Mejorar los sistemas productivos de la zona centro de San Luis en sus aspectos económicos y ambientales optimizando el uso del agua
Ing. Agr. Vanesa E. Barbero
Gerente Técnica de Desarrollo Chacra San Luis - Promotor Asesor Cambio Rural II
Diciembre 2016
Miembros Fundadores de la Chacra San Luis
Espartaco Bailleres (Bailleres Comercial S.A.)
Roberto Vergés (Don Primo Vergés)
Daniel Lusich (Los Estribos S.A.)
Juan Ignacio Capretto y Milton Chagalj (Gonfer S.A)
Ricardo Meirovich (RIVI S.A.)
Nicolás Ríos Centeno (Serbeef S.A.)
Sebastián García Sosa y Guillermo Ordoñez (Granos del Oeste S.R.L.)
Juan Pablo Ruggeri (Jupace S.A.)
Mesa Técnica de Expertos
Ing. Agr. M.Sc. Jorge Luis Mercau (AER - INTA San Luis)
Ing. Agr. PhD. Juan Cruz Colazo (EEA - INTA San Luis)
Ing. Agr. PhD. Martín Torres Duggan (Tecnoagro S.R.L.)
Ing. Agr. M.Sc. Alberto Belgrano Rawson (AER - INTA San Luis)
Equipo Sistema Chacras Aapresid
Ing. Agr. M.Sc. Rodolfo Gil (Director Académico Científico)
Ing. Agr. M.Sc. Leandro Ventroni (Gerente de Programa)
Ing. Agr. Tomás Coyos (Coordinador Técnico Zonal)
Ing. Agr. Vanesa E. Barbero (Gerente Técnica de Desarrollo 2015-2016)
Ing. Arg. Martín A. Ibarra (Gerente Técnico de Desarrollo 2013-2014)
Instituciones que participaron
Aapresid (Asociación Argentina de Productores en Siembra Directa)
INTA (Instituto Nacional de Tecnología Agropecuaria) - Cambio Rural II
GEA (Grupo de Estudios Ambientales. CONICET - Universidad Nacional de San Luis)
Capítulo 1
Capítulo 2
Capítulo 3
Capítulo 4
Capítulo 5
Descripción de series climáticas históricas y cartas de suelos para diferenciar ambientes productivos en la región centro de San Luis 11
Inclusión de centeno (Secale cereale L.) como cultivo de cobertura antecesor de maíz y soja, en el centro de la provincia de San Luis. 23
Fecha de Siembra y Grupo de Madurez en Soja. Combinación de factores de manejo determinantes de los rendimientos máximos alcanzables y mínimos aceptables en la zona centro de San Luis 73
Respuesta a la fertilización nitrogenada de maíces tempranos y tardíos. Como optimizar la nutrición del cultivo de maíz en la zona centro de San Luis 93
Indicadores de resultados económicos de las actividades agrícolas de las empresas que integran Chacra San Luis. 160
Lista de Abreviaturas
AU: agua útil
CC: cultivo de cobertura
CH: costo hídrico
CV: cultivo de verano
Dap: densidad aparente
EB: eficiencia de barbecho
EUA: eficiencia en el uso del agua
EUN: eficiencia en el uso del nitrógeno
MO: materia orgánica
MS: materia seca
N: nitrógeno
PFS: primera fecha de secado
PMP: punto de marchitez permanente
SFS: segunda fecha de secado
UC: uso consuntivo
Introducción General del Proyecto
Martín A. Ibarra1 y Vanesa E. Barbero2
El desarrollo de la agricultura en San Luis se sustenta en la viabilidad de dos objetivos económicos que se complementan, uno productivo inmediato y otro inmobiliario de mediano plazo. El primero debe permitir a la empresa mantener su funcionamiento y generar las ganancias esperadas, el segundo debe atender al cuidado y agregado de valor al capital inmobiliario de la misma.
Para cumplir con esos objetivos, en San Luis los productores se enfrentan a distintas fuentes de riesgo. En los ambientes semiáridos, la escasa lluvia y su elevada variabilidad hacen que el resultado económico de las empresas que producen en secano esté expuesto a posibles quebrantos en años malos. Se dispone de poca información local que permita cuantificar firmemente esos riesgos y no hay acuerdo en una metodología adecuada para analizarlos. Además los suelos sobre los que se produce, con una estructura superficial relativamente débil, tienen una elevada fragilidad que los torna vulnerables a los procesos erosivos. En San Luis hay evidencias de procesos graves de erosión eólica cuando el suelo seco y descubierto es expuesto a los fuertes vientos de algunas épocas del año. A la baja pluviometría local se le suma las pérdidas de agua por drenaje profundo y escorrentía superficial, que causa en algunos sitios de la provincia cárcavas y hasta la aparición de nuevos ríos. Estos procesos no son generalizados y hay planteos de producción que la minimizan y hasta la evitan, pero la información disponible es insuficiente para identificar las prácticas más convenientes.
Proyecto
La “Mejora de los sistemas productivos de la zona centro de San Luis en sus aspectos económicos y ambientales optimizando el uso del agua” es una tarea prioritaria que la Chacra San Luis ha decidido abordar. Ese camino se pretendió transitar desde cinco enfoques, que son interdependientes:
i) Estudiar oportunidades para una mejor “Estructura de los sistemas de producción”. El ensamble de distintos cultivos y su ubicación a lo largo del año tiene un alto impacto en los resultados económicos y ambientales. Se consideró prioritario:
1 - GTD Chacra San Luis (Aapresid) período 2013 - 2014; 2- GTD Chacra San Luis (Aapresid) período 2015-2016.
La evaluación de estrategias para la incorporación de cultivos de cobertura entendiendo su impacto en los resultados económicos inmediatos y en la atenuación de los principales riesgos ambientales.
El establecimiento de criterios para definir una siembra temprana o tardía de maíz
La comparación de estrategias de producción de soja que apunten a aumentar el rendimiento alcanzable con otras que procuren ser más estables.
ii) Evaluar la “Productividad del Agua” de los planteos agrícolas y procurar estrategias que la aumenten. Frente a la escasa y variable oferta hídrica, su transformación eficiente en rendimiento y cobertura del suelo permite evitar el deterioro de los ambientes. Se exploraron dos caminos que permitieron el aumento de la productividad:
La reducción de las pérdidas de agua en los sistemas de producción y el aumento del consumo por las plantas. En particular se exploró la eficiencia de los barbechos con distintas coberturas y el uso del agua de los cultivos de cobertura previos a maíz y a soja.
El aumento de la productividad del agua por los cultivos para transformarla en rendimiento, biomasa y/o cobertura. En particular se estudió en maíz: fechas de siembra y nutrición nitrogenada, en soja: fecha de siembra y grupo de madurez.
iii) Optimizar la “Nutrición del cultivo de maíz” en los ambientes representativos de la chacra San Luis. Se trabajara en:
Desarrollo de una herramienta de decisión de la dosis de fertilización nitrogenada en maíces tempranos y tardíos para los ambientes representativos de la Chacra San Luis.
iv) Cuantificar los “Riesgos ambientales” ocasionados por erosión hídrica y eólica1. El movimiento interno de agua en el suelo y el grado de cobertura del suelo son indicadores a través de los cuales puede inferirse el riesgo de erosión hídrica y eólica.
v) Generar herramientas para una mejor “Gestión de los riesgos empresariales”. Se pretendió seguir dos estrategias2:
1 Línea de trabajo parcialmente abordada en el ciclo 2013 - 2016.
2 Línea de trabajo parcialmente abordada en el ciclo 2013 - 2016.
Cuantificar con indicadores económicos simples las diferencias entre los distintos ensayos y situaciones a campo evaluadas (márgenes brutos, ingreso/gasto, etc).
Conocer y discutir formas de evaluar los resultados a nivel de empresa que contemplen las distintas fuentes de riesgo.
En el siguiente esquema se resumen los puntos anteriores planteados con la estructura de un árbol de problemas. En el mismo se plantearon las estrategias a ser evaluadas que, atacando distintos aspectos, apuntan a resolver el problema central que se plantea como desafío la Chacra San Luis:
Mejorar los sistemas productivos de la zona centro de San Luis en sus aspectos económicos y ambientales optimizando el uso del agua
Estructura del sistema de producción
- Intensificación y CC
- Fecha de siembra en maíz.
- Planteos de soja (FS x GM)
Productividad del agua
-Captación de agua: eficiencia de barbecho, costos hídricos CC
- Conversión de oferta y consumo en rinde y cob. suelo.
Nutrición del cultivo de maíz
Riesgos ambientales Gestión de riesgo empresarial
- Modelos para definir dosis de N en maíz
- Variables críticas para procesos erosivos eólicos e hídricos
-Erosión eólica
- Indicadores económicos del sistema de prod: Costo unitario, Margen bruto de la secuencia.
-¿Sorgo o Maíz?
Árbol de problemas “Chacra San Luis”
Nivel 1: Problema central demandado por los miembros de la Chacra San Luis.
Nivel 2: Causas posibles priorizadas por ellos mismos
Nivel 3: Vacíos de información identificados por los miembros, que definen el plan de acción.
Finalidad y objetivos del proyecto3
“Mejorar los sistemas productivos de la zona centro de San Luis en sus aspectos económicos y ambientales optimizando el uso del agua”
OG 1 Mejorar el diseño de la estructura de los sistemas de producción en secano que contempla Chacra San Luis.
OE 1.1 Evaluar casos que permitan la incorporación de un cultivo de cobertura sobre la dinámica del agua, control de malezas y el rendimiento del cultivo siguiente en las secuencias agrícolas para los principales ambientes que explora la Chacra San Luis. PE: Resultado comparativo de diferentes estrategias de incorporación de los CC sobre dinámica del agua, control de malezas y rendimiento del cultivo siguiente.
OE 1.2 Establecer criterios para definir una siembra temprana o tardía de maíz en diferentes ambientes representativos de la Chacra San Luis. PE: Criterios para la elección de fechas de siembra temprana o tardías en maíz de acuerdo al ambiente que va a explorar el cultivo.
OE 1.3 Comparar diferentes combinaciones de fechas de siembra y grupos de madurez de soja que tiendan a: 1- Maximizar el rendimiento, 2- Estabilizar la producción en ambientes representativos de la chacra San Luis. PE: Criterios para definir ciclo y fecha de siembra de soja de acuerdo al ambiente que va a explorar el cultivo.
OG 2 Mejorar la productividad del agua en los distintos ambientes explorados en secano por la Chacra San Luis, en términos de rendimiento y cobertura del suelo.
OE 2.1 Evaluar el impacto de distintas coberturas de rastrojos sobre la oferta de agua para los cultivos siguientes. PE: Eficiencias de barbecho con distintas coberturas del suelo.
OE 2.2 Evaluar el impacto de la inclusión de CC sobre la oferta de agua para los cultivos siguientes y sus rendimientos. PE: Costo hídrico de realizar un CC y efecto del CC sobre el rendimiento del cultivo siguiente.
OE 2.3 Cuantificar la productividad del agua en cultivos de cobertura en distintos momentos de secado. PE: Impacto de la fecha de secado del CC en la capacidad de generar biomasa y cobertura del suelo.
3 OG (objetivo general); OE (objetivo específico); PE (producto esperado).
OE 2.4 Evaluar el impacto de diferentes fechas de secado de CC sobre la oferta de agua para el cultivo siguiente y su rendimiento. PE: Oferta de agua y rendimiento del cultivo siguiente según la fecha de secado del CC.
OE 2.5 Analizar casos de CC en lotes comerciales de los productores Chacra San Luis. (Especies, fertilización, etc). PE: Impacto de diferentes prácticas sobre la productividad del agua de los CC.
OE 2.6 Cuantificar la productividad del agua del cultivo de maíz en distintas fechas de siembra. PE: Impacto de la fecha de siembra en la capacidad del cultivo para generar rendimiento y cobertura del suelo con el agua disponible.
OE 2.7 Cuantificar la productividad del agua de cultivos de maíz con diferentes niveles de fertilización nitrogenada en siembras tempranas y tardías. PE: Impacto la fertilización de maíz en la capacidad del cultivo de generar rendimiento y cobertura de suelo con el agua disponible.
OE 2.8 Cuantificarla productividad del agua de diferentes combinaciones de fechas de siembra y grupos de madurez de soja que tiendan a: 1- Maximizar el rendimiento 2Estabilizar la producción. PE: Impacto de la elección de un planteo de producción de soja en la capacidad del cultivo de generar rendimiento y cobertura del suelo con el agua disponible.
OG 3 Optimizar la nutrición del cultivo de maíz en los sistemas productivos en secano en la Chacra San Luis.
OE 3.1 Generar una herramienta de decisión para definir la dosis de fertilización nitrogenada en maíces tempranos y tardíos en los principales ambientes de la Chacra San Luis. PE: Modelo agronómico simple para definir la fertilización nitrogenada en maíz temprano y tardío de secano en la zona centro de San Luis. Evaluación del error de la simulación de la respuesta a la fertilización nitrogenada en siembras tempranas y tardías con el modelo de cultivo Ceres-Maize. Curvas de respuestas simuladas con Ceres-Maize para los ambientes de producción en secano del centro de San Luis.
OG 4 Cuantificar los “Riesgos ambientales” a los que se exponen los sistemas de producción de la zona centro de San Luis.
OE 4.1 Estimar las diferencias que generan diferentes planteos productivos en la magnitud del drenaje profundo y de la cobertura del suelo en momentos críticos para la
erosión hídrica y eólica. PE: Probabilidad de riesgo ambiental en diferentes planteos productivos.
OE 4.2 Estimar los efectos de las rotaciones actuales sobre los niveles de erosión eólica en distintas combinaciones de suelo y clima representativos de los sistemas productivos de la Chacra San Luis. PE: Nivel de erosión eólica (actual) sobre las rotaciones típicas en los ambientes representativos de la Chacra San Luis.
OG 5 Integrar analíticamente los resultados físicos del sistema productivo en indicadores económicos, considerando los riesgos económicos que enfrentan las empresas de Chacra San Luis.
OE 5.1 Evaluar la relación económica competitiva entre sorgo y maíz en ambientes de diferente potencial productivo representados en la Chacra San Luis. PE: Resultado económico comparativo entre sorgo y maíz para diferentes ambientes productivos.
OE 5.2 Evaluar la estabilidad del resultado económicos de siembras tempranas y tardías en maíz y de planteos productivos de soja en los ambientes representados por Chacra San Luis. PE: Resultado económico comparativo entre fecha de siembra temprana y tardía en maíz.
OE 5.3 Evaluar la estabilidad del resultado económicos de combinaciones de fecha de siembra y grupo de madurez en soja en los ambientes representados por Chacra San Luis. PE: Resultado económico comparativo entre diferentes combinaciones de grupos de madurez y fecha de siembra.
OE 5.4 Evaluar el resultado económico de diferentes niveles de fertilización nitrogenada en maíz en los ambientes representativos de la chacra San Luis. PE: Respuesta económica a la fertilización nitrogenada en Maíz.
OE 5.5 Evaluar el impacto de incluir cultivos de cobertura sobre el resultado económico del sistema. PE: Resultado económico de incluir cultivos de cobertura.
OE 5.6 Conocer y discutir en el grupo distintas formas de evaluar los resultados a nivel de empresa que contemplen el riesgo que caracteriza la región en el corto y largo plazo. PE: Capacitación empresarial en metodologías de gestión del riesgo a nivel de empresa en un ambiente con elevada variabilidad y expuesto a procesos de deterioro.
CAPÍTULO 1. Caracterización Ambiental
Descripción de series climáticas históricas y cartas de suelos para diferenciar ambientes productivos en la región centro de San Luis
Vanesa E. Barbero1-2
1.1. Introducción
El incremento de la superficie agrícola en sistemas mixtos y su expansión en sistemas frágiles de la provincia de San Luis, ha desencadenado procesos de deterioro ambiental tales como la degradación de la cubierta vegetal, procesos erosivos de suelos (eólicos e hídricos) y ascenso progresivo de la napa freática con ascenso de sales en algunos casos y origen de nuevos cursos de agua en otros (Jobbagy et al. 2015). Esta situación es acentuada con la expansión de la actividad agrícola hacia áreas menos aptas para tal fin, que en últimos años avanzó cada vez más al sur y al oeste de San Luis, debido en general a emprendimientos de inversión que encontraron tierras de escasa aptitud agrícola, pero con grandes extensiones y precios de arrendamiento más bajos que los de otras regiones sembradas del país (Garay et al. 2009). No obstante, es la agricultura de cosecha la que constituye una importante alternativa de diversificación productiva dentro de la empresa agropecuaria, cuyo componente ganadero es relevante. Es por ello que en este capítulo, se mostrarán los análisis de series climáticas históricas y cartas de suelos, para caracterizar el ambiente productivo donde producen los miembros de la Chacra San Luis.
El techo productivo de un cultivo en secano, queda definido por la oferta ambiental de una localidad determinada (nivel de radiación, temperatura y lluvias), las condiciones de suelo que ésta presente y, por ciertas adversidades climáticas (heladas, golpes de calor, granizos, déficit y excesos hídricos).
Las heladas, provocan daños en la producción de los cultivos debido a su duración, intensidad o fecha de ocurrencia. Los cultivos de maíz y soja son muy sensibles a las heladas en todo su ciclo, cuando éstas son tardías provocan pérdidas variables en el número de plantas y en la biomasa generada por senescencia de hojas; mientras que la ocurrencia de heladas tempranas al final del ciclo en ambos cultivos, puede ocasionar la finalización del ciclo, acortando la duración del período de llenado de granos y disminuyendo su peso (Otegui y López Pereira, 2003).
1 GTD Chacra San Luis (Aapresid); 2 Cambio Rural II (INTA)
Por su parte, el golpe de calor se define como un ascenso de la temperatura por encima de un valor umbral y durante un período de tiempo suficiente, provocado daños irreversibles en el crecimiento y desarrollo de los cultivos. En el maíz, las temperaturas supra óptimas en antesis pueden provocar mermas en la viabilidad del polen y por ende, una disminución en el número de granos (Otegui y López Pereira, 2003), como también afectar el llenado de los granos.
Por último, el déficit hídrico afecta no solo el rendimiento de los cultivos sino que también la supervivencia de los mismos. Este fenómeno ocurre principalmente cuando hubo escases de lluvias previamente a la siembra del cultivo y durante su ciclo. Es por ello que en estas condiciones las características del suelo cobran suma importancia, porque dependiendo de su textura, profundidad, relieve, etc., los suelos adquieren mayor o menor capacidad para almacenar agua y tenerla disponible para el consumo de las plantas.
