (Fresno State). Actively engaged in both community and professional organizations throughout his career, he was a founding member of the Kern Agricultural Foundation, and of the International Center for Water Technology (ICWT)—a collaboration of water technology professionals and Fresno State. Additionally, Angelo serves on the California State University, Bakersfield (CSUB) Foundation, the International Ozone Association, and played a pivotal role as a founder and board member of Valley Republic Bank in Bakersfield.

association (IOA). Angelo worked very closely with Barry Loeb, the past Editor-in-Chief to provide the support needed for the publication of Ozone Science & Engineering, the Journal of the International Ozone Association. His leadership of the Membership Committee was key to attract new generation of scientists and engineers to join the IOA.

Angelo was a key player in developing the Sponsorship Program for the IOA, and Mazzei Injector Company continue to be one of the Sponsors of the IOA.

Angelo has many other interests’ he likes music, and he plays the Accordion. His collection of Classic Cars is another unique hobby that amazed everyone who have seen that collection.

Angelo just stepped down as Chair of the Publication Committee of the IOA, after serving many years to ensure the continued success of the International Ozone

Angelo and Mary will continue their attendance to the International Ozone Association conferences, and it is always great to see them together at all these events.

OZONE

ANALYZER

BMT 965

If you are Tired of Battling Service Related Issues

wThree year warranty, on all parts & labor

wFive year warranty on the long-life UV lamp

wContaining over thirty years of experience in designing highest quality UV photometers

wBackward compatibility with BMT 964 series of analyzers

wPanel mount, portable, and wall mount models (IP65)

wState-of-the-art design, highest quality materials

wUnprecedented accuracy, stability, and reliability through design competence

wProven by thousands of installations around the world

wThe companion to your PC or PLC

wUSB port for field updates, log downloads and PC communication (Diagnostics)

wCalibration error less than 0.5% of range 3

wRanges from 0 - 2 to 0 - 800 g/Nm 3

wSelectable dimensions: g/Nm, %wt/wt, ppmv

wFull internal diagnostics

wLife long logging of Event & Error Log and concentration with date and time stamp

wWindows software for easy control included

wPower supply: 85 - 264 VAC or 12 - 36 VDC

wCabinet with enhanced sample gas filtering

wCabinet certified to NRTL / cTUVus and for ship operations (USCG)

wModbus RTU or TCP available

MESSTECHNIK GMBH - Hamburger Str. 19 - D-14532 Stahnsdorf, Germany - Phone +49-3329-69677-0 - www.bmtberlin.de OSTI Inc. (Ozone Systems & Technology Int'l) - P.O. Box 63928 - Colorado Springs, CO 80962 - Phone +1-831-649 1141www.osti-inc.com

VOLUME 52, NO. 1 IOA OZONE NEWS 11 3 IOA NEWS
BMT

‘Water for Peace’ — World Water Day 2024 Celebration in Windsor, ON, Canada

World Water Day is an annual United Nations observance held on March 22. It highlights the importance of freshwater and advocates for the sustainable management of freshwater resources. The day aims to raise awareness about the global water crisis and promote action to address it. Currently, 2.2 billion people live without access to safe water, and World Water Day serves as a reminder of the urgent need to ensure water and sanitation for all by 2030. The theme for 2024 was “Leveraging Water for Peace.”

This theme emphasized the critical role that water plays in promoting peace and stability around the world. Here are some key points related to this theme:

management can foster cooperation and prevent disputes. These agreements can address issues such as water allocation, pollution control, and disaster preparedness.

3. Water-Related Conflicts:

 Unfortunately, water scarcity and mismanagement can also lead to conflicts. Disputes over water rights, dam construction, and water pollution can escalate into serious conflicts.

 By prioritizing water security and sustainable management, we can reduce the risk of conflicts and promote peace.

4. Inclusive Approaches:

 Achieving water security and peace requires an inclusive approach that involves all stakeholders, including governments, communities, NGOs, and businesses.

1. Water as a Catalyst for Peace:

 Access to clean water and sanitation is essential for human well-being and development. When communities have reliable access to water, it can contribute to stability and reduce conflicts over scarce resources.

 Water scarcity often leads to tensions between different groups, especially in regions where water sources are shared across borders. By managing water resources sustainably, we can prevent conflicts and promote cooperation.

2. Water Diplomacy:

 Water can be a powerful tool for diplomacy and collaboration. Countries that share rivers or aquifers can engage in water diplomacy to find mutually beneficial solutions.

 International agreements and treaties related to water

 Investing in water infrastructure, promoting water conservation, and ensuring equitable access to water are essential steps toward a more peaceful world.

Water is not only essential for survival but also a fundamental human right. By leveraging water resources wisely, we can contribute to a more peaceful and sustainable future for all.

A celebration of the 2024 World Water Day took place on Saturday March 23, 2024 at the Devonshire Mall, Windsor, Ontario, Canada.

The event is organized and led annually by Dr. Saad Jasim, Editor-in-Chief and Past President of the International Ozone Association (IOA), with the support of the Rotary International clubs wherever Dr. Saad Jasim is present for more than 10 years.

This year, the display by the Rotary Club of Windsor Roseland, and participation of its members, provided a key success for the even. Members of the public, students from the University of Windsor stopped by to get information about the event.

In addition, ENWIN Utilities Ltd. (the licensed water system operator for the Windsor area water system owned by Windsor Utilities Commission) had a display next to the Rotary Club of Windsor Roseland display. They displayed the operation of the system to provide safe drinking water with Ozone application, which has been in operation since 2001, the first in Ontario, Canada.

