Red de GIRASOL
Campaña 2023-24

COORDINACIÓN GENERAL

COORDINACIÓN TÉCNICA
EMPRESAS AUSPICIANTES APOYA

















![]()
Campaña 2023-24

COORDINACIÓN GENERAL

COORDINACIÓN TÉCNICA
EMPRESAS AUSPICIANTES APOYA

















Introducción Conclusiones generales Bibliografía 03 04 06 22 24 02 Resultados
¿Qué es la Red de Girasol?
¿Para qué la Red?
¿Qué hacemos y quiénes participan?
Agradecimientos
RED DE GIRASOL CAMPAÑA 2023-24
¿Qué es la Red de Girasol?
Es una red de conocimiento e intercambio de experiencias sobre el cultivo de girasol en diferentes ambientes principalmente de la región girasolera sur. Esta Red fue impulsada y crece año a año gracias al apoyo de los grupos regionales de Aapresid.
¿Para qué la Red?
El girasol es un cultivo con amplia historia en los sistemas productivos de Argentina con un gran crecimiento en superficie productiva estos últimos años. En este contexto, los productores y técnicos de la Asociación Argentina de Productores en Siembra Directa (Aapresid) hemos detectado, a través de talleres de intercambio, vacíos de conocimiento y necesidades de ajuste de manejo por ambiente respecto al cultivo de girasol. A partir de esta demanda de los productores, se decidió conformar la Red de Girasol de Aapresid. Su finalidad es generar y difundir información sobre el manejo del girasol en distintos ambientes para brindar sustentabilidad a los sistemas productivos mediante el trabajo en red.
Sus líneas de trabajo son: Rendimiento, calidad y comportamiento sanitario de genotipos
Respuesta en rendimiento y calidad ante el agregado de N y su impacto en la sanidad del cultivo.
Respuesta a la protección con fungicida
Asociación entre rendimiento y densidad de cultivo.
¿Qué hacemos y quiénes participan?
La red está abierta a todos los productores, técnicos, asociaciones, instituciones y empresas que estén interesados en la temática y que tengan necesidad de generar e intercambiar conocimiento.
A nivel experimental las actividades son llevadas a cabo en sistemas de producción ubicados en la zona girasolera sur (centro-sur de Buenos Aires, este de la pampa y sur de Córdoba). Todas las actividades están protocolizadas y son ejecutadas por profesionales responsables en cada uno de los sitios elegidos. Además, llevamos adelante acciones de transferencia como jornadas a campo, talleres de intercambio y giras técnicas; divulgamos el conocimiento generado y experiencias a través de nuestra web, redes sociales y publicaciones técnicas.
La presentación del siguiente informe de avances es posible gracias al aporte y trabajo de un gran número de productores, técnicos, instituciones y empresas participantes de la Red. Por lo tanto, no queremos dejar de agradecer a todos los que conforman la Red y aportan su tiempo y conocimiento para seguir creciendo y generando información de interés y relevante para la zona.
Gracias a las regionales de Aapresid por sumarse a la Red:
- Regional Tandilia
- Regional Tres Arroyos
- Regional Juan Manuel Fangio
- Regional Necochea
- Regional Bahía Blanca
- Regional Guaminí-Carhué
- Regional La Pampa
- Regional Laboulaye
- Regional Trenque Lauquen
- Regional Las Encadenadas
- Regional Cuenca del Salado
Coordinación Técnica:
Ignacio Rodriguez (INTA Balcarce)
Coordinación General:
Lina Bosaz (Sistema Chacras – AAPRESID)
La Red de Girasol 2023-24 fue posible gracias al apoyo de las siguientes empresas:
- YPF AGRO
- SYNGENTA
- ACA SEMILLAS
- ADVANTA
- ARGENETICS
- BASF
- CRIADERO EL CENCERRO
- GRUPO LOS GROBO
- NIDERA
- NK
- NUSEED
- RAGT
- SPS
- ZETA SEMILLAS
Ignacio Rodriguez1, Santiago Carro2, Juan Edwars Molina2, Federico Comisso2, Federico Garello2, Felipe Kleine2, Hugo González2, José Luzuriaga2, Juan Peralta2, Julián Valdez2, Kevin Etcheto2, Leandro Pontarolli2, Mateo Belfiori2, Matias Monge2, Lina Bosaz2
1EEA INTA Balcarce
2Aapresid
Importancia del cultivo de girasol
El aceite es el principal producto de la molienda de girasol y el que contribuye, casi excluyentemente, a la formación de su precio. El aceite de girasol, ocupa el 4to lugar en el consumo mundial de aceites con un aporte del 9.7% (Figura 1) (USDA, 2023).
En 2022 las exportaciones de aceite de girasol fueron de 384000 toneladas representando un ingreso de 220 millones de dólares para el país. La actividad industrial para la obtención del aceite de girasol genera subproductos. Estos subproductos son la torta, expeller y harinas que se destinan a la producción de alimentos balanceados para la ganadería intensiva y la avicultura, muy valorados por su concentración proteica.
Figura 1. Participación promedio del aceite de girasol, en el consumo mundial para los años 2021, 2022 y 2023. Fuente: (USDA, 2023).