1.2. Objetivo
Caracterizar ambientalmente la zona centro de San Luis, definiendo cuatro zonas productivas a través de características edáficas y pluviométricas.
1.3.
Metodología
Se utilizó la información climática histórica diaria para la serie 1980 - 2015, de la EEA INTA Villa Mercedes. El conjunto de datos incluyó los valores diarios de temperatura máxima y mínima (°C) y precipitaciones (mm). Esta información fue relacionada con los eventos ENSO (fases niña, niño o neutro) de acuerdo a los registros históricos disponibles en el CPC4. También se utilizó el registro histórico de lluvias diarias de los establecimientos Los Algarrobitos, San Pedro, La Cleides y Paso de las Carretas.
A partir de esta información se estimó la probabilidad de ocurrencia de temperaturas sub óptimas (heladas) y supra óptimas (golpes de calor) para los cultivos. El período libre de heladas fue definido como el período comprendido entre el último día del año con probabilidad de ocurrencia de temperaturas menores a 0 °C a 5 cm de la superficie, a la salida de la primavera “última helada” y, el primer día del año con probabilidad de ocurrencia de temperaturas inferiores a 0 °C a 5 cm de la superficie en otoño “primera helada”.
4 Climate Prediction Centre.
Para el caso de daños por golpe de calor, se estimó la probabilidad de ocurrencia diaria de eventos con temperaturas máximas superiores a los 32 o 35 °C, que pudieran afectar la floración o interrumpir el llenado de los granos. Finalmente, para determinar el agua útil (AU) en cada perfil de suelo (donde se llevaron a cabo diferentes ensayos de la Chacra San Luis), se estimaron las constantes hídricas de punto de marchitez permanente (PMP) y capacidad de campo (CC) a partir de los datos de textura y materia orgánica para cada horizonte, empleando las funciones propuestas en Soil Water Characteristics (software de acceso libre USDA), ajustando cada una de estas curvas a las curvas hídricas reales que se obtuvieron a partir de los muestreos a campo.
1.4. Resultados
1.4.1. Área de influencia de la Chacra San Luis
El área de influencia de la Chacra San Luis abarca establecimientos próximos a las localidades de Barranquitas, Villa Mercedes, Fraga, La Cumbre, Liborio Luna, Alto Pelado, Eleodoro Lobos y Comandante Granville (Figura 1.1)
Figura 1.1. Ubicación geográfica del área de influencia de la Chacra San Luis.
1.4.2.
Componentes climáticos
Temperatura
Como puede observarse en la Figura 1.2, el clima es relativamente moderado, con una temperatura media diaria y temperaturas máximas y mínimas promedio que se encuentran a lo largo del año dentro de un rango óptimo de crecimiento, para los principales cultivos extensivos de la zona centro de San Luis (soja y maíz).
Máx Prom Mín Prom Media
16-Jun 26-Jun Temperatura diaria ( ° C)
Fecha
Figura 1.2. Evolución anual de las temperaturas media, máxima y mínima diarias. Elaboración propia con datos del INTA Villa Mercedes, San Luis (Serie 1980-2015).
La ocurrencia de temperaturas sub y supra óptimas, definen la posible estación de crecimiento de los cultivos a lo largo del año, especialmente los momentos donde deben ubicarse los períodos críticos para la determinación del rendimiento. Esta estación dependerá del riesgo que se asuma para los cultivos, respecto a la probabilidad de ocurrencia de dichas temperaturas, y de los valores de temperaturas fijados. Se identificaron así los momentos en el año con probabilidades de ocurrencia de heladas o probabilidades de ocurrencia de golpes de calor. Considerando la fecha de ocurrencia de última y primera helada (temperatura mínima a 5 cm de la superficie, menor a 0 °C), para la serie histórica 1980-2015, la estación de crecimiento se estableció entre el 17 de
noviembre y 28 de marzo (Figura 1.3), 131 días con riesgo en uno de cada diez años (P ≤ 10 %).
Para el caso de daños por golpe de calor, se calculó la probabilidad de ocurrencia diaria de eventos con temperaturas máximas superiores a los 32 °C (cultivos invernales) ó 35 °C y 37 °C (cultivos estivales). La ocurrencia de temperaturas sobre 32 °C comienza a ser elevada en la segunda semana de noviembre (Figura 1.4). El llenado de grano de los cultivos invernales debería completarse mayormente antes de esta fecha de modo de evitar daños por altas temperaturas. Entre el 11 de diciembre y el 20 de enero se observan las probabilidades de ocurrencia de temperaturas superiores a 35 °C más altas (60-50 %) que pudieran afectar a los cultivos estivales, en especial si se ubica el período crítico en esas fechas. La probabilidad de temperaturas extremas mayores a 37°C resulta elevada especialmente entre el 21 y 31 de diciembre.
Probabilidad de ocurrencia de heladas (%)
21-Mar 5-Apr 20-Apr 5-May 20-May 4-Jun 19-Jun 4-Jul
3-Aug
Helada temprana
Helada tardía
16-Dec 31-Dec 15-Jan 30-Jan 14-Feb 1-Mar 16-Mar 31-Mar 15-Apr 30-Apr 15-May 30-May 14-Jun 29-Jun 14-Jul 29-Jul 13-Aug 28-Aug 12-Sep 27-Sep 12-Oct
Figura 1.3. Probabilidad de ocurrencia de heladas después o antes de una determinada fecha (heladas tardías y tempranas). Elaboración propia con datos del INTA Villa Mercedes, San Luis (Serie 1980-2015).
Figura 1.4. Probabilidad diaria de ocurrencia de temperaturas iguales o superiores a 30, 32, 35, 37 y 40 °C en algún día de la década mensual. Elaboración propia con datos del INTA Villa Mercedes, San Luis (Serie 19802015).
Oferta de agua
La distribución anual de lluvias para las cuatro zonas productivas5 que comprende el área de influencia de la Chacra San Luis, se corresponde con un régimen monzónico (precipitaciones concentradas en los meses estivales).
Zona 1 (Barranquitas, El Amparo, Cuatro Esquinas): La oferta hídrica anual promedio se encuentra alrededor de los 856 mm (Figura 1.5), con extremos entre 432 mm y 1226 mm, y un coeficiente de variación (CV) cercano al 24 %.
Zona 2 (La Cumbre, La Petra, Eleodoro Lobos): La oferta anual promedio se encuentra alrededor de los 665 mm (Figura 1.6) con extremos entre 315 mm y 1201 mm, y un coeficiente de variación (CV) cercano al 27 %. La variabilidad interanual es sumamente marcada como puede observarse en la Figura 1.7.
5 Zonas productivas que siguen un gradiente hídrico de N a S.
Figura 1.5. Distribución mensual de la oferta de lluvias, promedio de la serie 1998 - 2015 en la zona 1 (Barranquitas, San Luis).
Figura 1.6. Distribución mensual de la oferta de lluvias, promedio de la serie 1966 - 2016 en la zona 2 (La Cumbre, San Luis).
Precipitaciones (mm)
Jul Ago Sep Oct Nov Dic Ene Feb Mar Abr May Jun
Figura 1.7. Variabilidad interanual de las precipitaciones en zona 2 (La Cumbre, San Luis). Serie 1968-2016.
Zona 3 (Cte. Granville, Fraga, Liborio Luna): La oferta anual promedio se encuentra alrededor de los 680 mm (Figura 1.8) con extremos entre 161 mm y 1205 mm, y un coeficiente de variación (CV) cercano al 24 %. La variabilidad interanual es sumamente marcada como puede observarse en la Figura 1.9.
Figura 1.8. Distribución mensual de la oferta de lluvias, promedio de la serie 1966 - 2016 en la zona 2 (La Cumbre, San Luis).
Precipitaciones (mm)
Figura 1.9 Variabilidad interanual de las precipitaciones en zona 3 (Villa Mercedes, San Luis). Serie 19802015.
Zona 4 (Alto Pelado): La oferta anual promedio se encuentra alrededor de los 400 mm (Figura 1.10).
Figura 1.10. Distribución mensual de la oferta de lluvias (período octubre - abril), promedio de la serie 19972015 en la zona 4 (Alto Pelado, San Luis).
El fenómeno de El Niño - Oscilación Sur (ENOS) es un patrón climático recurrente que implica cambios en la temperatura de las aguas en la parte central y oriental del Pacífico Tropical. En períodos que van de tres a siete años, las aguas superficiales de una gran franja del Océano Pacífico Tropical, se calientan o se enfrían entre 1 ° C y 3 ° C, en comparación a la temperatura normal. Este calentamiento oscilante y el patrón de enfriamiento, es conocido como el ciclo ENOS (o ENSO por sus siglas en inglés), afectando directamente a la distribución de las precipitaciones en las zonas tropicales y puede tener una fuerte influencia sobre el clima en los otras partes del mundo. El Niño y La Niña son las fases extremas del ciclo ENOS; entre estas dos fases existe una tercera fase llamada Neutral. Es por ello, que parte de la variabilidad de lluvias entre años para una región, puede ser explicada a partir de las diferencias observadas en la oferta y distribución de lluvias entre años Neutros, años Niño y años Niña. En la Figura 1.11 se observa que los años Niños para la zona centro de San Luis, presentan picos de precipitaciones por encima de los años Neutros-Niña6, en los meses de diciembre y enero, cayendo considerablemente durante el mes de febrero y parte del mes de marzo. En años Neutros-Niña, la oferta hídrica resulta menor, especialmente a fines de la primavera y a comienzo del verano (que suelen ser más secos, con bajos niveles de precipitaciones en noviembre, diciembre y enero).
6 A diferencia de lo que ocurre en la región centro y este del país, en San Luis los años neutros registran menos lluvias que los años niñas, por dicha razón se decide juntar ambos tipo de fase en la Figura 1.11.
Precipitaciones mensuales (mm)
Niño Promedio Neutro-Niña
Figura 1.11 Oferta mensual de lluvias promedio, para años Niño, Neutros y Niña. Elaboración propia con datos del INTA Villa Mercedes, San Luis (Serie 1980 - 2015).
1.4.3. Componente suelos
Dentro de los establecimientos seleccionados para la conducción de los ensayos de la Chacra San Luis (ver Capítulos 2 y 4), se definieron los tipos de suelo predominantes.
Zona 1 (Barranquitas)
En el campo Los Algarrobitos, predominan los haplustoles énticos de la consociación La Toma 4 (LT4). De acuerdo a la carta de suelos, esta unidad se encuentra ubicada en un paisaje ondulado, con severa susceptibilidad a la erosión hídrica en surcos. Son suelos de textura franco limosa. Presenta una capacidad de uso IVes y un índice de productividad de 45.
Zona 2 (E. Lobos y Paso de Las Carretas)
En los campos El Mangrullo y La Cleides, predominan suelos del tipo ustortentes típicos de la consociación La Petra 2 (LP2). Dicha unidad cartográfica se encuentra ubicada en un paisaje de planicie ondulada con pendiente del 1 %, de escurrimiento medio, permeabilidad moderada y con buen drenaje. Son suelos bien drenados, profundos, de textura franco arenosa, y con poco contenido de MO. Presenta una capacidad de uso IVes y un índice de productividad de 57.
Zona 3 (C. Granville, Fraga y L. Luna)
En los campos La Primavera, Fraga y La Nena, predominan suelos del tipo ustortentes típicos de la consociación Fraga (Fg y Fg3). Corresponden a suelos arenosos eólicos, dispuestos en lomas alargadas. Son suelos sueltos con escasos contenidos de MO, profundos y excesivamente drenados. Presentan una capacidad de uso VIes y un índice de productividad de 42 (serie Fg) y una capacidad de uso VIIes y un índice de productividad de 21 (serie Fg3). En el campo PDC, predominan haplustoles enticos de la consociación Comandante Granville (CG). Son suelos de textura areno-franca y de drenaje algo excesivo. Presenta una capacidad de uso IVes y un índice de productividad de 72.
Zona 4 (Alto Pelado)
En el campo La Lucre, predominan suelos del tipo torripsamentes típicos de la consociación Nahuel Mapa (Na7). Suelos de textura arenosa, excesivamente drenados y muy susceptibles a la erosión eólica. Presenta un índice de productividad 19.
Capacidad de almacenamiento de agua en los suelos de influencia de la Chacra San Luis
Los contenidos de arcilla, limo y arena de cada horizonte determinan diferentes capacidades de almacenaje de agua. Suelos con mayor contenido de arcilla, presentan una mayor retención de agua a capacidad de campo que suelos areno-franco o arenosos.
Sin embargo, con mayor contenido de arcilla aumenta también la tensión con la que se encuentra retenida el agua, presentando un punto de marchitez más elevado (Figura 1.12).
Figura 1.12. Lámina de agua retenida a capacidad de campo (CC) y a punto de marchitez permanente (PMP) hasta 2 m de profundidad, para las cuatro zonas productivas. Agua útil (AU)= CC - PMP.
1.5. Comentarios Finales
La combinación de las características climáticas y edáficas, determinan diferencias de aptitud en las cuatro zonas (detectadas a lo largo del gradiente hídrico que contempla la Chacra San Luis), y por lo tanto posibilidades o alternativas a evaluar, para aumentar la estabilidad de los rendimientos de los cultivos agrícolas. De este análisis se puede destacar como herramienta para la toma de decisiones: A) la caracterización regional de los períodos libre de heladas y golpes de calor, para definir fechas de siembra óptimas y elección de genotipos de acuerdo a la duración de su ciclo, evitando la ocurrencia de dichos eventos en los momentos críticos para el cultivo, B) la caracterización edáfica de los suelos predominantes de la Chacra San Luis, en cuanto a textura y capacidad de almacenaje de agua.
Es de suma importancia obtener registros de demanda hídrica en cada una de las zonas productivas (expresadas como evapotranspiración), a los fines de poder caracterizar la probabilidad de períodos de déficit o excesos hídricos a lo largo del ciclo de los cultivos, de acuerdo a la fase ENSO pronosticada.
1.6.
Bibliografía
Garay J., J. Veneciano y C. Peña Zubiate. 2009. Áreas agroecológicas y superficie cultivada. En: Aspectos de la evaluación y el manejo de los suelos en el este de San Luis. Ed. INTA. pp 7-14.
Jobaggy E.G., Nosetto M.D., Bernasconi H.O., Colazo J.C., Galvan M.J., Mercau J.L., Saenz C.A., Colazo E.R., Larrusse C.E., Marchi A.A., Barbosa O., Giaccardi A., Hellmers M.M., Martínez Alvarez D. y Tripaldi A. 2015. Los nuevos cursos de agua en la cuenca de El Morro: descripción del proceso y pautas para su gestión. INTA. 2006. Carta de Suelos de la República Argentina. Hoja San Luis. Provincia de San Luis.
INTA. 2000. Carta de Suelos de la República Argentina. Hoja Villa Mercedes. Provincia de San Luis.
INTA. 1992. Carta de Suelos de la República Argentina. Hojas Martín de Loyola y Varela. Provincia de San Luis.
Otegui M. E. y M. López Pereira. 2003. Fecha de siembra. En: Producción de granos. Bases funcionales para su manejo. Ed. FAUBA. Buenos Aires. Argentina. pp 257-275.
CAPITULO 2. Inclusión de centeno (Secale cereale L.) como cultivo de cobertura antecesor de maíz y soja, en el centro de la provincia de San Luis. Vanesa E. Barbero1-2, Tomás Coyos3, Jorge L. Mercau4 y Juan C. Colazo4
2.1. Introducción.
Los productores de la zona centro de San Luis enfrentan importantes riesgos que impactan sobre la sustentabilidad de sus sistemas productivos y empresariales, a causa de la escasez de lluvias, su alta variabilidad de ocurrencia tanto espacial como temporal y por la fragilidad de los suelos en los que producen. A ello, se le suma la alta frecuencia de vientos fuertes que potencian los riesgos de erosión eólica cuando los años son secos. Cuando los años son húmedos, el escaso uso del agua de los modelos agrícolas actuales genera excesos hídricos que culminan en procesos erosivos por escurrimiento superficial y pérdida de agua en profundidad que aumenta el nivel freático, pudiendo en este último caso contribuir al fenómeno de aparición de ríos subterráneos (Jobbágy et al., 2015). Por lo tanto, la baja productividad del agua y el riesgo de erosión de los suelos de San Luis, están relacionados con la intensificación agrícola y sus rotaciones, de allí que la Chacra San Luis evalúa el impacto de la inclusión de los CC invernales dentro de la secuencia de cultivos más empleada en la región (soja-maíz), sobre la oferta de agua para los cultivos siguientes y sus rendimientos.
Los CC han sido utilizados tradicionalmente para controlar la erosión, por lo que generalmente no son pastoreados, incorporados al suelo, ni cosechados, quedando los residuos en superficie luego de interrumpir su crecimiento mediante la aplicación de un herbicida. También pueden cumplir otras varias funciones en el sistema productivo (Galarza et al., 2010), de acuerdo al objetivo de mejora que se plantee en un sistema agrícola en particular, por ejemplo mejorar el balance de carbono, fijar N para reducir los requerimientos de fertilizantes, reducir la presión de malezas y el uso de herbicidas, mejorar la captación de agua, etc. (Kruger y Quiroga, 2012).
Se conoce que los CC aumentan la eficiencia del uso del agua para capturar carbono, especialmente en suelos con baja capacidad de retención de agua (Duarte, 2002), evitando pérdidas hacia capas más profundas de suelo. Aunque se sabe que el consumo hídrico de los CC durante el período invernal puede interferir en la normal oferta hídrica para el cultivo de cosecha siguiente (Álvarez et al. 2015).
1 GTD Chacra San Luis (Aapresid); 2 Cambio Rural II (INTA); 3 CTZ Sistemas Chacras (Aapresid), 4 INTA San Luis.
El centeno (Secale cereale L.) es la gramínea más tolerante al frío y al estrés hídrico y produce abundante cantidad de residuo que se descompone más lentamente que el de otras gramíneas de invierno (alta relación C/N). Por tal motivo, este es el cultivo más empleado por los productores y técnicos de la zona de influencia de la Chacra San Luis.