12 IOA OZONE NEWS VOLUME 52, NO. 3 INDUSTRY NEWS

Evaluating Ozone Performance During Climate-Driven Temperature Effects

Bilal Abada, Ariel Atkinson, and Eric C. Wert*

Southern Nevada Water Authority (SNWA), P.O. Box 99954, Las Vegas, NV 89193-9954, United States

Summary

mg/L at 15°C) counteracted the lower required CT for 1.5 LRV at elevated temperatures. Overall, outcomes of these pilot tests suggested that the consultant’s initial design criteria were conservative, especially for 1.5 LRV, since they did not account for possible slower decay rates at higher CT. Bromate mitigation was investigated using chlorineammonium pretreatment under background (80 µg/L) and spiked (120 µg/L) bromide conditions. Chlorine and ammonium addition upstream of ozone lowered bromate formation to 1-5 µg/L (<50% of 10 µg/L MCL). Mechanistic explanations and details of this study can be found in our recently published open access work mentioned above.

The Southern Nevada Water Authority (SNWA) oxygen and ozone systems at Alfred Merritt Smith and River Mountains Water Treatment Facilities have been in service for > 20 years and are now being assessed for upgrades. The ozone process is expected to continue operating with the current target of a 0.5 Cryptosporidium log reduction value (LRV). However, the persisting drought and decline in Lake Mead water level warranted establishing operational guidelines in preparation for temperature increases and water quality fluctuations (such as elevated influent bromide). Therefore, the upgraded ozone system will be designed for 1.5 Cryptosporidium LRV to prepare for a potential reclassification into Bin 2 of LT2ESWTR. In this pilot study ozone operating parameters (i.e., ozone decay/demand and CT) were evaluated to examine the range of ozone design targets at different temperatures between 15-30°C. Results showed a transferred ozone dose of 2.4-2.8 mg/L would be needed to achieve the targeted 1.5 LRV for all tested temperatures. The higher estimated ozone decay rate (0.311 min-1) and demand (1.55 mg/L) at 30°C (compared to 0.108 min-1 and 0.84

Introduction

Climate change is impacting various water bodies globally by decreasing their water levels and yielding unprecedented water quality changes (such as water temperature and organic matter concentration and character). Temperature influences equations associated with disinfection regulation credits and guidance by the United States Environmental Protection Agency (USEPA). USEPA implements the Surface Water Treatment Rule (SWTR) to regulate Giardia lamblia and viruses, whereas it regulates Cryptosporidium through the Long Term 2 Enhanced Surface Water Treatment Rule (LT2ESWTR). Based on Cryptosporidium concentration and plant configuration, facilities are classified to different bins corresponding to different required log removal values (LRV). The LT2ESWTR Guidance Manual includes equations depicting LRV for Cryptosporidium: LRVCryptosporidium=0.0397×1.09757Temp×CT, Giardia: LRVGiardia=1.0380×1.0741Temp×CT, and viruses: LRVvirus=2.1744×1.0726Temp×CT

where CT refers to the ozone exposure typically reported as mg-min/L, and T is in ⁰C. Figure 1 shows an example of how temperature influences CT requirements for Cryptosporidium. Among the drought-impacted water bodies is Lake Mead which is the main source of water to SNWA water treatment facilities. SNWA operates two direct filtration drinking water facilities that are currently classified as Bin 1 under the LT2ESWTR, meaning disinfection requirements are now being met by filtration (direct filtration) alone, and no additional treatment (e.g., ozone) is needed. Although additional disinfection credits from ozone are not required, the current operating log removal value (LRV) goal for the ozone systems is 0.5 Cryptosporidium LRV by LT2ESWTR. The oxygen and ozone systems at both SNWA water treatment facilities are currently being assessed for upgrades after >20 years of operation. Although the operational goals may not necessarily change after

VOLUME 52, NO. 1 IOA OZONE NEWS 13 3 IOA NEWS
Eric C. Wert Bilal Abada Ariel Atkinson Figure 1. Graphical depiction of the effects of temperature on required exposure (CT) to achieve targeted Cryptosporidium LRV.

refurbishment, advancements in the design are being made to address future unprecedented challenges. Design upgrades may enable increased capacity, readiness for climate-driven water quality changes (specifically water temperature increases), and increased LRV targets if these are needed in the future. Hence, a decision was made by SNWA leadership to design the upgraded oxygen/ozone system to achieve a 1.5 Cryptosporidium LRV credit. This design goal was established to enable compliance in case the facilities were reclassified as Bin 2 (direct filtration).

To meet the elevated goal, a 3x increase in ozone CT (i.e., exposure) at 15°C from 3.1 mg-min/L to 9.4 mg-min/L would be required and is expected to also result in changes in ozone kinetics (i.e., decay/ demand) and bromate formation. Similarly, elevated temperatures (30°C is selected as a worst-case-scenario) necessitate ozone CT to increase from 0.9 mg-min/L (for 0.5 LRV) to 2.5 mg-min/L (for 1.5 LRV), accompanied by decreases in ozone halflife (i.e., higher decay rates).

Importance of Pilot-Scale Testing in this Study

Most of the available information on temperature effects on ozone performance are from bench-scale studies. The limited information from full-scale studies is also subject to other water quality changes, as full-scale temperature effects can only be conducted at different seasons. Although bench-scale studies can offer beneficial information to ozone design and operation, they cannot simulate full-scale operation from two standpoints: (i) Ozone dissolution and hydrodynamics and (ii) ozone demand definition.

Bench-scale testing is based on adding a chilled concentrated ozone stock solution (~2°C) into a sample, mostly in batch configuration not simulating full-scale hydrodynamics and contact zone baffling. Also, the ozone demand in bench-scale testing is defined as the initial ozone demand (IOD), which represent the concentration of ozone decayed within the first 30 seconds of ozone addition. In contrast, ozone demand in full-scale testing typically represents the concentration of ozone depleted in the dissolution zone (ODdiss), which vary in duration based on operation and configuration but mostly includes several minutes of ozone reaction with water. The SNWA pilot-scale plant can bridge the gaps between the bench- and fullscale systems, as it is equipped with a temperature control unit allowing for studying temperature as the only water quality variable in a system mimicking full-scale hydrodynamics and configuration.