Actualmente Argentina, se posiciona en el 4to lugar a nivel mundial como productor de girasol, detrás de Ucrania, Rusia y la Unión Europea, aportando un 7% a la producción mundial. Por año se cultivan entre 1,8 y 2,3 millones de hectáreas (ha) de girasol en Argentina con una producción cercana a 3 millones de toneladas de grano (MAGyP, 2023).
Por año se cultivan entre 1,8 y 2,3 millones de hectáreas (ha) de girasol en Argentina siendo Buenos Aires la provincia que concentra la mayor parte de la superficie sembrada, seguida por Santa Fe (concentrado en el Norte de la provincia), La Pampa y Chaco. La Región Sur es la principal zona productiva de girasol a
En este informe de avances se presentan los resultados obtenidos de la red de ensayos de girasol de la campaña 2023/24. El objetivo general fue generar y difundir información sobre el manejo del girasol en distintos ambientes para brindar sustentabilidad a los sistemas productivos mediante el trabajo en red.
nivel país. Se puede apreciar en la Figura 2 la gran representatividad de los sitios experimentales incluidos en esta red.
En la Tabla 1 se detalla la fecha de siembra y el ensayista responsable para cada sitio abarcado por la red.

Figura 2. Regiones girasoleras de Argentina (Norte, Centro y Sur). Adaptado de Castaño, 2018 y localización de los sitios experimentales de la red.

Sitio Fecha de siembra Ensayista
Guaminí 31/10/2023
Laboulaye 28/10/2023
Maipú 18/10/2023
Mauricio Mayer 26/10/2023
Miramar 13/10/2023
Necochea 19/10/2023
Pila 18/10/2023
Quenumá 17/10/2023
Tandil 5/11/2023
Tres Arroyos 31/10/2023
Tornquist 24/12/2023
Federico Comisso
Matias Monge
Jose Luzuriaga
Mateo Belfiori
Hugo Gonzalez
Julian Valdez
Federico Garello
Juan Peralta
Leandro Pontarolli
Kevin Etcheto
Felipe Kleine
Tabla 1. Sitios experimentales incluidos en la red, fecha de siembra y ensayista responsable
1. Línea Genética
Esta línea de estudio tuvo la participación de los 11 sitios experimentales en donde se testearon 19 híbridos (Tabla 2) bajo un diseño en bloques completos aleatorizados con dos repeticiones. Las parcelas fueron sembradas con sembradora convencional de producción con al menos 15 surcos de ancho y 200 m de largo. Las parcelas se manejaron con manejo estándar de la zona, pero sin protección con fungicidas para poder evaluar los perfiles sanitarios.
Tabla 2. Lista de empresas participantes y sus correspondientes híbridos.
Empresa Híbrido
216
220
Advanta
Advanta
5310
ADV 5407
Argenetics Argensol 76
Argenetics Argensol 78
El Cencerro Cacique 223
Los Grobo Grobosol 2318
RAGT Huemul
RAGT Obelisco
BASF Insun 211
Syngenta NK 3969
Syngenta NK 3979 HO Nidera NS 1113
Nuseed Nusol 4175
Nuseed Nusol 4180
Nuseed Paraiso 1800
3125
Zeta semillas
74L68

En la Tabla 3 se presentan las precipitaciones registradas durante el ciclo del cultivo en los diferentes sitios. Es relevante destacar que, según las fechas de siem-
bra empleadas, la mayoría de los sitios ubicaron el período crítico para la determinación del rendimiento del cultivo en el mes de enero.
Precipitaciones (mm)
Tabla 3. Precipitaciones acumuladas en cada sitio experimental durante la estación primavera-estival.
1.1 Rendimiento y calidad
El rendimiento bonificado por aceite medio de la red fue de 2678 kg/ha y presentó una considerable variabilidad a través de los sitios experimentales: desde valores bajos (menos de 2000 kg/ha en Guaminí y Tornquist) a valores por encima de los 3000 kg/ha (Tandil,
Necochea, Pila, Miramar) (Figura 3, Tabla 5). En contraste con la variabilidad asociada a los sitios experimentales, podemos observar un gran solapamiento de los intervalos de confianza de cada híbrido a través de los sitios.