Puesto el esfuerzo en mejorar las prácticas de manejo, estableciendo las fechas de siembra y los momentos de secado de los CC más oportunos, se podrá optimizar la producción de biomasa, la competencia con malezas difíciles y el reciclado de nutrientes, especialmente manteniendo al mismo tiempo niveles hídricos no limitantes en el suelo. El presente trabajo tiene por objetivo responder las siguientes preguntas: ¿qué impacto tuvo la inclusión del CC en la rotación agrícola, sobre el rendimiento de los cultivos de grano siguientes? ¿Logramos recargar y conservar más agua para el cultivo de cosecha, incluyendo CC en los sistemas actuales? ¿Cuál es el costo hídrico de un CC? ¿Cómo fue la dinámica del agua entre períodos y estratos de suelo? ¿Cómo fueron las eficiencias de barbecho en los esquemas evaluados? ¿Cuáles son las decisiones de manejo que más afectaron la productividad de los CC? ¿Qué otros beneficios se pueden obtener al incluir un CC a la rotación agrícola?
2.2. Metodología.
2.2.1 Descripción general de los ensayos.
El estudio se desarrolló durante las campañas agrícolas 2014/15 y 2015/16, bajo condiciones de secano, en cuatro zonas productivas7 que caracterizan distintos ambientes edafo-climáticos a lo largo de un gradiente hídrico (Tabla 2.1), en el centro de la provincia de San Luis. Los ensayos fueron instalados en lotes que provenían del cultivo antecesor soja (Glycine max L.) grupo de madurez (GM) entre IV (largo) y V (corto) durante las campañas 2014/15 y 2015/16, y del antecesor maíz picado para silo (Zea mays L.) durante la campaña 2015/16, empleándose centeno (Secale cereale L.) como CC, al cual le continuó en la secuencia agrícola el cultivo de maíz y soja, respectivamente (Figura 2.1).
7 Zona productiva 1: Jupace S.A. (campo Los Algarrobitos). Zona productiva 2: Gonfer S.A. (campo El Mangrullo) y Granos del Oeste S.R.L. (campo San Pedro). Zona productiva 3: Serbeef S.A. (campo PDC) y Los Estribos (campo Mi Sueño). Zona productiva 4: Bailleres Comercial S.A. (campo La Lucre).
Dichos ensayos fueron realizados con un diseño de grandes franjas a campo, con una superficie mínima de 0.12 ha para maíz y 0.2 ha para soja.
Tabla 2.1. Características de las zonas productivas donde se llevaron a cabo los ensayos de la Chacra San Luis (INTA 2006, 2000 y 1992).
Zona Productiva 1 2 3 4
Lluvia histórica (mm/año) > 700
Tipo de suelo
Haplustol entico
Torripsament típico; Ustortente típico
Ustortente típico; Haplustol entico
< 400
Torripsament típico
Textura superficial Franco Franco-Arenoso Areno-franco Arenoso
Figura 2.1 Esquema simplificado del manejo del centeno dentro de las secuencias A) soja-CC-maíz y B) maíz picado para silo-CC-soja.
El centeno fue sembrado entre abril y junio a una densidad aproximada de 40 kg/ha, con un distanciamiento entre hileras (DEH) definido según sembradora disponible por el productor (Tabla 2.2). Durante la primera etapa de la experiencia, los tratamientos establecidos fueron: sin CC y con CC con dos fechas de secado, una temprana cuando el centeno estaba llegando a hoja bandera y la otra tardía cuando estaba próximo a espigar (Tabla 2.2). Posteriormente se implantó el maíz (siguiendo la secuencia soja-CC-maíz) sobre las parcelas sin CC y con CC, con fecha temprana (10 de octubre ± 10 días) la cual coincidió con el secado tardío, y con fecha de siembra tardía (25 de noviembre ± 10 días).
Los híbridos utilizados fueron los más sembrados por la Regional San Luis, con una distancia entre surco de 0.52 m (Tabla 2.2). De esta manera, quedaron definidas 10 parcelas o unidades experimentales (U.E.): A) sin CC - maíz temprano; B) sin CC - maíz tardío; C) con CC secado tarde - maíz temprano; D) con CC secado tarde - maíz tardío; E) con CC secado temprano - maíz tardío y F) con CC fertilizado o sin fertilizante dependiendo la zona, secado tarde - maíz tardío (ver más adelante). Las parcelas B y D se repitieron tres veces, a los fines de conocer la variabilidad entre las U.E. que recibieron el mismo tratamiento (conocer el error experimental)
En el caso de la soja, se establecieron dos planteos de soja, uno denominado techo sembrado a principios de noviembre con un GM3 largo o GM4 corto y el otro planteo llamado piso sembrado en la segunda década de noviembre con GM5 corto con una densidad intermedia (200-250 mil plantas logradas). Aquí también quedaron definidas 10 parcelas o U.E.: A) sin CC - soja techo; B) sin CC - soja piso; C) con CC secado tardesoja techo; D) con CC secado tarde - soja piso; E) con CC secado temprano - soja piso y F) sin CC sobre rastrojo de maíz cosecha - soja piso. Las parcelas B y D se repitieron tres veces, a los fines de conocer la variabilidad entre las U.E. que recibieron el mismo tratamiento.
Tabla 2.2. Manejo agronómico de los ensayos de cultivo de cobertura para la secuencia A) soja-CC-maíz (2014/15), B) soja-CC-maíz (2015/16) y C) maíz-CC-soja (2015/16).
A) Variables agronómicas
Zonas Productivas 1 2 3 4
Fecha de siembra CC 20/05/2014 01/05/2014 10/06/2014 21/04/2014
DEH (m)
0.35 0.205 0.175 0.19
Plantas logradas (pl m-2) s/d s/d 134 264
Fecha de secado temprano 17/09/2014 19/09/2014 26/09/2014 23/09/2014
Fecha de secado tarde s/d 16/10/2014 21/10/2014 08/10/2014
Fecha de siembra temprana maíz s/d 26/10/2014 15/11/2014 no se hizo
Fecha de siembra tardía maíz 02/12/2014 21/11/2014 03/12/2014 27/11/2014
B) Variables agronómicas
Zonas Productivas 1 3 4
Fecha de siembra CC 11/05/2015 20/06/2015 14/05/2015
DEH (m) 0.35 0.21 0.19
Plantas logradas (pl m-2) 197 s/d 232
Fecha de secado temprano 11/09/2015 no se hizo 23/09/2015
Fecha de secado tarde 17/10/2015 21/10/2015 13/10/2015
Fecha de siembra temprana maíz 28/10/2015 no se hizo 23/10/2015
Fecha de siembra tardía maíz 01/12/2015 01/12/2015 04/12/2015
C) Variables agronómicas
Zonas Productivas 1 2 4
Fecha de siembra CC 11/04/2015 04/04/2015 06/05/2015
DEH (m) 0.35 0.17 0.19
Plantas logradas (pl m-2) 118 88 299
Fecha de secado temprano 26/08/2015 02/09/2015 23/09/2015
Fecha de secado tarde 11/09/2015 18/10/2015 13/10/2015
Fecha de siembra soja techo 05/11/2015 s/d 20/11/2015
Fecha de siembra soja piso 13/11/2015 30/11/2015 15/11/2015
2.2.2. Mediciones en suelo y planta
Humedad edáfica
Al inicio del CC, al momento de cada fecha de secado y durante la siembra, el cuaje de granos y en madurez fisiológica del cultivo de maíz y soja, se tomaron muestras de suelo
hasta 280 cm de profundidad a intervalos de 20 cm, para determinar el contenido de agua gravimétrica (Ec 1). A partir del dato gravimétrico y conociendo la densidad aparente de cada suelo donde se instalaron los ensayos, se calculó la humedad volumétrica (Ec. 2) para dejar representada gráficamente la dinámica del agua.
H° Gravimétrica [gr/gr] = (Peso suelo húmedo-Peso suelo seco) / Peso suelo seco (Ec. 1)
H° Volumétrica [cm3/cm3] = H° Gravimétrica [gr/gr] * Dap [gr/cm3] (Ec. 2)
Con el dato de H° Volumétrica se obtuvo la lámina de agua del perfil (Ec. 3), a fin de realizar los cálculos de EUA y eficiencia de almacenaje. Para determinar el AU (Ec. 4), se estimaron las constantes hídricas de punto de marchitez permanente y capacidad de campo a partir de los datos de textura y materia orgánica para cada horizonte, empleando las funciones propuestas en Soil Water Characteristics (software de acceso libre USDA), ajustando cada una de estas curvas, a las curvas hídricas reales que se obtuvieron a partir de los muestreos a campo.
Lámina [mm] = H° Volumétrica [cm3/cm3] * Profundidad [mm] (Ec. 3)
AU del perfil [mm] = Σ Lámina - PMP (Ec. 4)
Uso consuntivo del CC (UC)
Se calculó mediante la suma del contenido hídrico del suelo al momento de la siembra y las precipitaciones ocurridas durante el ciclo del centeno, a la cual se le descontó el contenido hídrico del suelo al momento de finalizar el ciclo del CC (Ec. 5).
UC [mm] = H° siembra CC - H° secado CC + PP ciclo CC (Ec. 5)
Producción de biomasa del CC
Al momento de finalización de su ciclo (secado), se determinó mediante 10 cortes al ras del suelo de una superficie de 0.25 m2, la producción de materia seca acumulada (kg MS/ha) y de esta muestra compuesta se tomó una alícuota para estimar la relación tallo (incluyendo espigas) y hojas (incluyendo láminas y vainas).
Eficiencia en el uso del agua (EUA)
Se determinó a través del cociente entre la producción de MS del centeno, obtenida durante el período de crecimiento y el UC, como lo proponen Bennie y Hensley, 2001 (Ec. 6).
EUA [kg MS/mm]= MS / (H° siembra CC - H° secado CC + PP ciclo CC) (Ec. 6)
Costo hídrico (CH)
Se estimó como la diferencia entre el AU del barbecho (sin CC) y el AU en el centeno (con CC), al momento del secado (Ec. 7).
CH [mm] = AU barbecho - AU centeno (Ec. 7)
Eficiencia de barbecho (EB)
Para interpretar la eficiencia que tiene el CC en la captación y en la conservación del agua pluvial. Esta eficiencia se calcula a través de la diferencia entre el contenido agua final e inicial de cada período, dividido por las precipitaciones ocurridas. Luego se lo multiplicó por 100 para expresarlo en porcentaje (Ec. 8).
EB [%] = (H° final - H° inicial) / PP período (Ec. 8)
Recuento e identificación de malezas
El método utilizado fue lanzar 10 veces un aro de 0,25 m2 y registrar la observación dentro del aro tanto en las parcelas con CC como en las de barbecho o sin CC.
Rendimiento y sus componentes
Se cosecharon todas las parcelas mecánicamente8 determinando el rendimiento y el contenido de humedad del material pesado a campo. Los rendimientos fueron corregidos a 14,5% de humedad para maíz y a 13,5% de humedad para soja.
8 En madurez fisiológica (MF), se cosecharon manualmente todas las plantas (maíz) de los dos surcos centrales y contiguos, a lo largo de 1.9 m, en 1 parcela por tratamiento.
2.3. Resultados. Campañas 2014/15 y 2015/16.
2.3.1. ¿Cuáles son las decisiones que más afectaron la productividad del CC?
Generar volúmenes de biomasa del CC, asegura el cumplimiento de los objetivos por los cuales se decide incorporarlo a la rotación agrícola, sean estos: mejorar el uso del agua en el sistema productivo, evitar la erosión del suelo, disminuir la presión de malezas, disminuir la lixiviación de nutrientes, mejorar la actividad biológica, etc.
Para los suelos de la zona centro de San Luis, con alta susceptibilidad a procesos erosivos, la cobertura de suelo es clave para producir en forma sustentable, ya que mejora la captación-retención de AU, evitando pérdidas por evaporación, escurrimiento y/o drenaje profundo.
En la Figura 2.2 se observa la variabilidad en la generación de biomasa aérea del CC, en las cuatro zonas productivas bajo estudio, durante dos campañas agrícolas, obtenida empíricamente (n=46). La producción media de materia seca (MS) para los datos analizados fue de 2876 kg/ha, independientemente de la fecha de secado del CC, la fecha de siembra del mismo, si tuvo o no fertilización, etc., registrándose como valores extremos 608 y 6531 kg MS/ha. Por tal variabilidad, es necesario conocer cuál es la medida de manejo de mayor impacto sobre la productividad del CC a los fines de lograr resultados satisfactorios que permitan solucionar o mejorar la problemática planteada según el sistema de producción.
Figura 2.2. Probabilidad acumulada de producción de biomasa de centeno (kg MS/ha) lograda en las cuatro zonas productivas durante las campañas 2014/15 y 2015/16.
2.3.1.1. Fechas de secado del Cultivo de Cobertura
En la Figura 2.3 se puede apreciar la producción de biomasa (kg/ha) del CC, generada en las distintas zonas productivas durante la campaña 2014/15, cuando el antecesor fue soja. En la zona 1, se destaca la alta productividad del centeno cuando fue secado tarde, debido a una mayor prolongación del ciclo de crecimiento del CC, período en el cual se registraron 50 mm de lluvia. En la zona 2, solo se registraron 149 kg MS/ha de aumento de biomasa por secar tarde, habiendo transcurrido aproximadamente un mes entre ambas fechas de secado y llovido 70 mm durante dicho período. Este resultado estaría indicando la potencialidad del ambiente. En la zona 3, la baja productividad de biomasa del centeno se debe principalmente al retraso de la siembra (junio), aunque el secado tardío permitió generar 500 kg MS/ha más respeto a la PFS. La zona 4, mostró un incremento de producción de biomasa por secar tarde, aunque poco significativo debido a la proximidad entre fechas de secado (15 días).

Figura 2.3. Producción media de MS (kg/ha) del centeno con antecesor soja al momento del secado temprano y secado tarde, según zonas productivas, durante la campaña 2014/15.
En la Figura 2.4, se observa la producción de biomasa (kg MS/ha) de centeno producida en la campaña 2015/16 cuando el antecesor fue maíz picado para silo, para las zonas productivas 1, 2 y 4. Claramente se puede apreciar que al secar el CC en fecha más tardía, se consiguen mayores producciones media de biomasa aérea respecto a lo producido en PFS, debido principalmente a la prolongación del ciclo de crecimiento del CC, independientemente de la zona productiva. Este aumento en la generación de
biomasa trae aparejado una mayor eficiencia en el uso del agua respecto al secado temprano, como se verá más adelante.
La alta producción media de biomasa generada en la zona 1, es atribuida al índice ambiental más que al momento del secado, aunque cabe aclarar que hubo sólo 16 días de diferencia entre PFS y SFS (retraso logístico de la SFS). En las dos zonas restantes, el período comprendido entre ambos secados superaba los 20 días, lo que permitió exponer al CC a una mejor oferta ambiental (lluvias + temperatura) y lograr altos incrementos de producción de MS al momento del segundo secado.
Figura 2.4 Producción media de MS (kg/ha) del centeno con antecesor maíz al momento del secado temprano y del secado tarde, según zonas productivas.
En la Figura 2.5, se observa la producción de biomasa (kg MS/ha) de centeno producida en la campaña 2015/16 cuando el antecesor fue soja, para las zonas productivas 1, 3 y 4. Dicha producción de biomasa aérea, fue menor en ambas fechas de secado y en las distintas zonas cuando el cultivo estival antecesor fue soja respecto al antecesor maíz, salvo al momento del segundo secado en zona cuatro. Con estos análisis se pudo estimar que a partir de la PFS, se lograron aumentos diarios de biomasa de 48, 31 y 69 kg MS/ha por día de retraso de la SFS para las zonas 1, 2 y 4 respectivamente, cuando el cultivo estival antecesor fue maíz. Cuando el antecesor fue soja, estos aumentos de MS diarios se incrementaron a 71 y 126 kg/ha por día de retraso del segundo secado a partir de la PFS, en las zonas 1 y 4 respectivamente.
Figura 2.5 Producción media de MS (kg/ha) del centeno con antecesor soja al momento del secado temprano y secado tarde, según zonas productivas.
Por otra parte, el efecto del momento de secado, se mantuvo en los residuos del CC al momento de la siembra de los CV, ya que los CC secados en PFS presentaron relaciones Tallo/Hoja más bajas que los CC secados tardíamente (Figura 2.6). Esto está asociado al estado fenológico del centeno en ambas fechas de secado (PFS: hoja bandera, SFS: espigazón), con lo cual, estados avanzados de desarrollo del CC favorecen la estabilidad de los residuos de CC en el suelo, permaneciendo cubierto por más tiempo (Figura 2.7).
Figura 2.6 Relación Tallo/Hoja del centeno utilizado como CC en dos momentos de secado para las secuencias A) soja-CC-maíz y B) maíz-CC-soja en las zonas productivas bajo estudio (Campaña 2015/16).
Figura 2.7 Residuos de CC A) secado temprano y B) secado tarde, al momento de la siembra del maíz (Zona 1. Campaña 2015/16). Residuos de CC C) secado temprano y D) secado tarde al momento de la siembra de la soja (Zona 4. Campaña 2015/16).
En relación a la biomasa de CC generada y la EUA, se puede observar que al secarlo en fecha más tardía el CC produjo más biomasa y con mayor eficiencia, en las distintas zonas bajo estudio durante las dos campañas evaluadas y para ambas secuencias agrícolas. Las EUA registradas en el primer estrato de suelo (0-1 m) para la secuencia soja-CC-maíz (campaña 2014/15), fueron 11 y 13 kg MS/ha cuando el CC se secó temprano en la zona 1 y 4 respectivamente (Figura 2.8 A y 2.9 A), mientras que en la campaña siguiente las EUA registradas para la misma fecha de secado del CC fueron de 13 y 6 kg MS/mm en zona 1 y 4 respectivamente (Figuras 2.8 B y 2.9 B). Al momento del secado tardío en cambio, las EUA fueron 44 y 17 kg MS/ha (campaña 2014/15) en zona 1 y 4 respectivamente (Figuras 2.8 A y 2.9 A) y en la campaña 2015/16 de 20 y 23 kg MS/mm en dichas zonas respectivamente (Figuras 2.8 B y 2.9 B).




Figura 2.8. Producción de biomasa (kg MS/ha) y eficiencia en el uso del agua (EUA) del centeno, para las secuencias A) soja-CC-maíz (Campaña 2014/15), B) soja-CC-maíz (Campaña 2015/16) y C) maíz-CC-soja (Campaña 2015/16). Zona 1. (Profundidad: 0-1 m).
Referencias:
A) E= CC fertilizado secado temprano; D= CC fertilizado secado tarde y F= CC sin fertilizar secado tarde.