14 IOA OZONE NEWS VOLUME 52, NO. 3 IOA NEWS
Figure. 2. SNWA AMS pilot plant showing (left) the temperature control unit and (right) the ozone skid. Figure 3. Pilot results depicting (a-b) Ozone demand in the dissolution zone (ODdiss) and (c-d) ozone decay (k*) as a function of transferred ozone dose. Results for 15°C and 26°C are shown as representatives for winter and summer temperatures. Additional results

Study Approach

This study was performed using the ozone pilot skid manufactured by Intuitech (Salt Lake City, UT) located in at the Alfred Merritt Smith Water Treatment Facility (AMSWTF, Figure 2) in October-November 2022. The ozone pilot was fed by the dedicated research raw water line containing no added chloramines (unlike the full-scale raw water) at temperatures adjusted to 15, 20, 26, and 30°C. The raw water was directed through the pilot raw water skid before the heater and ozone skid, where online raw water quality measurements (pH 7.5-7.6, turbidity of 0.2-0.6 NTU, and conductivity of 850-960 µS/cm2) were collected at ~ 15°C, and flow was split into two trains, each train operated at 3.9-4.1 gpm to achieve a total hydraulic detention time (HDT) in the ozone disinfection zone of 30-35 minutes.

Chlorine and ammonium were dosed in concentrations of 0-0.5 mg/L (as Cl2 and as NH4+-N, respectively), ahead of water splitting into two trains. Both trains delivered ozone gas through fine bubble diffusion. Ozone exposure (i.e., CT) was calculated using the Extended Integrated T10 method (adapted from LT2ESWTR Toolbox Guidance Manual) with ozone concentration and hydraulic detention time specifically in the disinfection zone. A T10/T ratio of 0.65 was used based on a tracer study. Calcium thiosulfate was fed to each ozone train effluent and the waste stream to quench any residual ozone. Ozone gas concentration (feed, off gas) was measured with a BMT high concentration gas analyzer. Dissolved ozone was measured online using calibrated Rosemount DO3 probes and with grab samples analyzed using the indigo method. Additional details of pilot operation, testing matrix, and analytical tools and calculations are available in our open access publication.

Effects of Temperature on Ozone Demand/Decay

The ozone demand increased with increasing temperature and transferred ozone dose, Figure 3a-b, as it rose from 0.35 to 1.00 mg/L when dose increased from 1.0 to 3.0 mg/L at 15⁰C, and from 0.5 to 1.68 mg/L for the same dosing range at 26⁰C. Further, the ozone decay rate slowed with increased ozone dose (Figure 3c-d) for each studied temperature. Decay rates were higher at higher temperatures. For an ozone dose of 1.0 mg/L, the decay

Figure 4. Required transferred ozone doses to achieve ozone exposure (left y-axis) and corresponding Cryptosporidium LRV (right y-axis) at (a) 15°C and (b)26°C. Figure also depicts the comparison of pilot results to fullscale initial design criteria.

rate was 0.19 min-1 (at 15⁰C) and 0.48 min-1 (at 26⁰C). In contrast, at the dose of 3.0 mg/L, the ozone decay rate reduced to 0.08 min-1 (at 15⁰C) and 0.19 min-1 (at 26⁰C). Hence, for the ozone dose, decay rates were more than doubled when the water was heated from 15 to 26⁰C. Contrary to pilot results, initial design criteria assumed that both ozone demand and decay rates would be the same at transferred ozone doses for the same temperature. This discrepancy could result in conservatively designed transferred ozone doses, which were used in the initial design criteria at higher LRVs discussed in the next section.

Temperature Effects on Ozone Disinfection Credit

At all tested temperatures, ozone CT (and corresponding Cryptosporidium LRV) increased linearly with the transferred ozone dose (Figure 4). At 15 ⁰C, the current operational target of 0.5 Cryptosporidium LRV corresponded to an ozone exposure (i.e., CT) of 3.1 mg-min/L and a (transferred) ozone dose of 1.6 mg/L. The elevated design target for 1.5 LRV necessitated a 3x increase in ozone exposure (9.4 mg-min/L) and a 1.5x increase in the transferred ozone dose (2.5 mg/L). Similar trends were observed for 26⁰C, indicating that, regardless of differences in ozone CT, a transferred ozone dose of 1.6-1.8 mg/L would be needed for 0.5 LRV and 2.4-2.8 mg/L of transferred ozone dose would be required for 1.5 LRV. The proposed transferred ozone doses from the initial design criteria were consistent with our pilot results for 15 and 26 ⁰C at 0.5-1 LRV, but were more conservative for 1.5 LRV, presumably because they did not account for changes in ozone demand/decay at different LRV goals (i.e. at different transferred ozone doses), Figure 4.

Bromate Formation and Control

Bromate concentration in the ozone effluent increased with increasing transferred ozone dose (Figure 5), as expected. Temperature did not influence bromate formation at each LRV level, indicating that similar bromate control strategies can be implemented at different temperature conditions. At doses corresponding to the current operational 0.5 LRV target, bromate was below the maximum contaminant level (MCL) for all tested temperatures, with or without bromate control. When ozone was dosed to achieve the elevated 1.5 LRV target, without bromate control (i.e., chlorine-ammonium), the bromate concentration was more than 2x the MCL. When chlorineammonium was added (at 0.5 mgCl2/L and 0.1-0.5 mg NH4+-

VOLUME 52, NO. 1 IOA OZONE NEWS 15 3 IOA NEWS

N/L) immediately upstream of the ozone process, bromate formation was substantially inhibited, bringing bromate concentrations to 50% of the MCL (a typical SNWA water quality goal) or lower for most elevated design target condition. Moreover, pilot testing was also conducted with spiked bromide concentrations (upstream of chlorine-ammonium dosing) to increase influent bromide from 80 µg/L to 120 µg/L to simulate higher influent concentration than the worst-case modeled scenario for Lake Mead. Even with spiked bromide and high LRV goals, chlorine-ammonium addition successfully curtailed bromate formation below 50% MCL (data not shown).