Figura 3. Rendimiento bonificado por aceite promedio e intervalo de 95% de confianza: todos los híbridos dentro de cada sitio (izquierda) o cada híbrido a través de todos los sitios (derecha). Laboulaye fue excluido de la figura de la derecha debido a sus condiciones ambientales diferentes a las del resto de los sitios.

Se ajustó un modelo lineal mixto, considerando como efectos fijos la interacción entre los híbridos y el nivel de productividad del ambiente (definido por si el rendimiento medio del sitio es mayor o menor que la media de la red), y como efectos aleatorios el sitio experimental y sus bloques anidados. Se llevó a cabo un Test de medias de Tukey al 10% para identificar diferencias en la performance de los híbridos dentro
Ambiente Híbrido
de cada ambiente (Tabla 4). El objetivo de este análisis fue determinar si los híbridos mostraron comportamientos diferentes en ambientes de alta productividad en comparación con ambientes de baja productividad, y establecer su ranking según el rendimiento bonificado medio. Por último, en la Tabla 5 se muestra el rendimiento bonificado medio de cada híbrido a través de los distintos sitios.
Rinde bonificado Tukey 1 0 %
Alta Prod. NK 3979 HO 3726 a
ADV 5407 3614 ab
Insun 211 3580 ab
ZT 74L68 3501 abc
ADV 5310 3477 abcd
ACA 220 3441 abcd
NS 1113 3396 abcde
SPS 3125 3396 abcde
NK 3969 3366 abcde
Nusol 4175 3340 abcde
Huemul 3337 abcde
Paraiso 1800 3330 abcde
Cacique 223 3312 abcde
ACA 216 3182 abcde
Obelisco 3153 bcde
Argensol 76 3086 bcde
Grobosol 2318 3030 cde
Nusol 4180 2969 de
Argensol 78 2881 e
Baja Prod ACA 216 2324 a
Insun 211 2186 ab
ACA 220 2116 ab
ADV 5407 2074 abc
NK 3979 HO 2060 abc
NK 3969 2002 abc
Cacique 223 1996 abc
Huemul 1965 abc
NS 1113 1961 abc
ADV 5310 1945 abc
Nusol 4175 1874 abc
Paraiso 1800 1825 abc
SPS 3125 1755 abc
Nusol 4180 1688 abc
Argensol 76 1659 abc
ZT 74L68 1643 abc
Grobosol 2318 1567 abc
Obelisco 1461 bc
Argensol 78 1345 c
Tabla 4. Rendimiento bonificado medio de cada híbrido en ambientes de baja o alta productividad en relación al índice ambiental medio de la red. Letras iguales en cada ambiente indican que no existen diferencias significativas entre las medias (prueba de Tukey, α=0.10).

5. Rendimiento bonificado medio dentro de cada sitio. Los colores se condicen con su valor relativo dentro de cada sitio experimental (léase en una misma columna vertical). Los valores de rendimiento son medias dentro de cada sitio.
La concentración de materia grasa en semillas de girasol puede alcanzar más del 50% de su peso, mientras que el contenido proteico puede variar entre un 15% y un 20%. En esta sección se muestra la variabilidad de los resultados obtenidos en cuanto a la bonifi-
cación por aceite (Figura 4). Se pueden observar sitios donde no hubo bonificación por aceite (Guaminí), sitios donde solo algunos materiales lograron una pequeña bonificación (Tornquist), y sitios donde las bonificaciones alcanzaron los 700 o 900 kg/ha (Necochea y Pila).


4. Rendimiento bonificado medio por híbrido dentro de cada sitio. La porción turquesa de la barra representa el rendimiento en grano (al 11% de humedad), mientras que la porción rosada indica los kilogramos bonificados por concentración de aceite. En Guaminí no hubo bonificación por aceite, por lo que la barra se muestra en un solo color.

Las enfermedades relevadas fueron:
- Cancro del tallo (CT) y pudrición seca de capítulo (PSC) (ambas causadas por Phomopsis helianthi, también vulgarmente conocidas como “Phomopsis de tallo” y “Phomopsis de capítulo”)
- Y el complejo de enfermedades foliares: escudo negro del tallo (Phoma macdonaldii), mancha foliar (Alternaria helianthi) y Septoria (Septoria helianthi). Cada enfermedad se analizó de manera individual con el test correspondiente a la métrica recabada: CT y PSC (incidencia), alternaria (severidad %) y Phoma (severidad escala ordinal de 0 a 3). Los sitios experimentales presentaron diferentes nive-
les presión para las distintas enfermedades analizadas. En la Figura 5 se observa la variabilidad ambiental para la ocurrencia de enfermedades relevadas: Necochea se mantiene como epicentro de Phomopsis (Phomopsis helianthi) para la región girasolera en análisis, con altos valores medios de ambas sintomatologías (en tallo y capítulo). En los restantes sitios la presión fue moderada a baja, habiéndose presentado Septoria (Septoria helianthi) en Pila y Quenumá y Alternaria (Alternaria helianthi) en Tandil, Tres Arroyos y Maipú, y Phoma (Phoma macdonaldii) confirmó su endemicidad en la región (presente en todos los sitios, en mayor o menor medida).