B) E= CC sin fertilizar secado temprano; D= CC sin fertilizar secado tarde y F= CC fertilizado secado tarde.
C) E= CC secado temprano y D= CC secado tarde.
Figura 2.9. Producción de biomasa (kg MS/ha) y eficiencia en el uso del agua (EUA) del centeno, para las secuencias A) soja-CC-maíz (Campaña 2014/15), B) soja-CC-maíz (Campaña 2015/16) y C) maíz-CC-soja (Campaña 2015/16). Zona 4 (Profundidad: 0-1 m).
Referencias:
A) y B) E= CC fertilizado secado temprano; D= CC fertilizado secado tarde y F= CC sin fertilizar secado tarde.
C) E= CC secado temprano y D= CC secado tarde.
Para la secuencia maíz-CC-soja (Campaña 2015/16), las EUA del centeno secado temprano fueron 54, 17 y 7 kg MS/mm en zona 1, 2 y 4 respectivamente (Figuras 2.8 C, 2.10 A y 2.9 C) mientras que al secarse tarde las eficiencias logradas fueron 84, 20, 19 y 15 kg MS/mm para las zonas 1, 2, 3 y 4 respectivamente (Figuras 2.8 C, 2.10 A, 2.10 B y 2.9 C). Esta variación en la EUA fue mucho más amplia que la encontrada por Scianca et al. (2009) de entre 54 y 21 kg MS/mm para el cultivo de centeno.
Figura 2.10. Producción de biomasa (kg MS/ha) y eficiencia en el uso del agua (EUA) del centeno para las secuencias A) maíz-CC-soja y B) soja-CC-maíz, en zona 2 y 3 respectivamente. Campaña 2015/16 (Profundidad: 0-1 m)
Referencias:
A) E= CC secado temprano y D= CC secado tarde
B) D= CC fertilizado secado tarde y F= CC sin fertilizar secado tarde.
2.3.1.2. Fertilización nitrogenada
El centeno de la secuencia soja-CC-maíz (Campaña 2015/16) recibió una fertilización nitrogenada previa al macollaje en la zona 1 de 100 kg Urea (46 kg N/ha), parcela identificada como F. En zona 3 y 4 en cambio, se fertilizó al momento de la siembra todo el ensayo salvo una parcela identificada como F, con 91 y 90 kg Urea en las zonas 3 y 4 respectivamente. Si bien el contenido inicial de N en el estrato de 0-60 cm al momento de la siembra del CC fue bajo en las 3 zonas (50.25, 34.02 y 26,68 kg N/ha para las zonas 1, 3 y 4 respectivamente), no se encontró una respuesta favorable en cuanto a la producción de biomasa y la EUA del centeno que fue fertilizado (Figuras 2.8 B, 2.9 B y 2.10 B). Con lo cual, se espera que el aporte de N por la incorporación del CC fertilizado, produzca mayores rendimientos en el cultivo de maíz siguiente. En la campaña 2014/15 en cambio, se pudo observar una respuesta a la fertilización nitrogenada (mayor producción de MS y EUA) (Figuras 2.8 A y 2.9 A), probablemente por contenidos iniciales de N más bajos 46 y 14.79 kg N/ha en las zonas 1 y 4 respectivamente.
2.3.1.3. Fecha de siembra del Cultivo de Cobertura
El momento de siembra del CC es crucial para definir altas producciones de MS y asegurarnos un stand de plantas (mejores condiciones de temperatura y humedad del suelo), para dejar una buena cobertura de suelo al momento del secado del CC. En la Figura 2.11 se observa una tendencia decreciente de producción de biomasa del CC a medida que la fecha de siembra se retrasa, en ambas secuencia de cultivo y para las 4 zonas evaluadas, durante la campaña 2015/16. Ese mismo comportamiento se registró en la campaña 2014/15, donde la producción de biomasa del CC decrecía con el retraso de la siembra. Por lo tanto sembrar tarde un CC tiene como inconvenientes: a) la reducción en el número de plantas logradas, generando manchones que luego pueden ser ocupados por malezas; b) menor tasa de crecimiento del CC que evita cubrir rápidamente el entresurco, afectando la eficiencia de captura-retención de agua y c) retraso en la fenología del CC (especialmente encañado-espigazón), lo cual puede interferir en la decisión del momento a secar.

Figura 2.11. Producción de biomasa (kg MS/ha) según fecha de siembra del CC al momento del secado tardío en las secuencias soja-CC-maíz y maíz-CC-soja en las cuatro zonas bajo estudio (Campaña 2015/16)
2.3.2. ¿Qué impacto tuvo la inclusión del CC sobre los rendimientos de los cultivos siguientes?
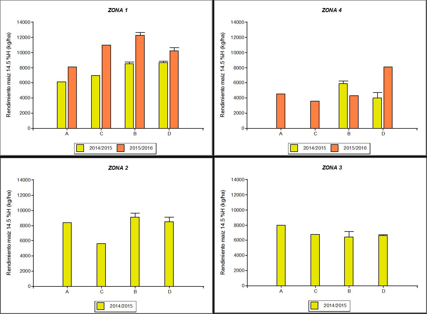
Cultivo de Maíz
En la campaña 2014/15, la zona 1 obtuvo rendimientos inferiores a los 7000 kg/ha cuando los maíces se sembraron en fecha temprana, mientras que en fecha tardía no se superaron los 9000 kg/ha (Figura 2.12). Dicha merma de rendimiento se debió al daño severo por granizo que sufrió el cultivo en varias ocasiones a lo largo de su ciclo, comprometiendo el llenado efectivo de los granos (los maíces tardíos pudieron recuperarse más rápidamente, por ser dañados en etapas tempranas de desarrollo).Sin embargo, en la campaña siguiente e independientemente del tratamiento con y sin CC, los rendimientos alcanzados estuvieron acordes al potencial de la zona, siendo estos superiores a los 8000 kg/ha (Figura 2.12). En la campaña 2015/16 el maíz tardío sin CC obtuvo un rendimiento medio de 12282 kg/ha (con una variabilidad de rendimiento de 579 kg/ha), superando en 2064 kg/ha al rendimiento medio alcanzado por el maíz tardío con CC (Figura 2.13). Esta diferencia de rendimiento puede estar asociada a una limitación de N, la cual se evidencia por el amarillamiento de las hojas basales, producto de la translocación de N hacia las hojas más jóvenes (síntoma más pronunciado en el tratamiento con CC) (Figura 2.14). Para los maíces sembrados en fecha temprana, se observó un mejor comportamiento del maíz con CC, el cual rindió 10985 kg/ha vs. el maíz sin CC que alcanzó los 8079 kg/ha (Figura 2.12). Este resultado permite pensar como
estrategia factible de manejo, a la siembra de un maíz temprano luego de un CC en la zona 1.
Figura 2.12. Rendimiento de maíz (kg/ha) sembrado temprano sin CC (A) y con CC secado tarde (C); y maíz sembrado tarde sin CC (B) y con CC secado tarde (D), durante las campañas 2014/15 y 2015/16.
Durante la campaña 2014/15, en el otro extremo del gradiente hídrico evaluado por la Chacra San Luis (zona 4), el maíz temprano no pudo sembrarse por falta de humedad en el perfil del suelo (Figura 2.12). Allí, el maíz tardío sin CC alcanzó un rendimiento medio de 5918 kg/ha (con una variabilidad de rendimiento de 498 kg/ha), superando al maíz antecedido por el CC que rindió 4031 kg/ha en promedio, el cual registró un máximo de 5460 kg/ha y un mínimo de 3168 kg/ha. En la campaña 2015/16, los rendimientos logrados fueron de 4551 kg/ha en maíces sin CC y de 3606 kg/ha en maíces con CC sembrados en fecha temprana. Los rendimientos obtenidos en los maíces tardíos, corresponden a cosechas manuales efectuadas durante el muestreo de MF del cultivo, debido a que dichas parcelas fueron cosechadas mecánicamente con el resto del lote, antes de cosechar el ensayo propiamente dicho. Con la cosecha manual, el maíz tardío
sin CC rindió 4335 kg/ha, mientras que el maíz con CC alcanzó los 8100 kg/ha (Figura 2.12). Salvo la situación anterior, la zona 4 muestra un mejor comportamiento en aquellos maíces que vienen de un barbecho de soja, respecto a los antecedidos por el CC. Sin embargo, la incorporación del CC a la rotación agrícola habitual de la zona, no debe desestimarse sin antes conocer la dinámica del agua, que puede contribuir a un manejo sustentable del ambiente, reduciendo los procesos erosivos de los suelos.
2.13. Estimación de rendimiento de maíz (kg/ha) sembrado tarde, para los tratamientos sin CC y con CC secado tarde. (Campaña 2015/16).
2.14. Síntoma de deficiencia de N en maíces sembrados tarde A) sin CC y B) con CC, al momento del cuaje de los granos. (Campaña 2015/16).
Figura
Figura
En la Figura 2.12 (zona 2), se puede observar que el maíz (independientemente de su fecha de siembra), obtuvo rendimientos menores con CC. Sobre los maíces tempranos se observó un mayor daño foliar por efecto del viento, durante el período crítico. La mayor disparidad de rendimiento de maíz se dio en fecha temprana (2790 kg/ha a favor del maíz sin CC), registrándose visualmente, un severo estrés hídrico sobre el maíz con CC, en el estado fenológico de grano lechoso (R3). El maíz tardío sin CC obtuvo un rendimiento medio de 9110 kg/ha (con una variabilidad de rendimiento de 888 kg/ha), mientras que el maíz tardío con CC rindió en promedio 8494 kg/ha (con una variabilidad de rendimiento de 1000 kg/ha).
Finalmente en la zona 3 (Figura 2.12), se registraron rendimientos medios entre 6445 y 6800 kg/ha independientemente del tratamiento, salvo cuando el maíz se sembró temprano sin CC, donde el rendimiento fue mayor alcanzando los 7958 kg/ha. Cabe mencionar, que este ensayo se caracterizó por la baja productividad del CC (siembra muy tardía del centeno), quedando el suelo prácticamente desnudo a la siembra del maíz tardío, tanto en las parcelas con CC secado temprano como con CC secado tarde.
Cultivo de Soja
En la Figura 2.13, se muestran los rendimientos de soja techo y piso obtenidos en la campaña 2015/16, en las zonas 1, 2 y 4.
Figura 2.13 Rendimiento de soja (kg/ha) techo, sin CC (A) y con CC secado tarde (C); y soja piso sin CC (B) y con CC secado tarde (D), durante la campaña 2015/16.
En la zona 1, las sojas con CC tuvieron un mejor comportamiento respecto a las sojas sin CC. El porte alcanzado por las plantas fue destacable (tanto en las sojas techo como las sojas piso), habiéndose volcado las mismas por su propio peso. La soja techo sin CC rindió 4000 kg/ha y con CC 4648 kg/ha; mientras la soja piso sin CC alcanzó un rendimiento medio de 4429 kg/ha y con CC 4965 kg/ha, con una variabilidad de rendimiento de 302 y 345 kg/ha respectivamente.
En la zona 4, la fecha de siembra de la soja techo se vio retrasada por cuestiones logísticas, resultando 5 días de diferencia entre la siembra de la soja techo y la soja piso.
En este ensayo, los rendimientos obtenidos en los diferentes tratamientos fueron muy similares entre sí, logrando 4544 y 4589 kg/ha la soja techo sin CC y con CC respectivamente, mientras que la soja piso tuvo un rendimiento medio de 4696 y 4577 kg/ha sin CC y con CC respectivamente (la variabilidad de rendimiento obtenida fue de 172 kg/ha en la soja piso sin CC y de 35 kg/ha en la soja piso con CC).
Por último en el ensayo de la zona 2, la soja techo fue descartada por haberse resembrado (bajo poder germinativo de la semilla empleada). Sin embargo, las parcelas fueron cosechadas para registrar alguna diferencia entre el tratamiento con y sin CC. Los bajos rendimientos obtenidos en todo el ensayo, se debió principalmente al daño severo provocado por granizo, en un estado de desarrollo avanzado de las plantas. Respecto a las sojas piso, los rendimientos medios logrados fueron 2285 y 2203 kg/ha sin y con CC respectivamente, con una variabilidad de rendimiento de 105 kg/ha para ambos tratamientos.
2.3.3. ¿Logramos recargar y conservar más agua para el cultivo de cosecha incluyendo CC en los esquemas actuales? Campaña 2015/16.
ZONA PRODUCTIVA 1
En la Figura 2.14 se presentan los contenidos medios de agua útil (AU) del suelo hasta dos metros de profundidad y en diferentes momentos (comprendidos desde la siembra del cultivo de cobertura hasta la siembra de los cultivos de verano), correspondientes a dos secuencias agrícolas en la zona productiva 1.
Figura 2.14. Contenidos medios de AU (mm) al momento de la siembra del CC, del secado en hoja bandera (1° secado), del secado en espigazón (2° secado) y a la siembra de los CV sucesores en las secuencias i) soja-CC-maíz y ii) maíz-CC-soja. (Profundidad: 0-2 m)
Referencias: (B) barbecho; (E) CC secado temprano y (D) CC secado tarde.
Los contenidos de AU al momento de la siembra del cultivo de verano (CV), presentaron diferencias entre tratamientos. En ambas secuencias el CC secado temprano (E) presentó un contenido de AU mayor comparado con el secado tardío (D). Comparando las fechas de secado con la situación de barbecho (B), se observa que el secado tardío nunca llegó a alcanzar los niveles de AU de la situación de barbecho, generando un costo hídrico. En cambio, el secado temprano en la secuencia soja-CC-maíz, logró mayores niveles de AU que B ofreciendo la mayor oferta de AU para el CV, donde los efectos positivos (mayor captura y conservación de agua) se expresaron superando el consumo. Esto puede ser explicado por el significativo aumento en el consumo de agua en la situación de secado tardío (prolongación del ciclo de crecimiento), no compensado por un aumento en la captura de agua y conservación de la misma.
¿Qué pasó al metro de profundidad de suelo?
Los resultados variaron analizando solo el primer metro de profundidad de suelo. En la Figura 2.15, se presentan los contenidos medios de AU en el primer metro de profundidad, desde la siembra del CC hasta la siembra de los CV, correspondientes a las dos secuencias evaluadas de la zona productiva 1. En ambas secuencias agrícolas, el barbecho presentó mayor cantidad de agua útil respecto a los tratamientos con CC, al momento de la primera fecha de secado (PFS) en agosto y segunda fecha (SFS) en septiembre, encontrándose que en la PFS el CC consumió prácticamente toda el agua disponible que contenía el suelo cuando tuvo por antecesor el cultivo de maíz. Sin i ii
embargo, a la siembra de los CV el barbecho tuvo menos cantidad de agua útil que los tratamientos con CC, es decir que la generación de cobertura permitió maximizar las entradas de agua y minimizar las pérdidas, resultando en una mayor oferta hídrica al CV cuando se incluyó el CC. Este menor contenido hídrico en el B, podría atribuirse a una mayor tasa de evaporación directa desde el suelo causada por la mayor temperatura que este adquiere por tener menos cobertura (Fernández et al. 2006 y 2008) y a una menor eficiencia de captura del agua ofertada.
Estos resultados sugieren que (para las condiciones evaluadas) la inclusión de CC, logra capturar y conservar mayores niveles de AU disponible a la siembra del CV con respecto al B en el primer metro de profundidad de suelo.
Figura 2.15 Contenidos medios de AU (mm) al momento de la siembra del CC, del secado en hoja bandera (1° secado), del secado en espigazón (2° secado) y a la siembra de los cultivos de verano sucesores en las secuencias i) soja-CC-maíz y ii) maíz-CC-soja, en zona productiva 1 (Profundidad: 0-1 m)
Referencias: (B) barbecho; (E) CC secado temprano y (D) CC secado tarde.
¿Cuánto cuesta hídricamente realizar un CC?
El costo hídrico (CH) de realizar un CC, considerado como la diferencia entre el nivel de AU de la situación B y las situaciones de CC al momento de la siembra del CV, varío entre fechas de secado y secuencias agrícolas (Figura 2.16). En la secuencia maíz-CC-soja el costo hídrico fue de 6 y 23 mm hasta los 2 m de profundidad, para la situación de secado en hoja bandera (PFS) y secado en espigazón (SFS) respectivamente. Mientras que en la secuencia soja-CC-maíz, el costo hídrico del CC secado tardío fue de 11 mm y en el secado temprano fue de 17 mm negativos, es decir que en este último planteo se logró acumular 17 mm más de AU que la situación de barbecho y 28 mm más de AU que el secado tardío para la misma secuencia. i ii
Figura 2.16 Costo hídrico del CC al momento de la siembra de los CV según fecha de secado para las secuencias soja-CC-maíz y maíz-CC-soja. Zona 1. (Profundidad: 0-2 m)
¿Cómo fue el CH y la dinámica del agua según periodos y estratos?
Periodo siembra del CC – secado del CC
Se evidencian diferencias entre el contenido de AU del barbecho respecto al CC, al momento de los secados (Costo Hídrico al momento del secado), las cuales variaron en magnitud según el cultivo antecesor estival y la profundidad de suelo considerada. En la secuencia soja-CC-maíz (Figura 2.17 i), se obtuvo un CH de 8 mm con el secado temprano en el primer metro de profundidad El CH en la SFS fue de 29, 65 y 69 mm en los estratos 0-1 m, 0-2 m y 0-2.8 m de suelo respectivamente. Valores superiores de CH se registraron en la secuencia maíz-CC-soja (Figura 2.17 ii) respecto a la secuencia con antecesor soja, aumentando a mayor profundidad de suelo independientemente de la fecha de secado. Los valores registrados para la PFS en el 1°, 2° y 3° estrato de suelo fueron 64, 79 y 98 mm respectivamente, mientras que en SFS los CH alcanzados fueron 17, 116 y 134 mm en el 1°, 2° y 3° estrato respectivamente. En el primer metro se observa un mayor CH secando el CC temprano debido a que el barbecho perdió 22 mm de agua desde el primer al segundo secado. ¿Qué surge de este análisis? Al aumentar la profundidad de evaluación los CH son mayores probablemente porque en el primer estrato tenga más efectos positivos el CC. El mayor costo hídrico se produce del primer metro al segundo, posiblemente porque el CC consume agua de dicho estrato y no permite que el perfil se recargue. Por otra parte, el secado tardío siempre fue más costoso hídricamente que el temprano, debido a que los efectos positivos no compensaron el consumo



Figura 2.17. Costo hídrico (mm) del CC para cada momento de secado por estrato de suelo (0-1 m, 0-2 m y 02.8 m) para las secuencias i) soja-CC-maíz y ii) maíz-CC-soja. Zona 1.