Conclusions and Recommendations

To summarize the main takeaways from this work: Ozone decay rates increased with increased temperatures but decreased with increased transferred ozone doses for a fixed temperature. In addition, ozone demand increased with increased temperature and transferred ozone doses.

A transferred ozone dose of approximately 2.4-2.8 mg/L is needed to meet the elevated design of 1.5 Cryptosporidium LRV in the temperature range of 15-30 ⁰C.

The initial design criteria did not account for effects of transferred ozone doses on ozone demand/decay, and thus were conservative in estimated transferred ozone doses at high LRVs. Bromate formation increased to above the MCL at the elevated disinfection targets, when no bromate control was used. Chlorine-ammonium dosing upstream of ozone, was demonstrated as sufficient to control bromate formation at all tested temperature even if influent bromide was increased by >50% of current levels.

Acknowledgments

We acknowledge Emily Christensen for assisting with pilot work. We also thank SNWA laboratory staff (Janie Holady, Steve George, Lena Wright, and Matthew Desautel) for sample preparations and select laboratory analysis. We also acknowledge Benjamin Finnegan, Christine Ngan Love, and

Figure 5. Effluent bromate concentration as a function of transferred ozone doses and various chlorine-ammonium pretreatments at (a) 15°C and (b)26°C.

Christopher Schulz from CDM Smith for providing full-scale design information and providing feedback on the test plans and pilot study results.

REFERENCES

Buffle MO, Schumacher J, Salhi E, Jekel M, von Gunten U. Measurement of the initial phase of ozone decomposition in water and wastewater by means of a continuous quench-flow system: application to disinfection and pharmaceutical oxidation. Water Res. 2006;40(9):1884-1894. doi:10.1016/j.watres.2006.02.026

Butcher JB, Nover D, Johnson TE, Clark CM. Sensitivity of lake thermal and mixing dynamics to climate change. Clim Change. 2015;129(1):295-305. doi:10.1007/s10584015-1326-1

Hannoun D, Tietjen T, Brooks K. The Influence and Implications of Climate Change on Water Quality in a Large Water Reservoir in the Southwest, USA. Am J Clim Change. 2022;11(3):197-229. doi:10.4236/ajcc.2022.113010

Morrison CM, Hogard S, Pearce R, Gerrity D, von Gunten U, Wert EC. Ozone disinfection of waterborne pathogens and their surrogates: A critical review. Water Res. 2022;214:118206. doi:10.1016/j.watres.2022.118206

Morrison CM, Hogard S, Pearce R, et al. Critical Review on Bromate Formation during Ozonation and Control Options for Its Minimization. Environ Sci Technol. 2023;57(47):18393-18409. doi:10.1021/acs.est.3c00538

Rakness KL, Najm I, Elovitz M, Rexing D, Via S. Cryptosporidium log-inactivation with ozone using effluent CT10, geometric mean CT10, extended integrated CT10 and extended CSTR calculations. Ozone Sci Eng. 2005;27(5):335-350. doi:10.1080/01919510500250267

Rakness KL, Wert EC, Elovitz M, Mahoney S. Operator-friendly technique and quality control considerations for indigo colorimetric measurement of ozone residual. Ozone Sci Eng. 2010;32(1):33-42. doi:10.1080/01919510903467864

Shin J, Hidayat ZR, Lee Y. Influence of Seasonal Variation of Water Temperature and Dissolved Organic Matter on Ozone and OH Radical Reaction Kinetics During Ozonation of a Lake Water. Ozone Sci Eng. 2016;38(2):100-114. doi:10.1080/01919512.2015.1079120

USEPA. Comprehensive Surface Water Treatment Rules Quick Reference Guide: Systems Using Conventional or Direct Filtration. Published online 2004:EPA 816-F-04-003.

USEPA. National Primary Drinking Water Regulations: Long Term 2 Enhanced Surface Water Treatment Rule; Final Rule. 2006;71 FR 654.

USEPA. Long Term 2 Enhanced Surface Water Treatment Rule Toolbox Guidance Manual. Published online 2010:EPA 815-R-09-016.

Wert EC, Lew J, Rakness KL. Effect of ozone dissolution systems on ozone exposure and bromate formation. J Am Water Works Assoc. 2017;109(7):E302-E312. doi:10.5942/ jawwa.2017.109.0048

Wright B, Stanford BD, Reinert A, Routt JC, Khan SJ, Debroux JF. Managing water quality impacts from drought on drinking water supplies. Journal of Water Supply: Research and Technology-Aqua. 2013;63(3):179-188. doi:10.2166/aqua.2013.123

16 IOA OZONE NEWS VOLUME 52, NO. 3 IOA NEWS

Cyanotoxins and Neurological Disorder

A report by Global News, March 15, 2024, raised the alarm of the increase of Neurological conditions, such as Alzheimer’s disease, migraines, stroke and multiple sclerosis, are now the leading cause of ill health and disability around the world, affecting 3.4 billion people, according to a new study published in Lancet Neurology. The study found that these neurological conditions affected 43 per cent of the world population and caused more than 11 million deaths in 2021.

neurological disorders are not sufficiently disorders.

“The worldwide neurological burden is growing very fast and will put even more pressure on health systems in the coming decades,” said Valery Feigin, the director of Auckland University’s National Institute for Stroke and Applied Neuroscience in New Zealand.