Presión de enfermedades de cada sitio experimental.
Se determinaron 3 grupos (clusters) de similaridad fenotípica para las enfermedades evaluadas (Figura 6). Un primer grupo fue similar en relación a la severidad de Phomopsis de capítulo compuesto por 3 genotipos, los que casualmente resultaron ser los de ciclo más corto (Figura 7). Otro gran grupo tuvo buen comporta-
miento general a las 3 formas de Phomopsis (tallo, capítulo y hoja), pero variabilidad en relación con las enfermedades foliares (Alternaria y Septoria) (Figura 6). Un tercer grupo con 5 genotipos presentó media a alta severidad de Phomopsis de tallo y variabilidad en relación con las demás enfermedades (Figura 6).


Figura 6. Perfil sanitario de los genotipos incluidos en el estudio.

Figura 7. Caracteres agronómicos evaluados en los genotipos participantes de la red: Porte (altura de plantas), longitud de ciclo (cuanto menor el valor, más “madura” se veía la parcela), decumbencia de capítulo y nivel de vuelco (evaluado solo en Maipú, por ocurrencia de fuertes vientos en el ciclo del cultivo).

En todos los sitios se utilizó un diseño en bloques completos aleatorizado con dos repeticiones (salvo Maipú donde los tratamientos no tuvieron repeticiones debido a las inclemencias climáticas (granizo). Una descripción detallada de los sitios puede encontrarse en la Tabla 6. En franjas de al menos 15 m de ancho se aleatorizaron dosis crecientes de Nitrógeno (N), a
razón de 0, 40, 80 y 120 kg/ha en lotes de productores conducidos con el mismo manejo del resto del área no experimental (En Maipú se utilizaron las dosis 0,40 y 80 kg N/ha). El momento de aplicación fue entre V6 y V8 y en algunos casos se realizó con fertilizante líquido y en otros sólidos (urea).
Tabla 6. Descripción de sitios experimentales, manejo agronómico, caracterización edáfica e hídrica al momento de la siembra.
Solo en Maipú y Quenumá se observaron respuestas positivas del N sobre el rendimiento bonificado (Figura 8). Esta respuesta fue de alrededor de 700 y 300 kg/ha, respectivamente. En el resto de los sitios (4 sitios) no se vio beneficio de parte de los distintos niveles de N sobre el rendimiento bonificado. La falta de
respuestas al agregado de N en algunos sitios puede estar dada por: bajo potencial de rendimiento en el sitio x campaña, alta disponibilidad de nitratos en el suelo, alto porcentaje de materia orgánica en los suelos o alto Nan (Diovisalvi et al., 2018; Tovar Hernández et al., 2023).


Dosis de N (kg/ha)
Figura 8. Rendimiento bonificado por aceite en función de la dosis de fertilización con N para la campaña 2023/2024.
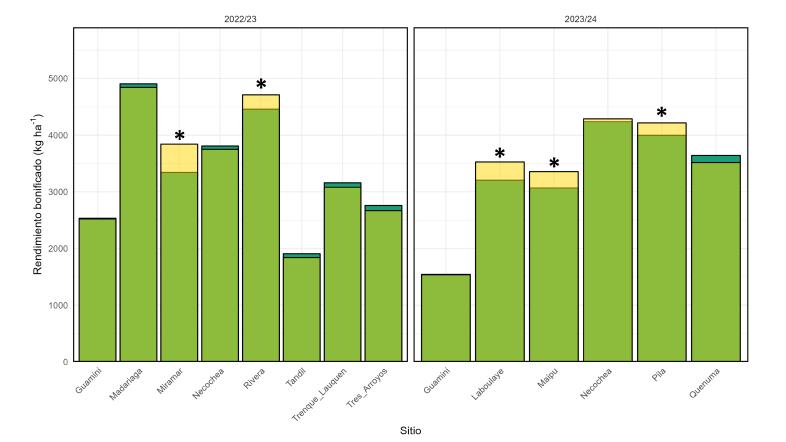
En la Figura 9 se resumen los resultados obtenidos durante dos años de experimentación en el marco de la Red de Girasol de AAPRESID. Se observa que, en un total de trece ambientes (sitios * campañas), solo en cuatro de ellos se encontró respuesta a la fertilización nitrogenada.