En la Figura 2.18 se observa el contenido volumétrico de agua hasta los 2.8 m de profundidad para la secuencia soja-CC-maíz, al momento de la siembra del CC y en ambas fecha de secado, para los tratamientos con CC y sin CC. Al momento de secado temprano se observa que el contenido hídrico del barbecho, fue similar al de la siembra del centeno en los primeros 40 cm de suelo, mientras que con CC el agua disponible disminuyó por el consumo generado (Figura 2.18 A). En el segundo metro de suelo en cambio, se registró una diferencia entre los contenidos hídricos del B y el CC de 20 mm a favor del CC, siendo incluso 10 mm superior a lo almacenado al momento de la siembra del centeno. Las precipitaciones entre la siembra del CC y el secado temprano fueron de 45 mm.
Figura 2.18. Contenido volumétrico medio de AU en el perfil de suelo para los tratamientos con CC y sin CC al momento del A) secado temprano y B) secado tardío, para la secuencia soja-CC-maíz. Zona 1. i ii A B
Durante el ciclo del CC secado en la fecha más tardía (Figura 2.18 B), se registraron 181 mm de lluvias totales, de las cuales 136 mm se concentraron entre septiembre y octubre. Estas precipitaciones permitieron una recarga superficial del perfil superior al contenido hídrico inicial, tanto en el barbecho como en el tratamiento con CC. . El centeno secado tarde consumió a lo largo de su ciclo de crecimiento, 181 mm de AU hasta los 2 m de profundidad, mientras que en el barbecho se perdieron 116 mm de AU fuera del sistema. Por debajo de los 2 m no se observaron diferencias en los contenidos de AU entre el barbecho y el CC.
En la Figura 2.19, se observa los contenidos volumétricos de agua en los tres estratos de suelo para la secuencia maíz-CC-soja, durante ambas fecha de secado para el tratamiento con CC y sin CC, en la zona 1.
A la siembra del CC, el suelo se encontraba cercano al 70 % de su capacidad máxima de retención con 213 mm de AU (0-2.8 m). Desde la siembra del CC hasta la PFS, se registraron 45 mm de precipitaciones correspondientes a la última lluvia invernal, que permitieron la recarga de los 40 cm superficiales de suelo (Figura 2.19 A). No obstante, ambos tratamientos (con y sin CC) mostraron una reducción en el contenido de agua por debajo del medio metro, siendo mayor esta reducción por el consumo del CC. Al momento del secado tardío, el CC presentó menores niveles hídricos que B a lo largo de todo el perfil (Figura 2.19 B), debido a la prolongación del ciclo de crecimiento. Desde la primera a la segunda fecha de secado, llovieron 136 mm que no fueron suficientes para que en los tratamientos con CC se alcanzara el nivel hídrico inicial, situación que si se logró con el barbecho a nivel superficial.
Sintetizando, podríamos decir que teniendo en cuenta los dos primeros metros del perfil, existe un costo hídrico evaluando un periodo desde la siembra del CC hasta la fecha de secado del mismo salvo en la secuencia soja-CC-maíz. Estos costos se acrecentaron en las situaciones de secado tardío y a medida que el análisis incluye más profundidad de suelo.
Figura 2.19 Contenido volumétrico medio de AU en el perfil de suelo para los tratamientos con CC y sin CC al momento del A) secado temprano y B) secado tardío, para la secuencia maíz-CC-soja. Zona 1.
Período secado del CC - siembra del CV
El siguiente análisis pretende describir que pasó en el periodo comprendido entre secado del CC y la siembra del CV, para verificar si la cobertura generada logra reponer o aumentar la oferta de agua para el CV siguiente.
i ii
Figura 2.20. Contenido volumétrico medio de AU en el perfil de suelo para los tratamientos con CC y sin CC al momento de la fecha de siembra del CV para la secuencia i) soja-CC-maíz y ii) maíz-CC-soja, en Zona 1.
Secuencia soja-CC-maíz: con las precipitaciones ocurridas durante los períodos de barbecho intermedio y corto (períodos comprendidos entre la PFS del CC y la siembra del CV y entre la SFS del CC y la siembra del CV) de 273 y 137 mm respectivamente, se logró una recarga del perfil de suelo previo a la siembra del cultivo de cosecha, causa por la cual no se registró un costo hídrico, es decir una disminución en el contenido de AU para el CV por haber incluido un CC (Figura 2.20 i). El tratamiento con CC, llegó a la siembra del maíz tardío con 7 y 4 mm más que el tratamiento sin CC cuando fue secado en fecha temprana y tardía respectivamente. Mientras que hasta los 2 m de profundidad, se registró un CH de 11 mm sobre el CC secado tarde.
Secuencia maíz-CC-soja: del mismo modo que para la secuencia soja-CC-maíz, en esta secuencia se logró una recarga del perfil del suelo previo a la siembra del cultivo de verano, evitando el costo hídrico en el primer metro por haber incluido CC (Figura 2.20 ii), con valores de 11 y 7 mm más de AU a favor del centeno secado temprano y tarde respectivamente. En cambio, hasta el segundo metro se encontró un CH de 6 y 23 mm de AU para los tratamientos con CC tanto en PFS como SFS, respectivamente
Eficiencias de Barbecho
Para analizar este período se calcularon las eficiencias de barbecho (EB) para cada situación. Este concepto se refiere a qué proporción de lluvias fue almacenada en el perfil de suelo y está disponible para el CV al momento de su siembra
En la Figura 2.21 se ilustran las EB, para los tratamientos con CC secado tarde, secado temprano y barbecho en las secuencias soja-CC-maíz y maíz-CC-soja. Cabe mencionar que para el tratamiento barbecho, se consideró el período desde siembra del CC a siembra del CV a los fines de calcular su eficiencia.
Cuando el antecesor al CC fue el maíz, se observó niveles de EB mayores tanto en ambas fechas de secado como en la situación barbecho, respecto al antecesor soja. Los valores más altos de EB se registraron con el tratamiento CC secado tarde para ambas secuencias, alcanzando valores de 63 y 49 % para las secuencias maíz-CC-soja y soja-CC-maíz respectivamente. Para el caso del secado temprano, la EB fue de 49 % en la secuencia maíz-CC-soja y de 34 % en la secuencia soja-CC-maíz. Los barbechos tuvieron las eficiencias más bajas, presentando valores de 27 y 25 % en las secuencias maíz-CC-soja y soja-CC-maíz, respectivamente. Estos resultados se asocian positivamente con la cantidad de biomasa generada en cada situación (datos no
mostrados en esta sección). Posiblemente el secado tardío al generar mayores niveles de cobertura aumentó la infiltración del agua ofertada por las precipitaciones y evitó las pérdidas por evaporación.
Figura 2.21 Eficiencia de barbecho de los tratamientos con CC secado temprano, con CC secado tarde y sin CC, para las secuencias soja-CC-maíz y maíz-CC-soja. Zona 1. (Profundidad: 0-2 m)
Es de suma importancia remarcar que si bien se logró una mayor EB en la situación de secado tardío no se logró llegar al contenido hídrico de la situación de barbecho en ninguna secuencia, quedando menos agua disponible para el CV. Para el caso del secado temprano, esta estrategia si logró alcanzar y superar el nivel hídrico observado en la situación de barbecho, ofertando 17 mm más de AU al CV (Figura 3). El barbecho solo logró capturar el 25 % del total de las lluvias durante todo el periodo en ambas secuencias agrícolas, totalizando 279 mm de agua perdidos en la secuencia soja-CC-maíz y 251 mm en la secuencia maíz-CC-soja.
ZONA PRODUCTIVA 4
En la Figura 2.22 se presentan los contenidos medios de agua útil (AU) del suelo hasta dos metros de profundidad y en diferentes momentos (comprendidos desde la siembra del cultivo de cobertura hasta la siembra de los cultivos de verano), correspondientes a dos secuencias agrícolas en la zona productiva 4.
Figura 2.22. Contenidos medios de AU (mm) al momento de la siembra del CC, del secado en hoja bandera (1° secado), del secado en espigazón (2° secado) y a la siembra de los CV sucesores en las secuencias i) soja-CC-maíz y ii) maíz-CC-soja. (Profundidad: 0-2 m)
Referencias: (B) barbecho; (E) CC secado temprano y (D) CC secado tarde.
El contenido de AU (mm) al momento de la siembra del CV, mostró diferencias entre los tratamientos con CC y la situación barbecho, para ambas secuencias agrícolas. Estas diferencias se tradujeron en costos hídricos, independientemente de la fecha de secado del CC, con valores de mayor magnitud en la secuencia soja-CC-maíz. A pesar del mayor consumo hídrico del CC secado tarde (debido a la prolongación del ciclo de crecimiento), para la secuencia maíz-CC-soja, se observa que éste llega a la siembra del CV con más contenido de AU respecto al CC secado temprano, posiblemente atribuido a una cobertura de suelo más estable (alta relación Tallo/Hoja), que favorece la captura y la conservación del agua en el suelo.
Durante el período comprendido entre siembra y secado del CC, se observa que el barbecho presentó en ambas secuencias agrícolas mayor contenido de AU en el suelo respecto al CC (tanto para PFS como SFS), debido al consumo por parte del CC. En la secuencia soja-CC-maíz el CC llegó a niveles de contenido hídricos cercanos a PMP, situación no observada para la secuencia maíz-CC-soja por partir con el perfil más cargado de agua.
¿Qué pasó al metro de profundidad de suelo?
En la secuencia soja-CC-maíz, el contenido hídrico inicial del suelo fue 54 % de su capacidad máxima de retención con 50 mm de AU. Durante ambas fechas de secado, el barbecho presentó mayor contenido de AU respecto al CC (Figura 2.23 i). Al momento del secado temprano, el CC consumió toda el agua disponible alcanzando valores cercanos
al PMP, situación que pudo revertirse al menos superficialmente en la SFS, con la ocurrencia de 61 mm de lluvias totales durante el período comprendido entre ambos secados. A la siembra del CV, hubo un costo hídrico insignificante de 6 y 4 mm al momento de la PFS y la SFS, respectivamente, lo que indica que la recarga del perfil al metro de profundidad es factible.
Figura 2.23. Contenidos medios de AU (mm) al momento de la siembra del CC, del secado en hoja bandera (1° secado), del secado en espigazón (2° secado) y a la siembra de los cultivos de verano sucesores en las secuencias i) soja-CC-maíz y ii) maíz-CC-soja, en zona productiva 4 (Profundidad: 0-1 m)
Referencias: (B) barbecho; (E) CC secado temprano y (D) CC secado tarde
En la secuencia maíz-CC-soja (Figura 2.23 ii), el barbecho almacenó más AU durante ambas fechas de secado, encontrándose que al momento del primer secado, el CC consumió prácticamente toda el AU del suelo. A la siembra de la soja piso, no se registraron valores de CH en el estrato de 0-1 m, por lo cual el tratamiento CC secado temprano pudo almacenar 9 mm más de AU que el barbecho y 6 mm más que el tratamiento CC secado tarde, al momento de la siembra de la soja.
Estos resultados sugieren que (para las condiciones evaluadas) la inclusión de CC, no es viable por no lograrse captar y conservar mayores niveles de AU disponible a la siembra del CV con respecto al B, salvo si se considera solo el primer metro de suelo, independientemente del cultivo estival antecesor.
¿Cuánto cuesta hídricamente realizar un CC?
El costo hídrico (CH) de realizar un CC, considerado como la diferencia entre el nivel de AU de la situación B y las situaciones de CC al momento de la siembra del CV, varío entre fechas de secado y secuencias agrícolas (Figura 2.24). En la secuencia soja-CC-maíz el costo hídrico fue de 65 y 69 mm hasta los 2 m de profundidad, para la situación de secado i ii
en hoja bandera (PFS) y secado en espigazón (SFS) respectivamente. Mientras que en la secuencia maíz-CC-soja, el costo hídrico del CC fue de 42 mm y 34 mm cuando fue secado en PFS y SFS respectivamente.
Figura 2.24. Costo hídrico del CC al momento de la siembra de los CV según fecha de secado para las secuencias soja-CC-maíz y maíz-CC-soja. Zona 4. (Profundidad: 0-2 m)
¿Cómo fue el CH y la dinámica del agua según periodos y estratos?
Periodo siembra del CC – secado del CC
Se evidencian diferencias entre el contenido de AU del barbecho respecto al CC, al momento de los secados (Costo Hídrico al momento del secado), las cuales variaron en magnitud según el cultivo antecesor estival y la profundidad de suelo considerada En la secuencia soja-CC-maíz los valores registrados fueron 62, 96 y 102 mm cuando el CC se secó en fecha temprana y de 66, 109 y 127 mm cuando se lo secó en la fecha más tardía, en los estratos 0-1m, 0-2m y 0-2.8m respectivamente (Figura 2.25 i). Por otra parte, se observó que el barbecho se encontró con mayor contenido de AU respecto a los tratamientos con CC al momento de la siembra del maíz tardío (Figura 2.23 i), lo cual indica un CH de 6 mm para el centeno secado temprano y 4 mm para el centeno secado tarde en el primer metro de suelo. Estos valores, son inferiores a los 30 mm reportados por Fernández et al. (2007), e incluso inferiores a los 15 mm indicados por Sáenz y Colazo (2013) para la zona de Villa Mercedes (San Luis).



Figura 2.25 Costo hídrico (mm) del CC para cada momento de secado por estrato de suelo (0-1 m, 0-2 m y 02.8 m) para las secuencias i) soja-CC-maíz y ii) maíz-CC-soja. Zona 4
En la secuencia maíz-CC-soja, los CH registrados al momento de los secados fueron 53 y 43 mm para el CC secado temprano y tarde respectivamente en el primer metro de suelo, aumentando sus valores al considerar los 2 m de profundidad (Figura 2.25 ii). Estos valores de CH hallados en el estrato 0-2 m fueron de 61 y 81 mm para el CC secado en PFS y SFS respectivamente y de 59 y 92 mm cuando se consideró el estrato 0-2.8 m de suelo.
De este análisis se observa que al aumentar la profundidad de evaluación, los CH son mayores probablemente porque en el primer estrato tenga más efectos positivos el CC.
Por otra parte, el secado tardío siempre fue más costoso hídricamente que el temprano, debido a que los efectos positivos no compensaron el consumo, salvo en el primer metro de suelo de la secuencia maíz-CC-soja (Figura 2.25 ii).
En la Figura 13 se observa el contenido volumétrico de agua hasta los 2.8 m de profundidad para la secuencia soja-CC-maíz, al momento de la siembra del CC y en ambas fecha de secado, para los tratamientos con CC y sin CC.
Al momento de secado temprano se observa que el contenido hídrico del barbecho, fue similar al de la siembra del centeno en el primer metro de suelo, registrándose una recarga en el B por debajo del metro de suelo. En el tratamiento con CC, el agua disponible disminuyó considerablemente hasta los 2.8 m de suelo por el consumo generado (Figura 2.26 A), alcanzando valores cercanos a PMP. En el estrato de 0-2 m el CC secado temprano consumió 108 mm de AU, mientras que del B se perdieron 13 mm de AU fuera del sistema. Las precipitaciones ocurridas entre la siembra del centeno y la PFS fueron de 35 mm. Con 61 mm más de lluvias entre la PFS y la SFS, se logró recargar superficialmente el perfil de suelo en los primeros 50 cm, pero al momento del segundo
secado el CC no alcanzó a superar el contenido hídrico del B (Figura 2.26 B), acusando un CH en todos los estratos evaluados (0-1 m , 0-2 m y 0-2.8 m). Al momento de la SFS, el CC consumió 145 mm de AU y el barbecho pierde fuera del sistema 36 mm.
Figura 2.26. Contenido volumétrico medio de AU en el perfil de suelo para los tratamientos con CC y sin CC al momento del A) secado temprano y B) secado tardío, para la secuencia soja-CC-maíz. Zona 4
En resumen, con valores en PMP hallados en el estrato 0-1 m (en PFS y SFS) se genera un riesgo productivo, ya que en caso de no ocurrir precipitaciones que permitan la recarga de este estrato, se verá comprometida la imbibición de las semillas del CV para su germinación y en caso de superar dicho proceso, las pequeñas raíces no podrán hacer uso del agua acumulada en las capas inferiores.
En la Figura 2.27, se observa los contenidos volumétricos de agua en los tres estratos de suelo para la secuencia maíz-CC-soja, durante ambas fecha de secado para el tratamiento con CC y sin CC, en la zona 4
Figura 2.27. Contenido volumétrico medio de AU en el perfil de suelo para los tratamientos con CC y sin CC al momento del A) secado temprano y B) secado tardío, para la secuencia maíz-CC-soja. Zona 4
En la secuencia maíz-CC-soja, el CC parte con el perfil completamente cargado de agua, es decir con el 96 % de su capacidad máxima de retención, con 191 mm de AU (0-2.8 m), mientras que solo en el primer metro de suelo el contenido hídrico inicial fue del 74% con 68 mm de AU. Las precipitaciones ocurridas durante el ciclo corto del centeno (FScentenoPFS) fueron 35 mm, mientras que durante el ciclo largo (FScenteno- SFS) fueron 101 mm. El barbecho almacenó más agua útil durante ambas fechas de secado, llegando a valores similares de contenido hídrico al momento de la SFS con respecto al AU disponible a la siembra del centeno (Figura 2.27 B). El CC consumió 148 y 185 mm en la primera y segunda fecha de secado respectivamente, en los 2 m de profundidad y el B perdió 87 y 104 mm fuera del sistema en el mismo estrato de suelo
En síntesis, se evidencia un CH en el período comprendido entre siembra del CC y fechas de secado, al considerar los 2 m de profundidad de suelo. El CH se incrementa con la profundidad pero independientemente del momento de secado. En la secuencia maíz-CCsoja el CH se vio anulado solo en el primer metro de profundidad.
Período secado del CC - siembra del CV
Analizando la Figura 2.28, se pretende describir que pasó en el periodo comprendido entre secado del CC y la siembra del CV, para verificar si la cobertura generada logra reponer o aumentar la oferta de agua para el CV siguiente.
ii
Figura 2.28 Contenido volumétrico medio de AU en el perfil de suelo para los tratamientos con CC y sin CC al momento de la fecha de siembra del CV para la secuencia i) soja-CC-maíz y ii) maíz-CC-soja, en Zona 4
Secuencia soja-CC-maíz: en esta secuencia se logró una recarga del primer metro del perfil del suelo previo a la siembra del cultivo de verano, sin poder evitar el costo hídrico por haber incluido CC (Figura 2.28 i), con valores de 6 y 4 mm menos de AU a favor del barbecho al momento de la PFS y la SFS respectivamente.