The study indicated that Neurological disorders are the leading cause of disability and the second leading cause of death worldwide. In the past 30 years, the absolute numbers of deaths and people with disabilities owing to neurological diseases have risen substantially, particularly in low-income and middle-income countries, and further increases are expected globally as a result of population growth and aging. This rise in absolute numbers of people affected suggests that advances in prevention and management of major

“Yet many current strategies for reducing neurological conditions have low effectiveness or are not sufficiently deployed, as is the case with some of the fastest-growing but largely preventable conditions like diabetic neuropathy and neonatal disorders. For many other conditions, there is no cure, underscoring the importance of greater investment and research into novel interventions and potentially modifiable risk factors,” he said in a media release.

The study, Global Burden of Disease, Injuries and Risk Factors Study (GBD) 2021 (Steinmetz et al. 2024), builds on previous versions to provide the “largest and most comprehensive analysis” of the prevalence and impact of nervous system disorders across countries worldwide from 1990 to 2021, it said. The analysis also broadened its scope by examining 37 neurological conditions, a substantial increase from the previous 15.

It found the number of people living with or dying from neurological conditions such as dementia and meningitis has risen 18 percent over the last 30 years. The increase, the authors say, is largely due to an aging and growing population worldwide.

Shading in panels A and C and black bars in panels B and D depict 95% uncertainty intervals.

DALYs=disability-adjusted life-years (Steinmetz et al. 2024).

The top 10 contributors to neurological health loss in 2021 were stroke, brain injury, migraine, Alzheimer’s disease and other dementias, diabetic neuropathy (nerve damage), meningitis, epilepsy, neurological complications from preterm birth, autism spectrum disorder, and nervous system cancers.

“This study should serve as an urgent call to action to scale up targeted interventions to allow the growing number of people living with neurological conditions to access the quality care, treatment and rehabilitation they need. It is more important than ever to ensure brain health is better understood, valued and protected, from early childhood to later life,” Dr. Tedros Adhanom Ghebreyesus, WHO Director-General, said in a press release.

Joshua Armstrong, a research scientist at the Alzheimer Society of Canada (ASC), told Global News the Lancet study shows how far-reaching neurological disorders are and brings to light the different conditions impacting the nervous system. He stressed the need for a global focus to prevent and deal with these conditions as they increase in numbers. Apart from age, Armstrong said several other factors can increase the risk of neurological conditions. Environmental elements like pollution, smoking, and alcohol consumption, along with lifestyle factors such as obesity, exercise habits, and social isolation, all play significant roles.

VOLUME 52, NO. 1 IOA OZONE NEWS 17 3 INDUSTRY NEWS
Dr. Saad Jasim, P.Eng. Figure-1, Temporal and age patterns in global DALYs for all neurological conditions combined DALY counts are shown over time (A) and by age group in 2021 (B). Age-standardised DALYs per 100000 population are shown over time (C) and age-specific rates are shown in 2021 (D).

Cyanotoxins and the Nervous System & Neurodegenerative Diseases

Scientific studies linked Cyanotoxins generated from the Harmful Algal Bloom to the Nervous System and Neurodegeneratative Diseases. Cyanotoxins are considered as one of the serious impacts of Climate Change on water resources. The Great Lakes, which represents 20% of the world fresh water, with approximately 40 million residents use it a source for drinking water, is facing this challenge. The outbreak of Cyanotoxins in Toledo, Ohio in 2014 is a reminder of this problem.

The NATIONAL CENTERS FOR COASTAL OCEAN SCIENCES (NCCOS) reported on 11/02/2023 that:

The 2023 western Lake Erie cyanobacterial bloom had a severity index (SI) of 5.3, which is moderately severe, and less intense than 2022 (SI of 6.8). The SI captures the amount of biomass over the peak 30-days of the bloom and is calculated using satellite imagery to assess bloom biomass and spatial extent. Microcystis bloom started at the beginning of July and was fully developed by mid-July. The bloom peaked in mid-August and persisted to early-September. At its peak, the Microcystis bloom covered 312 square miles. Unlike 2022, cooler temperatures and elevated winds in early-September reduced cyanobacterial biomass, although some bloom continued until mid-October.

In early September, field sampling confirmed the bloom shifted to a mix of Microcystis and Dolichospermum, which is historically seen later in the Lake Erie bloom season. The bloom stayed closer to the U.S. coast this year, primarily from Monroe, Michigan to Port Clinton, Ohio. The seasonal forecasted bloom severity was originally between 2 and 4.5. The forecast was amended based on satellite imagery through July 25, and predicted a severity range of 4.5 - 5.5. This year’s bloom touts the second earliest start (following 2018) since 2002. The early bloom started likely

Figure-2: Proportional contribution of various neurological disorders to the overall burden of neurological disorders. Proportions (%) of disabilityadjusted life-years (A) and deaths (B). Based on data from Feigin and colleagues (Valery Feigin et al. 2020).

Bloom severity index (SI) for 2002-2023. The SI is based on the amount of biomass over the peak 30-days. The 2023 bloom had a severity of 5.3. A severity below 3 is the goal of the Great Lakes Water Quality Agreement (GLWQA), (NCCOS, 2023).

allowed the cyanobacterial bloom to approach the higher end of the updated forecasted bloom severity (~5.5).

The Scientific research evaluated the link between Cyanotoxins and the Nervous System and Neurodegeneratative Diseases: The study by Paola Sini et al. 2021, “Cyanobacteria, Cyanotoxins, and Neurodegenerative Diseases: Dangerous Liaisons”, stated that:

“The prevalence of neurodegenerative disease (ND) is increasing, partly owing to extensions in lifespan, with a larger percentage of members living to an older age, but the ND aetiology and pathogenesis are not fully understood, and effective treatments are still lacking. Neurodegenerative diseases such as Alzheimer’s disease, Parkinson’s disease, and amyotrophic lateral sclerosis are generally thought to progress as a consequence of genetic susceptibility and environmental influences. Up to now, several environmental triggers have been associated with NDs, and recent studies suggest that some cyanotoxins, produced by cyanobacteria and acting through a variety of molecular mechanisms, are highly neurotoxic, although their roles in neuropathy and particularly in NDs are still controversial. In this review, we summarize the most relevant and recent evidence that points at cyanotoxins as environmental triggers in NDs development”.