Figura 9. Respuesta del rendimiento bonificado por aceite a la dosis de fertilización con N para las campañas 2022/23 y 2023/24. En color rosado se muestra la respuesta al agregado de 120 kg/ha de N en comparación con el manejo tradicional del productor. El asterisco indica respuestas significativas estadísticamente.

En todos los sitios se utilizó un diseño en bloques completos aleatorizado con dos repeticiones (salvo Maipú donde los tratamientos no tuvieron repeticiones por las razones ya mencionadas anteriormente). En estadio de R1 se aplicó el fungicida Miravis Dúo, Syngenta® en dosis de marbete: 600 cm3/ha. La aplicación se realizó
con pulverizador terrestre en todos los casos. Se observó respuesta favorable a la aplicación de fungicida (rendimiento bonificado por aceite) en 3 de 6 sitios experimentales (Maipú, Laboulaye y Pila, con 289, 323 y 218 kg/ha de respuesta absoluta respectivamente) (Figura 10).

Figura 10. Rendimiento bonificado por aceite para los tratamientos “Sin fungicida” y “Con fungicida” en la campaña 2023/2024.
En la Figura 11 se resumen los resultados obtenidos durante dos años de experimentación. En un total de catorce ambientes (sitios * campañas), se encontró respuesta positiva a la aplicación de Miravis Dúo de Syngenta® en cinco de ellos. En general, las respuestas a la protección contra enfermedades variaron entre 200 y 300 kg/ha, excepto en Miramar durante la campaña 2022/23, donde la respuesta observada estuvo más cerca de los 500 kg/ha.


Figura 11. Respuesta del rendimiento bonificado por aceite a la protección con fungicida en las campañas 2022/23 y 2023/24. En color amarillo se muestra la respuesta positiva a la aplicación de fungicida. El color verde oscuro se indican respuestas negativas a la aplicación del fungicida.
Solo a modo ilustrativo, se presenta el ensayo de protección con fungicida realizado en Tandil durante la campaña 2023/24 (Figura 12). En este sitio, todos los
híbridos participantes en la línea genética recibieron una aplicación de Miravis Dúo en R1. No se observó ninguna tendencia asociada a los tratamientos probados.

Figura 12. Rendimiento bonificado por aceite para cada híbrido en los tratamientos "Sin fungicida" y "Con fungicida" durante la campaña 2023/2024 en Tandil.

En ocho sitios experimentales en la campaña 2023/2024 se realizaron 3 tratamientos de densidad de plantas en franjas, cada uno con dos repeticiones: densidad estándar adoptada por el productor (“Estándar”), Estándar–30% y Estándar+30%. El híbrido evaluado fue el mismo que se sembró a nivel de lote de producción. Se cosecharon con cosechadora convencional y se pesó en carro balanza. Se observó respuesta positiva en rendimiento bonificado al aumento de densidad (regresión lineal positiva) en Maipú, Miramar y Pila (3 de los 8 sitios evaluados) (Figura 13). En Necochea se observó una respuesta negativa al
aumento de densidad. Por otro lado, en 4 de 8 no hubo respuesta significativa estadísticamente al aumento de densidad: en Guaminí, Mayer, Quenumá y Tornquist. En la campaña 2022/2023, se observaron respuestas al aumento de densidad en 5 de los 12 sitios evaluados (~42%). Es importante destacar que la respuesta, o la falta de ella, al incremento de densidad en un sitio específico en un año determinado está condicionada en gran medida por el estado hídrico al que fue sometido el cultivo. Este estado depende del agua disponible al momento de la siembra y de las precipitaciones ocurridas durante el ciclo del cultivo.

Figura 13. Rendimiento bonificado por aceite en función de los tratamientos de densidad de plantas: Estándar–30%, Estándar y Estándar+30%. Se indican los valores correspondientes de los tratamientos en plantas por metro cuadrado para cada sitio.