Secuencia maíz-CC-soja: con las precipitaciones ocurridas durante los períodos de barbecho intermedio y corto de 214 y 148 mm respectivamente, se logró una recarga del perfil de suelo previo a la siembra del cultivo de cosecha, causa por la cual no se registró un costo hídrico en el primer metro de suelo (Figura 2.28 ii). El tratamiento con CC, llegó a la siembra de la soja piso con 9 y 3 mm más de AU que el tratamiento sin CC cuando fue secado en fecha temprana y tardía respectivamente. Mientras que por debajo del metro, se registró un CH superior a los 30 mm para los tratamientos con CC, tanto el que fue secado anticipadamente como el secado en fecha más tardía.
Eficiencias de Barbecho
Figura 2.29 Eficiencia de barbecho de los tratamientos con CC secado temprano, con CC secado tarde y sin CC, para las secuencias soja-CC-maíz y maíz-CC-soja. Zona 4 (Profundidad: 0-2 m)
En la Figura 2.29 se ilustran las EB, para los tratamientos con CC secado tarde, secado temprano y barbecho en las secuencias soja-CC-maíz y maíz-CC-soja. Cuando el antecesor al CC fue el maíz, se observó niveles de EB menores tanto en ambas fechas de secado como en la situación barbecho, respecto al antecesor soja, situación opuesta a la encontrada en la zona productiva 1.
Los valores más altos de EB se registraron con el tratamiento CC secado tarde para ambas secuencias, alcanzando valores de 59 y 72 % para las secuencias maíz-CC-soja y soja-CC-maíz respectivamente. Para el caso del secado temprano, la EB fue de 51 % en la secuencia maíz-CC-soja y de 64 % en la secuencia soja-CC-maíz. Los barbechos tuvieron las eficiencias más bajas, presentando valores de 15 y 51 % en las secuencias maíz-CC-soja y soja-CC-maíz, respectivamente (notar que el barbecho de la secuencia soja-CC-maíz fue más eficiente en el almacenaje de agua, en comparación al barbecho de la secuencia maíz-CC-soja). Los resultados anteriores se asocian positivamente con la cantidad de biomasa generada en cada situación, por lo que al secar tarde, se generan mayores niveles de cobertura y probables aumentos en la infiltración del agua ofertada por las precipitaciones y además se evitan las pérdidas por evaporación.
Si bien se logró una mayor EB en la situación de secado tardío, no se logró llegar al contenido hídrico de la situación de barbecho en ninguna secuencia, quedando menos agua disponible para el CV contemplando los 2 m de profundidad de suelo
2
En la Figura 2.30 se presentan los contenidos medios de agua útil (AU) del suelo hasta dos metros de profundidad y en diferentes momentos (comprendidos desde la siembra del cultivo de cobertura hasta la siembra del cultivo de verano) en la zona productiva 2.
Figura 2.30 Contenidos medios de AU (mm) al momento de la siembra del CC, del secado en hoja bandera (1° secado), del secado en espigazón (2° secado) y a la siembra del CV sucesor en la secuencia maíz-CCsoja. (Profundidad: 0-2 m). Referencias: (B) barbecho; (E) CC secado temprano y (D) CC secado tarde
Al momento de la siembra del CV, se observaron diferencias entre el contenido hídrico de los tratamientos con CC y sin CC. El tratamiento con CC secado tarde, presentó mayor disponibilidad de AU en comparación al CC secado temprano, aunque ambos tratamientos representaron un CH para la siembra de la soja. El contenido hídrico inicial en la zona 2 con secuencia maíz-CC-soja fue 36 % de su capacidad máxima de retención con 109 mm de AU (0-2 m). Como se esperaba, el consumo de agua por parte del CC disminuyó los contenidos hídricos al momento de los secados en relación al barbecho.
¿Qué pasó al metro de profundidad de suelo?
En la Figura 2.31 se muestra el contenido hídrico inicial de 37 mm de AU, representando un 37 % de su capacidad máxima de retención (0-1 m). A la siembra de la soja el CC secado en fecha temprana presentó menor disponibilidad de AU respecto al barbecho, indicando un CH de 18 mm. En el caso del CC secado en la fecha más tardía, se pudieron acumular 2 mm más de AU respecto al barbecho, logrando una mayor oferta para el CV, debido posiblemente a una mayor cobertura de suelo alcanzada, que favorece la infiltración del agua de lluvia y evita pérdidas por evaporación. Anteriormente, durante la
PFS el CC consumió prácticamente toda el agua del suelo registrando un CH cuyo valor fue superior al momento del segundo secado.
Figura 2.31. Contenidos medios de AU (mm) al momento de la siembra del CC, del secado en hoja bandera (1° secado), del secado en espigazón (2° secado) y a la siembra del cultivo de verano sucesor en la secuencia maíz-CC-soja, de la zona productiva 2 (Profundidad: 0-1 m)
Referencias: (B) barbecho; (E) CC secado temprano y (D) CC secado tarde
¿Cuánto cuesta hídricamente realizar un CC?
El costo hídrico (CH) de realizar un CC, considerado como la diferencia entre el nivel de AU de la situación B y las situaciones de CC al momento de la siembra de la soja, varío en función de la fecha de secado (Figura 2.32). El costo hídrico para la secuencia maízCC-soja fue de 47 y 36 mm hasta los 2 m de profundidad, para la situación de secado en hoja bandera (PFS) y secado en espigazón (SFS) respectivamente.
Figura 2.32. Costo hídrico del CC al momento de la siembra del CV según fecha de secado para la secuencia maíz-CC-soja. Zona 2. (Profundidad: 0-2 m)
Cómo fue el CH y la dinámica del agua según periodos y estratos?
Periodo siembra del CC – secado del CC
Durante el ciclo del centeno secado temprano, las lluvias fueron de 47 mm totales ocurridas en los meses de abril y agosto, mientras que en el ciclo del CC secado tarde se registraron 142 mm totales. Al momento del secado temprano se evidencia un consumo homogéneo del CC en todo el perfil (0-2.8 m) de 134mm, observándose un mayor consumo en los primeros 20 cm de suelo (Figura 2.33 A). Las primeras lluvias primaverales permitieron la recarga del suelo hasta el medio metro, reduciendo la diferencia entre tratamientos en los contenidos hídricos al momento del segundo secado (Figura 2.33 B)
El CH registrado al momento del secado temprano fue de 36, 55 y 138 mm de AU en los estratos 0-1 m, 0-2 m y 0-2.8 m de suelo respectivamente, mientras que al momento del segundo secado el CH fue de 41, 62 y 90 mm de AU para los mismos estratos de suelos respectivamente (Figura 2.34).
Figura 2.33. Contenido volumétrico medio de AU en el perfil de suelo para los tratamientos con CC y sin CC al momento del A) secado temprano y B) secado tardío, para la secuencia maíz-CC-soja. Zona 2
Figura 2.34 Costo hídrico (mm) del CC para cada momento de secado por estrato de suelo (0-1 m, 0-2 m y 02.8 m) para la secuencia maíz-CC-soja. Zona 2
Período secado del CC - siembra del CV
Secuencia maíz-CC-soja: con las precipitaciones ocurridas durante los períodos de barbecho intermedio y corto de 257 y 170 mm respectivamente, se logró una recarga del perfil de suelo previo a la siembra del cultivo de cosecha hasta el primer metro de suelo.
Este aporte de agua no fue suficiente para evitar un costo hídrico por incorporar CC a la rotación. El tratamiento con CC, llegó a la siembra de la soja piso con 2 mm más de AU respecto al tratamiento sin CC cuando fue secado en fecha tardía (Figura 2.35). Mientras que al considerar los 2 m de profundidad de suelo, se registró un CH de 47 y 36 mm para los tratamientos con CC secados en PFS y SFS respectivamente.
Figura 2.35. Contenido volumétrico medio de AU en el perfil de suelo para los tratamientos con CC y sin CC al momento de la fecha de siembra del CV para la secuencia maíz-CC-soja, en Zona 2
Eficiencias de Barbecho
En la Figura 2.36 se muestran las EB, para los tratamientos con CC secado tarde, secado temprano y barbecho para la secuencia maíz-CC-soja. Los valores más altos de EB se registraron con el tratamiento de CC secado tarde, alcanzando un valor del 36 %. Para el caso del secado temprano, la EB fue de 34 %. El barbecho tuvo la eficiencia más baja, con el 22 %. La cantidad de biomasa generada en cada situación, permite explicar que el CC secado tarde genera niveles de cobertura que favorece la infiltración del agua de lluvia y evita las pérdidas por evaporación desde el suelo Como se vio en otras zonas productivas, la mayor EB en la situación de secado tardío, no logró alcanzar al contenido hídrico de la situación de barbecho, contemplando los 2 m de profundidad de suelo. Esto se atribuye a que el incremento del consumo del CC por
prolongarse su ciclo, no se tradujo en aumentos en la captura y conservación del agua del suelo.
Figura 2.36. Eficiencia de barbecho de los tratamientos con CC secado temprano, con CC secado tarde y sin CC, para la secuencia maíz-CC-soja. Zona 2 (Profundidad: 0-2 m)
ZONA PRODUCTIVA 3
El secado del CC en hoja bandera (PFS) no se llevó a cabo por condiciones climáticas adversas que imposibilitaron la aplicación del herbicida. Además, por cuestiones logísticas este ensayo se condujo hasta el momento del secado en espigazón (SFS). En la Figura 2.37 i, se presentan los contenidos medios de agua útil (AU) del suelo hasta dos metros de profundidad, desde la siembra del CC hasta el secado del mismo, en la zona productiva 3.
El centeno parte con el suelo al 28 % de su capacidad máxima de retención, con 115 mm de AU en el estrato 0-2.8 m y durante su ciclo de crecimiento llovieron 136 mm totales. Al momento del secado, el contenido hídrico del CC fue menor al del barbecho por el consumo generado de 96 mm hasta los 2 m de profundidad, registrando un CH al momento del secado de 43 mm de AU.
Figura 2.37 Contenidos medios de AU (mm) al momento de la siembra del CC y del secado en espigazón en la secuencia soja-CC-maíz, en los estratos de i) 0-2 m y ii) 0-1 m de suelo. Referencias: (B) barbecho y (D) CC secado tarde
¿Qué pasó al metro de profundidad de suelo?
Al metro de profundidad también se observó que los tratamientos diferían en el contenido hídrico del suelo a favor del barbecho, generando un CH por incluir centeno a la rotación de los cultivos (Figura 2.37 ii). En este estrato, los efectos positivos del CC no fueron reflejados en la retención y conservación del agua del suelo debido probablemente, a la pobre biomasa generada producto de una fecha de siembra fuera de término (3° década de junio).
¿Cómo fue el CH y la dinámica del agua en el período siembra del CC – secado del CC, según estratos?
El CH fue aumentando con la profundidad de suelo analizada. Los valores registrados fueron 23, 43 y 64 mm en los estratos 0-1 m, 0-2 m y 0-3 m respectivamente (Figura 2.38).
En la Figura 2.39 se observa el contenido volumétrico de agua hasta los 2.8 m de profundidad para la secuencia soja-CC-maíz, al momento de la siembra del CC y en la SFS, para los tratamientos con CC y sin CC. Al momento del secado, ambos tratamientos pudieron recargar el perfil del suelo, conteniendo más agua que al inicio del CC. El mayor contenido hídrico en todo el perfil del suelo, fue encontrado en la situación barbecho debido al consumo del CC.
Figura 2.38 Costo hídrico (mm) del CC durante el segundo secado por estrato de suelo (0-1 m, 0-2 m y 0-2.8 m). Zona 2
Figura 2.39. Contenido volumétrico medio de AU en el perfil de suelo para los tratamientos con CC y sin CC al momento del secado tardío, para la secuencia soja-CC-maíz. Zona 3
2.3.4. ¿Qué otros beneficio se obtienen al incluir un CC en la rotación?
2.3.4.1. Control de Malezas
Los CC presentan ciertas habilidades para suprimir el crecimiento de las malezas (sombreo, consumo de agua y nutrientes, etc.), relacionados con la cantidad de biomasa producida y/o con la liberación de sustancias inhibidoras (efecto alelopático).
En la Figura 2.40, se puede observar que al emplear el centeno como CC se logra un efectivo control de malezas, independientemente de la zona productiva y la secuencia agrícola considerada. En la secuencia maíz-CC-soja de la zona 4, no se cuantificaron malezas al tirar 10 veces el aro al azar, tanto en la parcela con CC como en la parcela sin CC, salvo que ésta última al recorrerla presentaba aisladamente algunas pocas malezas (Figura 2.40 i). En la secuencia soja-CC-maíz, el abundante rastrojo del antecesor estival + el residuo del CC redujo en gran mediada la presión de malezas en zona 1 y la suprimió totalmente en zona 4 (Figura 2.40 ii).
Figura 2.40 Densidad de malezas (pl/m2) al momento de la siembra del CV en los tratamientos con y sin CC, para las secuencias i) maíz-CC-soja y ii) soja-CC-maíz. Campaña 2015/16.
Las malezas identificadas en la secuencia maíz-CC-soja de la zona 1 al momento de la siembra del CV fueron: roseta, yuyo colorado, sorgo de Alepo, borraja y oenothera en la parcela sin CC, mientras que en la parcela con CC se encontró maíz guacho, sorgo de alepo, trébol y borraja. En zona 2 se identificaron: quínoa, verdolaga, flor de santa Lucía, yuyo colorado y borreria en parcela barbecho y rama negra, altamisa colorada y morenita en la parcela con CC. En cambio para la secuencia soja-CC-maíz las malezas halladas en zona 1 fueron cebollín (ciperácea), roseta y amor seco en el tratamiento sin CC, mientras que en la parcela con CC se encontró soja guacha y amor seco. Para la misma secuencia pero en zona 4, se encontró solo roseta en el tratamiento barbecho. En la Figura 2.41 se ilustra la densidad de malezas según grupo botánico, para ambas secuencias y distintas zonas productivas.
De acuerdo a estos hallazgos, al incluir un CC a la rotación se podría disminuir el número de aplicaciones de herbicidas previo a la siembra del CV siguiente y/o disminuir las dosis de posemergencia. En casos como el presentado en zona 4 (soja-CC-maíz), donde hay una maleza predominante (roseta), el empleo de centeno como CC garantiza el control
total sobre dicha maleza, al momento de la siembra del CV y hasta que dicho cultivo cierra el entresurco.
Figura 2.41 Densidad de malezas (pl/m2) según grupo botánico, al momento de la siembra del CV en los tratamientos con y sin CC, para las secuencias i) maíz-CC-soja y ii) soja-CC-maíz. Campaña 2015/16
2.3.4.2. Pérdidas de agua por drenaje profundo
Actualmente, el escaso uso del agua de los modelos agrícolas actuales genera excesos hídricos que culminan en procesos erosivos de suelo cuando los años son húmedos. Uno de estos procesos es la pérdida de agua en profundidad que aumenta el nivel freático. En la Figura 2.42 se puede observar como el contenido hídrico que supera la capacidad de campo de ese suelo, se pierde del sistema por drenaje profundo (Campaña 2015/16).
Para la secuencia soja-CC-maíz de la zona 4, el barbecho pierde algo del agua almacenada por debajo del metro al momento de la SFS (Figura 2.42 A), mientras que al momento de la siembra del CV, con el suelo recargado, el barbecho pierde toda el agua por debajo de los 80 cm de profundidad (Figura 2.42 B). i ii
Figura 2.42 Contenido volumétrico medio de AU en el perfil de suelo para los tratamientos con CC y sin CC al momento del A) secado tardío y B) siembra del CV, para la secuencia soja-CC-maíz. Zona 4
Cuando el cultivo estival antecesor fue maíz (secuencia maíz-CC-soja), el agua drenó a partir de los 80 cm de profundidad hacia capas más profundas de suelo al momento de la siembra del CC (Figura 2.43 A). Esta situación se repitió en el barbecho, al momento de la segunda fecha de secado del CC, cuando las precipitaciones entre ambos secados fueron de 66 mm (Figura 2.43 B). Al momento de la siembra de la soja (Figura 2.43 C), se observaron pérdidas de agua en profundidad para todos los tratamientos, ya que el agua aportada por las lluvias durante el período de recarga (Secado - Siembra CV) excedió la capacidad de retención de dicho suelo (90 % arena).
Figura 2.43. Contenido volumétrico medio de AU en el perfil de suelo para los tratamientos con CC y sin CC al momento del A) secado temprano, B) secado tardío y C) siembra del CV, para la secuencia maíz-CC-soja.
Zona 4
Por último, en la zona 2 con secuencia maíz-CC-soja, se registraron pérdidas de agua por drenaje profundo en las parcelas de barbecho, en los estratos de 2.4 - 2.8 m y de 2.6 - 2.8 m al momento de la PFS y SFS respectivamente (Figura 2.44).
Si bien no está cuantificada la pérdida de agua fuera de la zona de exploración de raíces de nuestros cultivos, sabemos que en los actuales modelos de producción agrícola local, se pierde agua cuando el año es húmedo, especialmente en suelos con alta capacidad de infiltración. Los CC demuestran ser una alternativa para mejorar el aprovechamiento del agua del suelo cuando esta excede la capacidad de almacenaje, transformando dicho recurso en biomasa.
Figura 2.44. Contenido volumétrico medio de AU en el perfil de suelo para los tratamientos con CC y sin CC al momento del A) secado temprano y B) secado tardío, para la secuencia maíz-CC-soja. Zona 2.
2.4. Comentarios Finales
En términos generales, existe un consumo de agua por debajo del metro de profundidad de suelo, empleando CC a la rotación. Además se registró un impacto hídrico a la siembra del cultivo de grano siguiente, en las distintas zonas productivas.
En la zona 1 se logró recargar el perfil al momento de la siembra del CV con la inclusión del CC, hasta los 2 m de profundidad. Los aumentos en las eficiencias de barbecho logradas con la incorporación del CC pudieron recargar y conservar el agua para el CV.
En la zona 2, existió un CH al incluir el CC que rondó entre los 35 y 50 mm de AU, independientemente de la fecha de secado.