Another study by Mecalf et al. 2021, “Cyanotoxins and the Nervous System, indicated that:

Cyanobacteria are capable of producing a wide range of bioactive compounds with many considered to be toxins. Although there are a number of toxicological outcomes with respect to cyanobacterial exposure, this review aims to examine those which affect the central nervous system (CNS) or have neurotoxicological properties. Such exposures can be acute or chronic, and we detail issues concerning CNS entry, detection

18 IOA OZONE NEWS VOLUME 52, NO. 3 INDUSTRY NEWS
Figure-3,

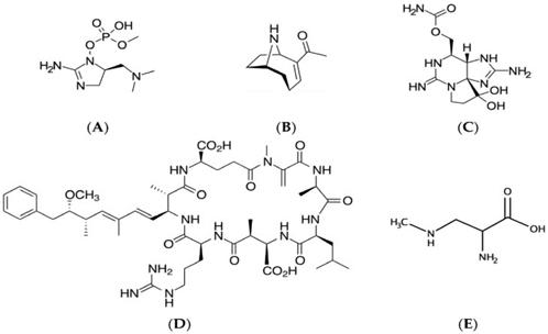
Figure-4 Structures of cyanotoxins with potential neurotoxicological implications. (A), guanitoxin; (B), anatoxin-a; (C), saxitoxin; (D), microcystinLR; (E), -N-methylamino-L-alanine. (Metcalf et al. 2021)

and remediation. Exposure can occur through a variety of media but, increasingly, exposure through air via inhalation may have greater significance and requires further investigation. Even though cyanobacterial toxins have traditionally been classified based on their primary mode of toxicity, increasing evidence suggests that some also possess neurotoxic properties and include known cyanotoxins and unknown compounds. Furthermore, chronic long-term exposure to these compounds is increasingly being identified as adversely affecting human health.

Ozone and Ozone Based Advanced Oxidation Process Effect on Cyanotoxins

The existence of cyanotoxins in finished drinking water at concentrations close to or higher to the guidelines set by the health and environmental agencies, indicates the insufficiency of treatment technologies in drinking water treatment plants. Conventional treatment technologies like coagulation/ flocculation, sedimentation and filtration are known to be inadequate for the removal of extracellular cyanotoxins. Removal of cyanotoxins with different oxidation technologies such as chlorine, and permanganate have been reported. However, those technologies are highly dependent on the oxidant dose and water characteristics and failed to remove all cyanotoxins efficiently. Oxidation with ozone based advanced oxidation process (AOP) have also been evaluated in pure and natural waters at various initial concentrations. A study evaluated the effectiveness of oxidation and degradation of 3 cyanotoxins, (including 2

cyanotoxins referred to by Metcalf et al. 2021), using Ozone and ozone based advanced oxidation process (AOP), (Jasim et al. 2020). Changes in the characteristics of raw water could affect the cyanotoxin removals differently, mainly dependent on their dissociation constants and molecular ozone availability. Oxidation efficiency was different for the cyanotoxins included in that research. An enhanced oxidation for one of the cyanotoxins was achieved by increasing the pH of raw water from 7.6 to 10, whereas oxidation efficiency of another decreased considerably at that alkaline pH. The application of AOP by the addition of H2O2, at a limited range of O3/ H2O2 ratios, was found to be not affecting the efficiency of the ozonation process in a significant manner.

A current proposed research project will investigate and evaluate the simultaneous oxidation and degradation of the previously investigated three cyanotoxins by Jasim et al. 2021, using ozone and ozone based advanced oxidation process (AOP), at different pH, temperatures, and in the presence of various doses of hydrogen peroxide to evaluate the AOP effectiveness in the process. The Findings of the research would provide useful information to water systems that are utilizing, or in the process to implementing ozonation for their drinking water treatment, on the removal/degradation of different cyanotoxins. The findings would provide valuable source of information to re-evaluate the existing guidelines.

REFERENCES

Jasim, S.Y., M. Uslu, R. Seth & N. Biswas, “Removal of Cyanotoxins in Detroit River Water Using Ozone-Based Advanced Oxidation Processes”. Ozone Science & Engineering, 2020, Taylor & Francis. https://doi.org/10.1080/01919512.2020.1793731

Metcalf, James S., Maeve Tischbein, Paul Alan Cox, and, Elijah W. Stommel,” Cyanotoxins and the Nervous System, Toxins 2021, 13(9),660; https://doi.org/10.3390/toxins13090660

NATIONAL CENTERS FOR COASTAL OCEAN SCIENCES (NCCOS), 11/02/2023

Paola Sini, Thi Bang Chau Dang, Milena Fais, Manuela Galioto, Bachisio Mario Padedda, Antonella Lugliè, Ciro Iaccarino, and Claudia Crosio, “Cyanobacteria, Cyanotoxins, and Neurodegenerative Diseases: Dangerous Liaisons”, Int. J. Mol. Sci. 2021, 22(16), 8726. https://doi.org/10.3390/ijms22168726

Valery L Feigin, Theo Vos, Emma Nichols, Mayowa O Owolabi, William M Carroll, Martin Dichgans, Günther Deuschl, Priya Parmar, Michael Brainin, Christopher Murray, “The global burden of neurological disorders: translating evidence into policy”, Lancet Neurol 2020; 19: 255–65 Published Online December 5, 2019. https://doi.org/10.1016/ S14744422(19)30411-9