Con respecto al manejo de la fecha de siembra en girasol es importante tener en cuenta algunos conceptos. Cuando se retrasa la fecha de siembra, el rendimiento potencial del girasol disminuye (Figura 14, Rodriguez et al., 2023). La Figura 14 muestra los resultados de un ensayo conducido en la Unidad Integrada Balcarce durante la campaña agrícola 2018-2019. El experimento se condujo sin limitaciones de agua ni nutrientes bajo un diseño en bloques completos aleatorizados con cuatro repeticiones en un suelo Argiudol típico. Se realizaron aplicaciones de fungicidas para el control de enfermeda-
des de fin de ciclo, Phoma y Alternaria.
Se utilizaron cuatro fechas de siembra para generar ambientes contrastantes de temperatura, radiación y fotoperíodo en un solo sitio. Las parcelas comprendían diez surcos y la longitud de los surcos era de 24 m. Se utilizó el cultivar “SYN3970” de ciclo largo, ampliamente sembrado en Argentina, la densidad de plantas fue de 7 pl m-2 sembradas a 0,52 m entre hileras. Las fechas de siembra fueron el 18/10/2018; 22/11/2018; 17/12/2018 y 07/01/2019 (Los intervalos entre las fechas de siembra fueron un número fijo de grados-día (°Cd).

14. Rendimiento potencial de girasol en Balcarce en función de la fecha de siembra. Las letras diferentes representan diferencias significativas entre las medias de rendimiento bonificado según Test de Tukey al 10% de significancia.
La fecha de siembra modifica la disponibilidad de agua para el cultivo y se utiliza como práctica de manejo para evitar déficits de agua que provocan pérdidas de rendimiento. El Fenómeno El Niño-Oscilación del Sur (ENSO) es un fenómeno climático que ocurre en el océano Pacífico tropical y se caracteriza por variaciones en la temperatura de la superficie del océano y en la presión atmosférica en la región tropical del oeste del Pacífico, con impactos en los patrones de lluvia en todo el mundo. Aspectos agronómicamente importantes en diversas regiones de cultivo en el mundo están relacionados con el ENSO (Podestá et al., 2002; Monzon et al., 2012). Un estudio reciente (Rodriguez et al., 2023) utilizó un modelo de simulación de girasol (CROPGRO-Sunflower) en combinación con registros climáticos de 37 campañas (1983 a 2019) para simular el rendimiento en secano en
dos ambientes contrastantes representativos de los extremos de la amplia región de producción de girasol en Argentina: Balcarce, en el sudeste de la provincia de Buenos Aires (37°45’ S, 58°18’ W; 130 m s.n.m.) y Reconquista, en el norte de la provincia de Santa Fe (29°08’ S, 59°38’ W; 46 m s.n.m.). El ambiente de Balcarce se caracteriza por una temperatura media anual de 13,8 °C y precipitación media anual de 950 mm. Los suelos más comunes son los Argiudoles típicos petrocálcicos, con la profundidad del suelo limitada por una capa de tosca (Pazos y Mestelan, 2002). El ambiente de Reconquista se clasifica como húmedo, con una temperatura promedio anual de 20 °C y una precipitación media anual de 1250 mm.
En Balcarce, se llevaron a cabo simulaciones que abarcaron una combinación de dos fechas de siembra (tempra-

na, 8 de octubre, y tardía, 25 de noviembre) y seis profundidades de suelo (60, 80, 100, 120, 140 y 180 cm). En todos los casos, las simulaciones se iniciaron con un contenido de agua en el suelo equivalente a la capacidad de campo en el momento de la siembra. Por otro lado, en Reconquista se realizaron simulaciones que contemplaron una combinación de dos fechas de siembra (temprana, 10 de agosto, y tardía, 15 de septiembre) y tres niveles distintos de contenido de agua en el suelo al momento de la siembra (Punto de marchitez (PM), 50% y 100% de la capacidad de campo (CC). Para todos los contenidos de agua en el suelo, se asumió que los primeros 20 cm del suelo se encontraban a capacidad de campo en el momento de la siembra para asegurar la emergencia del cultivo. En ambos sitios, se utilizó una densidad de 6 plantas por metro cuadrado. Para evaluar la influencia del fenómeno El Niño-Oscilación del Sur (ENSO), se clasificaron los años simulados de la serie original (1983-2019) en tres fases: Neutral, El Niño y La Niña, utilizando el Índice del Niño Oceánico (ONI) del Centro de Predicción Climática del Servicio Meteorológico Nacional de la NOAA (ERSST v.3b, www.cpc.ncep.noaa.gov).
Impacto de la fecha de siembra y la profundidad de suelo sobre el rendimiento en secano de girasol en Balcarce, Buenos Aires
La profundidad del suelo y la fecha de siembra en Balcarce afectaron significativamente los rendimientos en secano (P < 0.01 y P < 0.01) (Figura 15 A), pero no se encontró interacción entre estos dos factores (P = 0.43). La profundidad del suelo explicó una mayor variación en los rendimientos que la fecha de siembra en Balcarce [suma de cuadrados de la profundidad del suelo= 24%, suma de cuadrados de la fecha de siembra= 1.6%]. Los rendimientos en secano disminuyeron desde la profundidad máxima del suelo (180 cm) hasta la profundidad mínima (60 cm) en un 56% en la fecha de siembra temprana y en un 49% en la fecha de siembra tardía. Se observó una menor variabilidad de los rendimientos para la fecha de siembra tardía en comparación con la fecha de siembra temprana, para todas las profundidades del suelo excepto para 60 cm, donde la variabilidad fue mayor en la fecha de siembra tardía (Figura 15 A).
El efecto de las fases del ENSO sobre los rendimientos también fue significativo (P < 0.01) (Figura 15 B) y se encontró una interacción entre las fases del ENSO y la fecha de siembra (P = 0.03), pero no se observó interacción entre las fases del ENSO y la profundidad del suelo (P = 0.70). En la fecha de siembra temprana, los rendimientos más bajos se obtuvieron en la fase de La Niña y difirieron significativamente de los rendimientos obtenidos en la fase Neutral. Para dicha fecha de siembra, los rendimientos de la fase La Niña fueron en promedio un 35 % menores que los rendimientos de la fase Neutral. En la fecha de siembra tardía, los rendimientos más bajos también se obtuvieron en la fase La Niña. En esta fecha de siembra, los rendimientos de la fase La Niña fueron en promedio un 6% y un 30% menores que los rendimientos de las fases El Niño y Neutral, respectivamente (Figura 15 B).