En la zona más restrictiva ambientalmente (zona 4), existió un CH marcado al incorporar el CC, que fue aprox. de 70 mm en la secuencia soja-CC-maíz y de aprox. 50 mm en la secuencia maíz-CC-soja independientemente de la fecha de secado.
En todos los casos las EB aumentaron con el aumento en la generación de biomasa.
La inclusión del CC en la rotación agrícola es viable si considerando el primer metro de suelo, ya que en este estrato se suprime el costo hídrico y se logra recargar y conservar más agua que la situación barbecho (salvo en la secuencia soja-CC-maíz de zona 4), lo cual permite iniciar la siembra con buena humedad. Es importante conocer la probabilidad de recarga del segundo metro de suelo (1-2 m), luego de la siembra del CV y fundamentalmente durante el período crítico, para que los rendimientos en grano no se vean afectados.
Sin lugar a dudas la decisión de manejo que más impacta en la productividad del CC es la fecha de siembra, puesto que manejando solo la fecha de secado no es sinónimo de mayores volúmenes de biomasa. Lo recomendable es no retrasarse más allá del mes de abril, debido a escenarios climáticos adversos durante la primera etapa de desarrollo del CC (bajas temperatura y humedad del suelo). En este trabajo se pudo evidenciar que el secado tardío del CC, favorece la acumulación de MS aérea con mejores EUA. Mientras que la fertilización nitrogenada del centeno no arrojó respuestas positivas en la producción de biomasa del centeno, siendo esperado un efecto benéfico en el cultivo de grano siguiente.
Se observaron eficiencias en el control de malezas con los CC en pié y en los residuos de los CC en relación al barbecho, en todas las zonas productivas.
Con la inclusión de CC se puede evitar la pérdida de agua sub-superficial que se da en la situación de barbecho, impidiendo el aumento de la capa freático en años lluviosos.
2.5. Bibliografía
ÁLVAREZ C., URIENS A., BAGNATO R., LIENHARD C.P. y M. DÍAZ ZORITA. 2015. Impacto de la duración de barbechos y de la inclusión de cultivos de cobertura sobre la dinámica hídrica en la región semiárida pampeana. Revista Técnica de AAPRESID Cultivos invernales: 110 - 114.
DUARTE, G. 2002. Sistemas de Producción de girasol en la región húmeda argentina.
En: Manual práctico para el cultivo de girasol. Editores Díaz-Zorita M. y Duarte G. 313 pp.
GALARZA C., C.CAZORLA y F. BONACCI. 2010. Influencia de los cultivos de cobertura en algunas propiedades físicas del suelo en sistemas agrícolas en siembra directa. XXII Congreso Argentino de la Ciencia del Suelo. Rosario. Argentina. p: 59
JOBBÁGY E.G., NOSETTO M.D., BERNASCONI H.O., COLAZO J.C., GALVAN M.J., MERCAU J.L., SAENZ C.A., COLAZO E.R., LARRUSSE C.E., MARCHI A.A., BARBOSA O., GIACCARDI A., HELLMERS M.M., MARTÍNEZ ALVAREZ D. y TRIPALDI A. 2015. Los nuevos cursos de agua en la cuenca de El Morro: descripción del proceso y pautas para su gestión. En: http://inta.gob.ar/documentos/
FERNANDEZ R., N. PEINEMANN, E. NOELLEMEYER y A. QUIROGA. 2006. Efecto de la cobertura sobre la resistencia y la temperatura del suelo en la región semiárida pampeana. XX Congreso Argentino de la Ciencia del Suelo. Salta, Jujuy.
FERNANDEZ R., A. QUIROGA, F. ARENAS, C. ANTONINI y M. SACKS. 2007. Contribución de los cultivos de cobertura y las napas freáticas a la conservación del agua, uso consuntivo y nutrición de los cultivos. Manual de fertilidad y evaluación de suelos. Publicación Técnica N° 71. EEA INTA Anguil. Capítulo V.
FERNANDEZ R., A. QUIROGA, E. NOELLEMEYER, D. FUNARO, J. MONTOYA, B. HITZMANN y N. PEINEMANN. 2008. A study of the effect of the interaction between site-specific conditions, residue cover and weed control on wáter storage during fallow. Agricultural Water Management. 95: 1028-1040.
INTA. 2006. Carta de Suelos de la República Argentina. Hoja San Luis. Provincia de San Luis.
INTA. 2000. Carta de Suelos de la República Argentina. Hoja Villa Mercedes. Provincia de San Luis.
INTA. 1992. Carta de Suelos de la República Argentina. Hojas Martín de Loyola y Varela. Provincia de San Luis.
KRUGER H. y A. QUIROGA. 2012. La interfase suelo-atmósfera y su valor estratégico en regiones semiáridas. En: Contribuciones de los cultivos de cobertura a la sostenibilidad de los sistemas de producción. Ed. INTA. 1: 5 - 6.
SÁENZ C. y J.C. COLAZO. 2012. Costo hídrico de cultivos de cobertura invernales en San Luis. Primeras experiencias. En: Contribuciones de los cultivos de cobertura a la sostenibilidad de los sistemas de producción. Ed. INTA. 3: 16 - 20.
CAPÍTULO 3. Fecha de Siembra y Grupo de Madurez en Soja
Combinación de factores de manejo determinantes de los rendimientos máximos alcanzables y mínimos aceptables en la zona centro de San Luis Vanesa E. Barbero1-2 y Tomás Coyos3
3.1. Introducción
La provincia de San Luis posee una alta variabilidad ambiental interanual para la producción de soja (Glicine max L.), que impacta sobre los rendimientos logrados o reales, alcanzables y potenciales, existiendo para cada uno de ellos diversas prácticas de manejo que permiten modificarlos (Rotundo, 2015). El rendimiento potencial de un cultivo depende de los niveles de radiación y la temperatura que ofrece un ambiente en particular, en ausencias de limitantes. Este rendimiento puede modificarse con ciertas prácticas de manejo agronómico, como la elección de la fecha de siembra, del grupo de madurez (GM) y el arreglo espacial (densidad de siembra y distanciamiento entre hileras). El rendimiento alcanzable depende de la disponibilidad hídrica y de nutrientes, el cual puede modificarse a través de prácticas como el manejo del barbecho, las rotaciones, la fertilización y la inoculación. En San Luis, el rendimiento alcanzó un valor medio de 2034 kg/ha de soja para el período comprendido entre las campañas 2000/01 y 2014/15, con un máximo de 2900 kg (2001/02) y un mínimo de 1161 kg (2005/06), según registros de la CSI9 (2016). Mientras que los productores de la Regional San Luis (Aapresid), lograron superar ese promedio en más de 300 kg/ha, en el período evaluado entre las campañas 2009/10 y 2014/15, en la zona centro de la provincia. Finalmente, el rendimiento logrado depende de factores bióticos reductores del rendimiento (malezas, plagas y enfermedades), siendo el empleo de medidas de control (cultural, mecánico, químico, biológico e integral) el que permita incrementarlo.
Dado que los productores miembros de la Chacra San Luis (Aapresid), pretenden mejorar la estructura de sus sistemas de producción, aprovechando el potencial productivo de los diferentes ambientes del área de influencia de la Chacra, se analizaron comparativamente, las estrategias de producción de soja que apuntan a maximizar el rendimiento con otras que tienden a ser más estables y menos riesgosas, económica y ambientalmente.
1 GTD Chacra San Luis (Aapresid); 2 Cambio Rural II (INTA); 3 CTZ Sistemas Chacras (Aapresid).
9 Coordinación de Servicios de Información, Ministerio de Agroindustria de la Nación.
3.2.1. Objetivo General
Mejorar el diseño de la estructura de los sistemas de producción en secano que contempla la Chacra San Luis.
3.2.2. Objetivo Específico
Comparar diferentes combinaciones de fechas de siembra y grupos de madurez de soja que tiendan a: 1) maximizar el rendimiento y 2) estabilizar la producción en ambientes representativos de la Chacra San Luis.
3.3. Metodología
La cuantificación de los rendimientos medios y máximos alcanzables del cultivo de soja, surgen de la recopilación de información histórica de lotes de producción, aportada por los miembros de la Chacra San Luis (estudios de casos de la Regional Aapresid San Luis), correspondientes a establecimientos próximos a las localidades de Barranquitas, Villa Mercedes, Fraga, Liborio Luna, Alto Pelado, Donovan, J.W. Ges, La Toma, Naschel y Saladillo. Con ello, se generó una base de datos durante las campañas 2009/10 a la 2014/15, que permitió analizar cuáles son los rendimientos logrados y su variabilidad según zonas productivas y campañas agrícolas.
La ventana de siembra utilizada por los miembros de la Regional San Luis, incluye fechas entre septiembre y enero. A los fines de simplificar los análisis, se agruparon las fechas por décadas (10 días): 3° década de septiembre; 1°, 2° y 3° década para los meses de octubre, noviembre y diciembre y 1° y 2° década de enero. Por otra parte, las sojas fueron clasificadas según los resultados de la evaluación de cultivares de soja (RECSO 2013).
Se consideraron GM III Largo (3L) a los cultivares que van de 3.5 a 3.9, GM IV Corto (4C) a los que van de 4.0 a 4.3, GM IV Largo (4L) a los cultivares comprendidos entre 4.4 y 4.9, GM V Corto (5C) a los cultivares que van de 5.0 a 5.5 y GM V Largo (5L) a los cultivares comprendidos entre 5.6 y 5.9.
3.4. Resultados
3.4.1. ¿Cómo son los niveles de productividad de soja de los miembros de la Chacra San Luis respecto al promedio de la región?
Se compararon los datos propios de la Regional Aapresid San Luis con las estadísticas pertenecientes al Ministerio de Agroindustria de la Nación (CSI, 2016) por departamento.
De dicho análisis surgió que la productividad media de los miembros de la Regional San Luis durante la campaña 2009/10 (1788 kg/ha), fue 113 kg/ha mayor al promedio de rendimiento de los departamento donde producen (La Capital, C. Pringles, G. Pedernera y Chacabuco), mientras que en las campañas 2010/11 y 2014/15 la Chacra superó los rindes medios de dichos departamentos en 256 y 310 kg/ha respectivamente (2690 y 3282 kg/ha).
Sin embargo, esas diferencias no siempre fueron similares entre años, habiéndose observado campañas donde las diferencias eran menores e incluso los rendimientos de los miembros de la Regional fueron inferiores respecto al promedio de los rindes de los departamentos considerados, probablemente por estar incluidos dentro del censo rendimientos de lotes en secano y bajo riego (Figura 3.1).
Figura 3 1. Rendimiento medio de soja (kg/ha) alcanzado por los miembros de la Regional SL y en los departamentos provinciales donde producen, en el período 2009-2015. Elaboración propia con datos del SIIA (2016) y de la Regional San Luis (2015).
3.4.2. ¿Cómo fue la estabilidad productiva entre campañas?
Para evaluar la estabilidad productiva de los miembros de la Chacra San Luis entre campañas, se calculó el coeficiente de variación (CV) promedio de cada campaña. El CV medio fue del 41%, superando ampliamente lo reportado por la Chacra Bragado Chivilcoy (18%) y la Chacra Justiniano Posse (25%). Esto indica la alta variabilidad que enfrentan los productores, posiblemente debida a la diversidad de suelos explorados y condiciones climáticas. Es interesante analizar el CV en función del rendimiento medio logrado en cada campaña. Las campañas que mayor CV tuvieron fueron las que menor rendimiento medio lograron, tendiendo a ser menor a medida que el rendimiento fue incrementándose (Figura 3.2).
y = -0.0001x + 0.6595
R² = 0.8099
Rendimiento (kg/ha)
2009-2010 2010-2011 2011-2012 2012-2013 2013-2014 2014-2015
Figura 3.2. Relación entre el rendimiento medio de soja (kg/ha) y el coeficiente de variación del rendimiento de soja (%) alcanzado por los miembros de la Regional SL, en el período 2009-2015.
Esto indica que en campañas donde las condiciones son limitantes, la importancia de otros factores comienza a ser relevante. Dentro de estos factores están incluidas todas las prácticas agronómicas utilizadas para evitar la caída del rendimiento y su variabilidad. En campañas restrictivas las prácticas agronómicas tienen un impacto mayor que en campañas menos limitantes. Por esta razón, la clave para mejorar los rendimientos y asegurarnos su estabilidad espacial y temporal, reside en la construcción de nuevos conocimientos vinculados al cultivo en su interacción con el ambiente, al propio ambiente
y a las interacciones que ocurren entre las decisiones de manejo y el ambiente (Vega, 2015).
3.4.3. ¿Cuál fue el rendimiento máximo alcanzable y el rendimiento medio logrado de la Chacra San Luis?
Se generaron curvas de probabilidad acumulada de rendimiento, con los datos de la Regional San Luis. De allí se obtuvieron los rendimientos máximo alcanzable (percentil P95), promedio (percentil P50) y el mínimo (percentil P05), con los cuales se pudo estimar la brecha (P95-P50) y la variabilidad productiva (P95-P05). El rendimiento máximo alcanzable por los miembros de la Chacra fue de 4092 kg/ha, mientras que el medio o logrado fue 2400 kg/ha. Dichos valores permitieron determinar que la brecha productiva media durante las 6 campañas analizadas fue de 1692 kg/ha, representando más del 40 % del rendimiento máximo alcanzable (Figura 3.3).
Como era de esperarse, la variabilidad productiva (P95-P05) durante las 6 campañas evaluadas fue alta (3472 kg/ha) debido a un gran número de lotes analizados (n= 902).
Figura 3.3. Probabilidad acumulada del rendimiento de soja alcanzado por los miembros de la regional SL, para el período 2009-2015. Con n=902. Rendimiento máximo alcanzado (P95=4092) y rendimiento medio (P50=2400).
3.4.4. ¿Cuáles son los factores que explican la variabilidad del rendimiento de soja?
Para poder identificar cuáles son las posibles causas de las variaciones en los rendimientos alcanzados y qué importancia relativa tienen, se realizó un análisis de la varianza (ANAVA).
El 47 % de la varianza total en los rendimientos, no pudo ser explicado por los factores de manejo y ambientales considerados en el análisis, es decir que esta variación fue debida a otros factores. De la porción restante, la campaña agrícola y la zona productiva explicaron el 90 % de la varianza (Figura 3.4).
Figura 3.4. Porcentajes de la varianza del rendimiento del cultivo de soja, aportado por cada factor analizado en una matriz de 902 casos (base de datos desbalanceada), de los miembros de la Regional SL, en el período 2009-2015.
Efecto campaña
Se puede deducir que las diferencias entre campañas, son ocasionadas por efecto de condiciones climáticas distintas entre años (precipitaciones, temperaturas y niveles de radiación solar). Las campañas agrícolas evaluadas muestran un rendimiento máximo alcanzable (P95) que puede variar entre 2749 a 4451 kg/ha, existiendo una brecha que va desde 1029 kg/ha hasta 1400 kg/ha (Tabla 3.1).
Tabla 3.1. Valores de rendimiento máximo alcanzable (P95); rendimiento medio (P50), brecha productiva (P95-P50) y número de casos (n), para el cultivo de soja analizado por campaña.
Campaña Agrícola
P95 (kg/ha) P50 (kg/ha)
Brecha productiva Brecha productiva Número de casos (kg/ha) (%) (n)
2009-2010 3066 1889 1177 38 106 2010-2011 4200 2800 1400 33 153
2011-2012 2749 1475 1274 46 145 2012-2013 3229 2200 1029 32 138
2013-2014 3700 2600 1100 30 176 2014-2015 4451 3400 1051 24 184
Los valores hallados de brechas productivas son elevados, independientemente de la campaña climática. Esto nos indica que aún se puede mejorar la productividad de los lotes, tanto en años potencialmente buenos y en años desfavorables. Para analizar gráficamente esta situación, se analizó el conjunto de datos a través de curvas de probabilidad acumulada de rendimiento, discriminadas por campaña (Figura 3.5).
2009-2010 2010-2011
2011-2012
2012-2013 2013-2014 2014-2015
Figura 3 5. Probabilidad acumulada del rendimiento de soja alcanzada por campaña agrícola, por los miembros de la Regional SL durante el período 2009-2015.
En dicha figura se puede observar que las seis campañas evaluadas presentan diferentes rendimientos máximos alcanzables y medios, atribuibles a una correlación positiva con las precipitaciones (datos no mostrados). Claramente la campaña 2014-2015 fue la de mayor rendimiento máximo alcanzable y rendimiento medio (4451 kg/ha y 3400 kg/ha respectivamente), y una de las brechas más baja de la serie analizada (1051 kg/ha), debido a que el año fue muy bueno ambientalmente, reduciendo las diferencias absolutas. Por el contrario, en la campaña 2011-2012 con un ambiente climático poco favorable, el rendimiento máximo alcanzable fue 2749 kg/ha y la brecha productiva fue mayor a la del ejemplo anterior (1274 kg/ha). Por otra parte, los valores nulos de rendimiento (0 kg/ha), se debieron en general a eventos de granizo, que fue relevante en la campaña 20122013. Estos valores no fueron descartados en los análisis, debido a la frecuencia del fenómeno en la región de estudio.
¿Qué tuvieron aquellos lotes que rindieron bien en campañas malas? ¿A qué se debió la baja performance de los lotes?
Para responder esta pregunta se tomaron el 25 % de los mejores rendimientos de la campaña 2011-2012. Como se muestra en la Figura 3.5, los rendimientos de este grupo fueron superiores a 2150 kg/ha (P75). Lo que se pudo detectar es que la mayoría a de los casos, pertenecen principalmente a las zonas productivas 1 y 2. En cuanto al manejo, el 80 % de estos lotes tuvieron como cultivo antecesor al maíz y utilizaron sojas de GM 4L el 65 %. La densidad de siembra empleada fue alta (> 400000 sem/ha) en el 79 % de los lotes que reportaron el dato, mientras que las fechas de siembra se concentraron entre la segunda quincena de octubre y la segunda quincena de noviembre. Finalmente, el 30 % de los lotes fertilizaron con superfosfato simple (SPS) y el 15 % con fosfato monoamónico (MAP).
Por otra parte, el 25 % de los lotes que tuvieron rindes iguales e inferiores a 1000 kg/ha (P25) durante la campaña 2011-2012, pertenecen a la zona productiva 3. El 87 % de los lotes tuvieron como antecesor al cultivo de maíz. Se emplearon sojas de GM 4L y 5C, sembradas principalmente en noviembre (el 82 % de los lotes) y con densidades medias (300000 - 400000 sem/ha). En cuento a la fertilización, sólo el 25 % de los lotes realizó esta práctica aplicando SPS y MAP.