Steinmetz, j., “Global, regional, and national burden of disorders affecting the nervous system, 1990–2021: a systematic analysis for the Global Burden of Disease Study 2021”, Lancet Neurol 2024; 23: 344–81

VOLUME 52, NO. 1 IOA OZONE NEWS 19 3
INDUSTRY NEWS
5-a, Effect of pH on ozonation of MLR, ANA and CYN in DRW. Initial cyanotoxin concentrations = 0.2 mg/L (Jasim et al. 2020)
5a 5b
5-b, Effect of hydrogen peroxide on MLR, ANA and CYN removal by ozone in DRW at pH 7.6. Initial cyanotoxin concentration = 0.2 mg/L (Jasim et al. 2020)

Welcome, New Members

INDIA

IOA-PAG NEW MEMBERS JAN.–FEB. 2024

ARGENTINA

Lara Jatar

ljatar@unsam.edu.ar

CONICET-UNSAM

Benito Juarez 1714 Buenos Aires Buenos Aires 1407

ECUADOR

Monica Cruz cruzsmp@gmail.com Bio-rehab Argentinos 38-39 Riobamba Chimborazo 16050

Rohit Kumar rohitsalotra27@gmail.com

Dr BR Ambedkar National Institute of Technology Jalandhar National Institute of Technology Jalandhar Qadian 143516

Santankumar Chaurasiya chaurasiyasantan@gmail.com

Dr B R Ambedkar National Institute of Technology Jalandhar Jalandhar-Amritsar Bypass Jalandhar Punjab 144008

UNITED STATES

Kyler Carl kyler.carl@louisvilleky.gov Louisville Zoo 1100 Trevilian Way Louisville, KY 40213

Trevor Dale trevor.dale1@veolia.com Veolia

600 Willow Tree Rd Leonia, NJ 07605

Joseph Olson

joe_w_olson@hotmail.com

GS O3 Services, LLC 8 Woodland Drive Oxford, MA 01540

Gary Shafer gary@gso3services.com

GS O3 Services, LLC 651 McCray Road Burlington, NC 27217

Michael Shafer michael@gso3services.com

GS O3 Services, LLC 1109 W. Mill Street Quakertown, PA 18951

URUGUAY

Martin Machado drmachado2014@gmail.com Clinica Privada Avenida Joaquin de Viana Torre Artigas Ap.506 Maldonado Maldonado 20000

CROATIA

Dr. Masa Hrelec Patrlj Hermana Buzana 6 10000 ZAGREB

GERMANY

Mr. Uwe Huebner Xylem Services GmbH Boschstrasse 4-14 32051 Herford

THE NETHERLANDS

Mr. Pieter Feenstra Nedap N.V. Parallelweg 2

NL-7141 DC Groenlo

Mr. Tonnie Telgenhof Oude Koehorst Nedap N.V. Parallelweg 2 NL-7141 DC Groenlo

20 IOA OZONE NEWS VOLUME 52, NO. 3 INDUSTRY NEWS
IOA-EA3G
NEW MEMBERS JAN.–FEB. 2024
Iberoamerican Conference on Advanced Oxidation Technologies FLORIANOPOLIS, BRAZIL • OCEANIA CONVENTION CENTER OCT. 7–11 2024

IOA—International Ozone Association EA3G2024 – Europe, Africa, Asia, Australasia Group International Conference

VILA NOVA DE GAIA

(PORTO)

PORTUGAL, PORTUGAL • WORLD OF WINE NOV. 27–29 2024

Ozone and Advanced Oxidation

Science, technologies and applications for a better world.

EA3G2024 renews with a long series of successful conferences which were organised to provide an international forum for all concerned including fundamental, engineering and applied aspects of oxidation techniques involving ozone and advanced oxidation systems.

SCOPE & OBJECTIVES: Population growth associated with increases in urbanization, in consumption, in industrialization, in pollution emissions already lead to shortages of water, food, raw materials and globally to climate change. However, climate and earth-resilient development is still possible by devoting greater efforts to certain key sectors: reduction of emissions to air, better resources management and preservation of the natural ecosystems. This involves particularly the implementation of advanced technologies. EA3G2024 event thus aims to present an overview of the current state of knowledge and the latest advances regarding the use of Ozone and Advanced Oxidation to provide solutions face to these challenges.

Topics of interest relevant to the Conference theme include but are not limited to the combinations of:

• Reaction mechanisms, kinetics, by-products

• Ozonation

• Advanced oxidation

• Disinfection

• Ozonolysis

• Hydraulics, hydrodynamics, mass transfer, contactors

• Modeling, validation, system design

• Analytical methods

• Agri-Food production, safety and quality

• Waste, Air and Soil treatment

• Wash water, process water

• Wastewater treatment, recycling and reuse

• Ecosystem preservation

• Industrial applications

• In-field full scale applications

• Product / Process R&D

• Hybrid ozone processes

• Innovative applications

• Regulations

REGISTRATION

• Registration will be available early July 2024.

• The registration fee will cover scientific and technical sessions, book of abstracts, electronic proceedings, lunches, coffee breaks, exhibition and technical tour.

LANGUAGE AND CONFERENCE VENUE

• The official language will be English.

WINTER SCHOOL

PROGRAMME:

• Scientific and technical sessions with oral and poster presentations, discussions

• Networking opportunities and Exhibition of ozone related products and services

• Technical visit of ozone plant(s)

• Conference dinner for delegates and their guests

CALL FOR PAPERS — PUBLICATIONS:

• Researchers, scientists, and professionals are invited to propose oral or poster presentations related to the theme topics.

• Authors should submit an extended abstract in English of two pages (with tables and figures) (dates to be announced soon).

• The Programme Committee will notify authors about the acceptance of their papers for oral or poster presentation (dates to be announced soon).