Figura 15. A) Rendimientos en secano simulados de girasol en Balcarce para dos fechas de siembra (temprana [8 de octubre] y tardía [25 de noviembre]) en función de diferentes profundidades de suelo. B) Rendimientos en secano simulados de girasol para fechas de siembra temprana y tardía en una profundidad de suelo de 100 cm (Pazos y Mestelan, 2002) y en las fases del ENSO: La Niña, Neutral y el El Niño. Letras iguales en cada fecha de siembra indican que no existen diferencias significativas entre las medias (prueba de Tukey, α=0.05). El rombo de color rojo oscuro indica la media, y la línea horizontal negra dentro del recuadro representa la mediana.

Impacto de la fecha de siembra y el contenido de agua en el suelo al momento de la siembra sobre los rendimientos en secano en Reconquista, Santa Fe
No se detectó efecto de la fecha de siembra sobre los rendimientos en secano (P= 0.72), pero se evidenció un efecto significativo del contenido de agua en el suelo al momento de la siembra (P< 0.01) (Figura 16 A). Los rendimientos obtenidos con el contenido de agua en el suelo a PM al momento de la siembra fueron los más bajos en comparación con los obtenidos con los contenidos de agua en el suelo de 50% o 100% de la capacidad de campo (CC) al momento de la siembra. Para ambas fechas de siembra, los rendimientos obtenidos con el contenido de agua en el suelo de PM al momento de la siembra fueron un 38% más bajo que los rendimientos obtenidos con el contenido de agua en el suelo del 100% de la CC al momento de la siembra (Figura 16 A).
El efecto de las fases del ENSO sobre los rendimientos también fue significativo (P< 0.01) y se encontró una interacción entre las fases del ENSO y el contenido de agua en el suelo al momento de la siembra (P< 0.01) (Figura 16 B). Para el contenido de agua de PM y 50% de la CC en el suelo al momento de la siembra, los rendimientos más bajos se obtuvieron en la fase La Niña, con diferencias significativas en comparación con las fases El Niño o Neutral. Sin embargo, para el contenido de agua en el suelo al momento de la siembra del 100% de la CC las diferencias entre los rendimientos de las distintas fases fueron menores (prueba de Tukey, α=0.05, Figura 16 B). Para el contenido de agua en el suelo de PM, los rendimientos de la fase La Niña fueron un 53% menores que los rendimientos de la fase El Niño, mientras que para el contenido de agua en el suelo de 100% de CC, los rendimientos de la fase La Niña fueron solo un 15% menores que los rendimientos de la fase de El Niño.

Figura 16. A) Rendimientos en secano simulados de girasol en Reconquista para dos fechas de siembra (temprana [10 de Agosto] y tardía [15 de Septiembre]), en tres contenidos de agua en el suelo al momento de la siembra: punto de marchitez (PM), 50% de la capacidad de campo (50% CC) y 100% de la capacidad de campo (100% FC).
B) Rendimientos en secano simulados de girasol para fechas de siembra temprana y tardía en las tres fases del ENSO: La Niña, Neutral y El Niño. Letras iguales en cada contenido de agua en el suelo al momento de la siembra indican que no existen diferencias significativas entre las medias (prueba de Tukey, α=0.05). El rombo de color rojo oscuro indica la media, y la línea horizontal negra dentro del recuadro representa la mediana.

el Sudeste de la provincia de Buenos Aires
La Figura 17 muestra los resultados de un ensayo conducido en la Unidad Integrada Balcarce durante la campaña 2023-2024. El experimento se condujo en condiciones de secano bajo un diseño en bloques completos aleatorizados con tres repeticiones en un suelo Argiudol típico. Se utilizaron tres fechas de siembra, 21 de Diciembre, 5 de Enero y 14 de Enero. En todas las fechas de siembra se realizó una aplicación de Miravis Dúo en el estadio fenológico R1. Las parcelas comprendían diez surcos y la longitud de los surcos era de 24 m. Se utilizó el cultivar “SYN3970” y la densidad de plantas fue de 4 pl m-2 sembradas a 0,52 m entre hileras. El rendimiento promedio obtenido fue de 2870, 2000 y 1490 kg/ha, para las fechas 1, 2 y 3 respectivamente. Es importante mencionar que la última fecha de siembra (14 de enero) presentó una incidencia del 30% de podredumbre húmeda del capítulo por Sclerotinia sclerotiorum. También se enviaron muestras para analizar el contenido de aceite de los granos, aunque dichas muestras aún están siendo procesadas, por lo que no se dispone de esta información a la fecha.

Figura 17.Rendimiento en grano (Humedad: 11%) para fechas de siembra ultra-tradías en Balcarce para la campaña 2023/2024.
El rombo de color rojo oscuro indica la media, y la línea horizontal negra dentro del recuadro representa la mediana.
Castaño, F.D., 2018. The sunflower crop in Argentina: past, present and potential future. OCL 25, D105. https://doi.org/10.1051/ocl/2017043
Debaeke, P., Estragnat, A., 2003. A simple model to interpret the effects of sunflower crop management on the occurrence and severity of a major fungal disease: Phomopsis stem canker. Field Crops Research 83, 139–155. https://doi.org/10.1016/S0378-4290(03)00071-6
Debaeke, P., Pérès, A., 2003. Influence of sunflower (Helianthus annuus L.) crop management on Phoma black stem (Phoma macdonaldii Boerema). Crop Protection 22, 741–752.
Diovisalvi, N., Calvo, N.R., Izquierdo, N., Echeverría, H., Divito, G.A., García, F., 2018. Effects of Genotype and Nitrogen Availability on Grain Yield and Quality in Sunflower. Agronomy Journal 110, 1532–1543. https://doi.org/10.2134/agronj2017.08.0435
Grassini, P., Hall, A., Mercau, J., 2009. Benchmarking sunflower water productivity in semiarid environments. Field Crops Research 110, 251–262. https://doi.org/10.1016/j.fcr.2008.09.006
Monzon, J.P., Sadras, V.O., Andrade, F.H., 2012. Modelled yield and water use efficiency of maize in response to crop management and Southern Oscillation Index in a soil-climate transect in Argentina. Field Crops Research 130, 8–18. https://doi.org/10.1016/j.fcr.2012.02.001
Pazos, M.S., Mestelan, S.A., 2002. Variability of Depth to Tosca in Udolls and Soil Classification, Buenos Aires Province, Argentina. Soil Science Society of America Journal 66, 1256–1264. https://doi.org/10.2136/sssaj2002.1256
Podestá, G., Letson, D., Messina, C., Royce, F., Ferreyra, R.A., Jones, J., Hansen, J., Llovet, I., Grondona, M., O’Brien, J.J., 2002. Use of ENSO-related climate information in agricultural decision making in Argentina: a pilot experience. Agricultural Systems 74, 371–392. https://doi.org/10.1016/S0308-521X(02)00046-X
Rodriguez, I.M., 2024. BRECHAS DE RENDIMIENTO DEL CULTIVO DE GIRASOL (Helianthus annuus L.) EN ARGENTINA Y ANÁLISIS DE SUS CAUSAS. Tesis Doctorado en Producción Vegetal. Facultad de Ciencias Agrarias, Universidad Nacional de Mar del Plata. Balcarce, Argentina. 181 p.
Rodriguez, I.M., Mercau, J.L., Cipriotti, P.A., Hall, A.J., Monzon, J.P., 2023. Fine-tuning the CROPGRO-Sunflower model and its application to the quantification of crop responses to environmental and management variables. Field Crops Research 300, 108986.
Tovar Hernández, S., Carciochi, W.D., Diovisalvi, N.V., Izquierdo, N., Wyngaard, N., Barbieri, P., Calvo, N.I.R., 2023. Does nitrogen fertilization rate, timing, and splitting affect sunflower yield and grain quality? Crop Science 63, 1525–1540.