• During the conference, the Programme Committee will select and award a prize to the best paper presented by a PhD student. All accepted papers will be printed in the conference proceedings and handed out to participants at registration. After the conference, the editors of the IOA journal “Ozone: Science & Engineering” will make a final selection for a potential publication as peer-reviewed article.

ASK EXHIBITION AND SPONSORING OPTIONS:

• The exclusiveness of the conference theme allows exhibitors and sponsors an ideal opportunity to meet a unique and targeted audience.

• For detailed information on sponsoring options, please contact the IOA-EA3G secretariat to make the most of this event.

• A Winter School on “Contaminants of Emerging Concern and Disinfection By Products: Occurrence, Impact and Elimination,” will be held in the World of Wine, from 25 to 26th November, just before the EA3G2024.

• Winter School participants will have a reduced fee in EA3G2024 conference, equivalent to IOA members.

• The Winter School will be organized by the Faculty of Engineering of the University of Porto, University of Coimbra, and Sociedade Portuguesa de Inovação (SPI), under the scope of the projects BlueWWater (INTERREG-POCTEP) and H2OforAll (Horizonte Europe), with the support of IOA.

• The Winter School program will include: i) Floor to PhD Students: section specifically devoted to PhD students where they will have the chance to introduce themselves and their work, through a short oral presentation and/or a poster communication, as well as to meet experts from the School; ii) Lectures on complementary skills: European legislation on drinking water, urban wastewater treatment, and wastewater reuse; Advanced analytical methods for CECs and DBPs, microplastics, ARB, ARGs; Risk assessment; Advanced treatment technologies (Ozonation, Advanced Oxidation Processes, Adsorption, Membrane Filtration); Life Cycle Assessment; Life Cycle Costing; Simulation; iii) Workshop on Wastewater Treatment and Reuse; iv) Workshop on Disinfection by Products (DBPs).

• PhD students are invited to submit an extended abstract in English of two pages (with tables and figures) (dates to be announced soon).

• The Programme Committee will notify authors about the acceptance of their papers for short-oral or poster presentation (dates to be announced soon).

International Ozone AssociationPan American Group (IOA-PAG) 2024 Conference

AUG. 26–29 2024

Palms Casino Resort, Las Vegas, Nevada

Benefits of Attending Include:

• Two days of technical presentations by Ozone experts

• Round-table discussion session hosted by industry leaders

• Workshop for those who are new to Ozone technology

• Exhibit hall with leading manufacturers of Ozone equipment

• Networking opportunities to learn more about Ozone applications

• Technical tour to learn more about other Ozone installations

Technical Program

The Technical Program will feature two days of technical presentations on subjects, such as drinking water treatment, water reuse, industrial applications, etc. Presenting authors may have their work considered for publication in Ozone Science & Engineering (OS&E), the official journal of the International Ozone Association. All conference attendees will receive a complimentary copy of the conference proceedings.

The IOA-PAG Conference will showcase leadingedge technologies for municipal water, municipal wastewater and industrial process applications with special attention to both Ozone and AOP technologies.

Looking Back at 2023 Kansas City Conference

https://ioa-pag.org/page-18204

Conference Registration

Conference

Registration Rates

Scan Code 

Early-Bird Rate

Deadline: June 30, 2024

About the Technical Tour

Scan Code 

Technical Tour Waiver

Scan Code 

More information will be added as it becomes available. If you have any questions, please reach out to support@ioa-pag.org or call 916-441-0629.

Utility Registration Bundle!

Book your stay under IOA-PAG’s exclusive room block rate of $99/night by Wednesday, July 31!

Reserve Discounted Room

Scan Code 

About the Palms Casino

Resort

Scan Code 

Utilities and other end users of ozone registering three conference attendees will receive a complimentary registration for a fourth attendee to the 2024 IOA-PAG Conference. (Buy 3 Get 1 Free!)

In order to receive the discount, please complete the regular registration process for your first 3 attendees and send their names to IOA Support (support@ioa-pag.org). Once registration has been confirmed, you will receive a coupon code to sign up your complimentary (4th) registration using Registration Category (K).

Buy 3 Get 1 !

Conference Information
to Stay Conference
Today
Exhibitor Attendee Scan Code 
Where
Program Register

Widest

High

High

Eliminate

Eliminate

Lowest

Lowest

Ease

Ease

Trust Time -p r PSA an d Syste foo@air sep.com p.com OMPANY ed, oven VPSA ms eneration Today! foor Ozone G 1.800.874 .0202 ■ in www.airsep A CAIRE INC. C Contact Us International Ozone Association c/o AAMSI 1521 I Street Sacramento, CA 95814
selection of systems and options
Widest
efficiency and cost effective
oxegen deliveries
Sound Levels
of use, service, and support Trust Time -p r PSA an d Syste foo@air sep.com p.com OMPANY ed, oven VPSA ms eneration Today! foor Ozone G 1.800.874 .0202 ■ in www.airsep A CAIRE INC. C Contact Us International Ozone Association c/o AAMSI 1521 I Street Sacramento, CA 95814
selection of systems and options
efficiency and cost effective
oxegen deliveries
Sound Levels
of use, service, and support
Widest selection of systems and options
High effeciency and cost effective
Eliminate oxygen deliveries
Lowest sound levels
Ease of use, service, and support 1.800.874.0202 ■ info@airsep.com www.airsep.com A CAIRE INC. COMPANY Trusted, Time-proven PSA and VPSA Systems for Ozone Generation Contact Us Today!

Turn static files into dynamic content formats.

Create a flipbook
Issuu converts static files into: digital portfolios, online yearbooks, online catalogs, digital photo albums and more. Sign up and create your flipbook.
International Ozone Association OZONE NEWS May 2024 by Active Media Publishing Group - Issuu