¿Qué tuvieron aquellos lotes que aprovecharon el potencial productivo del año?
En la campaña 2014-2015, el 25 % de los lotes que aprovecharon el año hídrico (P75) obtuvieron rendimientos superiores a 3973 kg/ha. Estos lotes están distribuidos en las zonas productivas 1, 2 y 3, y el 79 % de los mismos tuvo al maíz como antecesor del cultivo de soja. Los GM utilizados fueron los 4L y 5C, sembrados con densidades medias (300000 - 400000 sem/ha). La fecha de siembra fue muy variada, aunque con cierto predominio de siembras en noviembre y la fertilización se llevó a cabo sólo en el 13 % de los lotes.
Efecto zona de producción
¿Las zonas de producción se comportan diferentes en cuanto a distribución de rendimientos?
El 30 % restante de la variabilidad en los rendimientos fue explicada por el efecto de las diferentes zonas productivas (Figura 3.4). En la Figura 3.6 se puede apreciar que la zona 1 y 2 tuvieron un comportamiento similar, mientras que en las zonas 3 y 4 la distribución de rendimientos fue diferente. Los valores medios fueron de 2847 kg/ha, 2832 kg/ha, 2072 kg/ha y 1100 kg/ha para las zonas 1, 2, 3 y 4 respectivamente (Tabla 3.2).
Los valores de rendimientos máximos alcanzables para las zonas 1, 2 y 3 son similares entre sí. La zona 4 se destaca por presentar en términos generales rendimientos máximos alcanzables y especialmente los rindes medios, sensiblemente inferiores al resto de las zonas.
Zona 1
Zona 2
Zona 3
Zona 4
Figura 3.6. Probabilidad acumulada del rendimiento de soja alcanzada en distintas zonas productivas, por los miembros de la Regional SL durante el período 2009-2015.
Tabla 3.2 Valores de rendimiento máximo alcanzable (P95); rendimiento medio (P50), brecha productiva (P95-P50) y número de casos (n), para el cultivo de soja analizado por zona.
Zona Productiva P95 (kg/ha) P50 (kg/ha)
Brecha productiva Brecha productiva Número de casos (kg/ha) (%) (n)
1 4300 2847 1453 34 174
2 4088 2832 1256 31 229 3 4097 2072 2025 49 430 4 3150 1100 2050 65 42
3.4.5. ¿El fenómeno ENSO afectó la distribución de rendimientos?
Como se comentó anteriormente, el 59% de la variabilidad explicada se debe al efecto campaña. Una pregunta que surge es si el comportamiento de los rendimientos difiere en años niños, neutros y niñas. A diferencia de lo que ocurre en la región centro y este del país, en San Luis los años neutros son menos “llovedores”, que los años niñas.
Si se analiza el comportamiento de rendimientos podemos ver que lo años niños tienen un patrón de distribución diferente en relación con años niñas y neutros (Figura 3.7) Mientras
que el rendimiento medio de años neutros y niñas está alrededor de 2200 kg/ha, en años niño se alcanza niveles de 3000 kg/ha.
Probabilidad acumulada
Neutro Niña Niño
Figura 3.7. Probabilidad acumulada del rendimiento de soja alcanzada en años niños, neutros y niñas por los miembros de la Regional SL durante el período 2009-2015.
3.4.6. Diferenciación de ambientes para el estudio de fecha de siembra y grupo de madurez.
Hasta aquí, hemos visto que existe una gran variabilidad en los rendimientos dada principalmente por efecto del año y la zona de producción. Para poder caracterizar el comportamiento productivo de diferentes fechas de siembra y grupos de madurez es necesario agrupar zonas y años de comportamiento similar y a partir de allí identificar las estrategias de mejor comportamiento.
Se definieron dos tipos de ambientes: bueno y regular. El ambiente bueno resulta de la combinación de años niños con las cuatro zonas productivas y años neutros y niñas con las zonas 1 y 2, registrando rendimientos máximos alcanzables de 4200 kg/ha y medio o logrado de 2816 kg/ha siendo la brecha de 1384 kg/ha (32 %) (Figura 3.8).
El ambiente regular surge de combinar años neutros y niñas con las zonas 3 y 4. Este ambiente presentó un rendimiento máximo alcanzable de 3357 kg/ha y un rendimiento medio de 1630 kg/ha, siendo la brecha de 1727 kg/ha (51%). Es interesante ver como en
ambientes y años más restrictivos (ambiente regular) las brechas aumentan tanto en valor absoluto como en %. Esto sugiere que en estos casos donde los años son niñas o neutros en zona 3 y 4 las decisiones de manejo cobran especial relevancia.
Ambiente Bueno
Ambiente Regular
Figura 3.8. Probabilidad acumulada del rendimiento de soja alcanzada según ambientes, por los miembros de la Regional SL durante el período 2009-2015.
3.4.7. Prácticas de manejo que mayor influencia tienen sobre el cultivo de soja.
Decisiones de manejo como la selección del grupo de madurez (GM) o la fecha de siembra, modifican el ambiente que explorará el cultivo de soja durante la etapa crítica (R3-R5.5), de mayor tasa fotosintética y de producción de vainas, modificando por ende el rendimiento. La amplia variabilidad de cultivares de soja disponibles en el mercado, permite diseñar múltiples combinaciones de fecha de siembra y genotipo, agregando complejidad a las decisiones de manejo, ya que las malas combinaciones pueden resultar en ambientes sub-óptimos durante las etapas críticas con alta probabilidad de estreses térmicos e hídricos, o en longitudes de ciclos inadecuadas, es decir, muy cortos con pérdidas de rinde, o muy largos con llenados de granos en períodos ambientalmente pobres (Vega y Salas, 2012).
3.4.7.1. Elección
de la fecha de siembra
La elección de la fecha de siembra, es una de las prácticas agronómicas que mayor influencia tienen sobre el cultivo en la determinación del rendimiento. Esta práctica depende de las condiciones ambientales, la rotación y de las características del cultivar, y a diferencia de otras prácticas, no implica un cambio en los costos de producción. En una primera instancia el período de crecimiento está definido por la época de ocurrencia de heladas. En San Luis, el periodo libre de heladas va desde el 17 de noviembre al 28 de marzo con una probabilidad de ocurrencia menor al 10 % (Capítulo 1). Por otra parte, las variaciones en la fecha de siembra, modifican la duración del ciclo para todos los GM, puesto que con un retraso en la fecha de siembra, se acorta el ciclo del cultivo debido a una reducción en la duración de la etapa vegetativa (emergencia a floración) y de la etapa reproductiva (floración a madurez fisiológica), siendo el acortamiento de la segunda etapa proporcionalmente mayor que el de la primera (Otegui y López Pereira, 2003).
¿Cuánto cae el rendimiento a medida que atrasamos la fecha de siembra? ¿La caída es similar en ambientes buenos que en ambientes malos?
Como puede observarse en la Figura 3.9, por día de atraso en la fecha de siembra hay una reducción general de aproximadamente 7 kg/ha para la zona centro de San Luis, merma que es explicada por la menor duración del ciclo, que disminuye la cantidad de radiación interceptada, afectando la producción de biomasa y consecuentemente al rendimiento. Analizando esta reducción por tipo de ambiente, se puede observar que la caída diaria del rendimiento por atraso en la siembra, es notablemente mayor en ambientes buenos (16 kg/ha), mientras que en ambientes regulares la merma diaria es de 3.5 kg/ha (Figura 3.10). Pérdidas similares (16 kg/ha/día), fueron encontradas en datos de la red de productores CREA de Santa Fe durante las campañas 2007-2011(Vega y Salas, 2012). Estos resultados destacan la importancia de las interacciones entre la calidad ambiental y el manejo óptimo de la fecha de siembra en el cultivo de soja.
Rendimiento Medio
= -6.7707x + 4423.3
Rendimiento (kg/ha)
Figura 3.9. Relación entre la fecha de siembra (días julianos) y el rendimiento medio de soja (kg/ha), para el período 2009-2015.
Ambiente Bueno Ambiente Regular
= -16.015x + 7718.9
Rendimiento (kg/ha)
= -3.5311x + 2751.2
Figura 3.10 Relación entre la fecha de siembra (días julianos) y el rendimiento medio de soja (kg/ha), según tipo de ambiente, para el período 2009-2015.
¿Qué fechas de siembra optimizaron los rendimientos en cada ambiente?
Ambientes buenos (años niños en zonas 1, 2, 3 y 4 + años niñas y neutros en zona 1 y 2). En la Figura 3.11, se puede observar que las fechas que mejor aprovecharon productivamente los ambientes buenos fueron las de primera y segunda décadas de octubre (3150 kg/ha aproximadamente). Dentro de estas fechas se encontraron los rendimientos máximos logrados de todo el set de datos analizado. Otro aspecto importante de estas fechas, es que los pisos de rendimientos también fueron máximos. Las fechas desde la tercera década de octubre hasta la tercera de noviembre tuvieron un comportamiento productivo relativamente bueno y con muy baja variabilidad. Fechas más tardías produjeron una caída significativa del rendimiento menores a 2000 kg/ha.
Rendimiento (kg/ha)
AmbienteBueno
AmbienteRegular 1 oct 2 oct 3 oct 1 nov 2 nov 3 nov 1 dic 2 dic 3 dic Fecha de Siembra (década)
Figura 3.11 Rendimiento de soja (kg/ha) en función de la fecha de siembra, para el período 2009-2015.
Ambientes regulares (años niñas y neutros en zonas 3 y 4). Las siembras de la primera década de octubre presentaron niveles de rendimientos bajos y muy variables, probablemente porque la demanda en periodo crítico fue máxima y la oferta hídrica baja (Figura 3.11). Cabe remarcar que en este grupo solo hay 9 casos evaluados, por lo que puede variar si tendríamos un número mayor.
Las fechas de la segunda década de octubre lograron alcanzar los máximos rendimientos, llegando a un valor promedio de 2075 kg/ha. A medida que la fecha de siembra se fue atrasando, el rendimiento medio cayó progresivamente hasta la primera década de diciembre, con rendimientos medios de 1473 kg/ha. La variabilidad fue parecida para estas fechas magnificándose ligeramente en fechas de la tercera década de noviembre y primera de diciembre.
En la Figura 3.12 se ilustran las fechas de siembra que optimizaron los rendimientos en cada ambiente y las que lo redujeron.
Luego 3 Nov 3 Oct a 3 Nov 1 y 2 Oct 2 Oct
Ambiente Bueno
Ambiente Regular
Figura 3.12. Probabilidad acumulada del rendimiento de soja alcanzada según ambientes y fechas de siembra empleada por los miembros de la Regional SL, durante el período 2009-2015.
3.4.7.2. Elección del grupo de madurez (GM)
Dentro de los cultivares comerciales de soja, existe un amplio rango de duración del ciclo, razón por la cual se agruparon en “grupos de madurez o precocidad”, existiendo en el mundo trece grupos de madurez (GM 000 al X), de los cuales ocho (GM II al IX) se utilizan en la Argentina (de la Vega y de la Fuente, 2003).
Los miembros de la Regional San Luis, emplean sojas cuyos GM van del III corto al V largo, siendo los cultivares más empleados los detallados en la Tabla 3.3.
Tabla 3.3. Valores de rendimiento máximo alcanzable (P95); rendimiento medio (P50), brecha productiva (P95-P50) y número de casos (n), para el cultivo de soja analizado por cultivar más sembrado por los miembros de la Regional San Luis (Campañas 2009/15).
P95 (kg/ha) P50 (kg/ha)
Cultivar
Brecha productiva
Brecha productiva Número de casos (kg/ha) (%) (n)
NA4990 4210 2621 1589 38 194
NA5009 3917 2387 1530 39 184
DM4970 4001 2446 1555 39 51
FN4.5 4317 3063 1254 29 40
DM5.1i 3789 2000 1789 47 34
P94M80 2593 1450 1143 44 27
DM3810 4302 2745 1557 36 21
En ambientes de buena calidad, las sojas de GM 5L presentan los mayores rendimientos medios seguidos por las de GM 3L, aunque con cierta variabilidad. Se destacan la estabilidad de las sojas de GM 4L y 5C. Las sojas de GM 4C, alcanzan rendimientos similares entre ambientes, elevando los rindes en ambientes regulares y disminuyéndolos en ambientes buenos (Figura 3.13).
Ambiente Bueno
Ambiente Regular
Rendimiento (kg/ha)
Grupo de Madurez
Figura 3.13 Performance de los distintos GM de soja empleados por los miembros de la Regional San Luis en ambientes buenos y regulares, durante el período 2009-2015.
3.4.7.3. Combinación de Fechas de Siembra (FS) x Grupos de Madurez (GM)
Para comparar las diferentes combinaciones de FS y GM de soja que tiendan a maximizar el rendimiento y estabilizar la producción en ambientes buenos y regulares, se clasificaron a las fechas de siembra en óptimas y sub-óptima (Figura 3.14), descartando en el análisis aquellas que redujeron fuertemente los rindes. Para ambientes buenos, se consideraron dentro de las FS óptimas a las siembras de 1° y 2° década de octubre, mientras que las FS sub-óptimas estuvieron conformadas por siembras desde 3° década de octubre a 3° década de noviembre. En ambientes regulares las FS óptimas fueron las correspondientes a la 2° década de octubre y las sub-óptimas desde 3° década de octubre a 2° década de noviembre.
Ambiente Bueno Ambiente Regular
Figura 3.14. Rendimiento de soja kg/ha obtenida por distintas combinaciones de GM y FS a) óptimas y b) sub-óptimas, en ambientes buenos y regulares, durante el período 2009-2015. Asteriscos con pocos casos relevados (n<10).
Ambiente Bueno. Los GM 3L, 4C y 5C sembrados en fecha óptima, no llegan a un número aceptable de casos (n<10) para establecer conclusiones aplicables a los sistemas
de producción actuales. No obstante, será de suma importancia la conducción de ensayos de sojas de GM cortos sembradas en fechas óptimas, a los fines de conseguir mayor representatividad de los rendimientos obtenidos, como es el caso de la soja de GM 4C que superó los 4000 kg/ha (Figura 3.14), resultado coincidente con los encontrados por Rizzo et al. 2011, en la zona núcleo. Considerando los GM con suficientes números de casos, los GM 4L fueron los que maximizaron los rendimientos y fueron levemente mayores a los del GM 5C cuando fueron sembrados en fecha óptima, siendo esta diferencia de aprox. 100 kg/ha a favor del grupo más corto.
Cuando la fecha de siembra fue sub-óptima el GM 3L maximizó los rendimientos medios, y elevó los pisos, igualando a los niveles productivos que se obtuvieron con siembras óptimas. Los GM 4C, 4L y 5C presentaron similitud en los rindes, pero no lograron superar a los de las sojas de GM 3L que produjeron 400 kg/ha más. Es por ello que sojas de GM 3L constituyen la mejor opción en siembras de noviembre, además de presentar una alta estabilidad de rendimientos (Figura 3.14).
Ambiente Regular. La cantidad de lotes sembrados en fecha óptima, no superaron los 10 casos y además presentaron una alta variabilidad en los rendimientos, motivos por los cual no es posible inferir al respecto. La mejor combinación para una FS fue sub-óptima, fue cuando se utilizó soja de GM 4C, debido a que se maximizaron los rendimientos medios (2200 kg/ha), se elevaron los pisos y en algunos casos los rendimientos máximos fueron incrementados (Figura 3.14). A esta estrategia de manejo le siguió la de sembrar GM 3L en fecha sub-óptima, con la cual se lograron rendimientos medios aceptables (1950 kg/ha) aunque algo variables. El GM 5C mostró mayor estabilidad que los GM 4C y 3L, pero con niveles bajo de rendimiento medio (1780 kg/ha).
3.5.
Comentarios Finales
Los miembros de la Chacra San Luis exploran rendimientos medios superiores a los de la zona posiblemente por mayor nivel de adopción de tecnologías de manejo agronómico. Esto les permitió maximizar rendimientos principalmente en años con buena oferta ambiental.
Las decisiones de manejo cobran mayor importancia en campañas donde el rendimiento medio es menor (años más restrictivos).
El 90 % de la variabilidad de los rendimientos de soja que pueden ser explicados por los factores evaluados, se deben al efecto de la campaña (59 %) y la zona productiva (31 %).
El efecto de la campaña sobre la variabilidad de rendimientos fue diferente en cada una de ellas, no pudiéndose diferenciar campañas de comportamiento similar.
Las zonas 1 y 2 tuvieron un comportamiento similar en cuanto a rendimientos.
La combinación de zonas productivas y tipo de año (fenómeno ENSO) determinaron dos grupos de datos con patrones de variabilidad de rendimiento muy diferentes entre sí, lo cual permitió clasificarlos en ambientes de buena y regular calidad productiva.
En ambientes de buena calidad productiva, la estrategia de manejo que maximizó los rendimientos de soja fue la combinación de FS de primera y segunda década de octubre con GM 4L. FS más tardías (fines de octubre y noviembre) lograron niveles de rendimientos buenos y con gran estabilidad. Los genotipos de GM 3L tuvieron un comportamiento muy superior al resto dentro de estas FS.
En ambientes de calidad productiva regular, las fechas que maximizaron rendimientos y obtuvieron los pisos más altos fueron los de la segunda década de octubre.
En ambientes regulares el genotipo que se destaco fue el de GM 4C obteniendo los mayores niveles de producción y los pisos más altos
3.6. Bibliografía
CSI (Coordinación de Servicios de Información, Ministerio de Agroindustria de la Nación) 2016. Estimaciones agrícolas. En: http://www.siia.gov.ar/_apps/siia/estimaciones/estima
2.php (Consultado el 08/06/2016).
De la Vega A. J. y E. B. de la Fuente. 2003. Elección de genotipos. En: Producción de granos. Bases funcionales para su manejo. Ed. FAUBA. Buenos Aires. Argentina. pp 317349.
Otegui M. E. y M. López Pereira. 2003. Fecha de siembra. En: Producción de granos. Bases funcionales para su manejo. Ed. FAUBA. Buenos Aires. Argentina. pp 257-275.
RECSO. 2013. Resultados de la Red Nacional de Evaluación de Cultivares de Soja en las regiones Norte (I), Pampeana Norte (II) y Pampeana Sur (III). Campaña 2012-13. Informe INTA. En: http://inta.gob.ar/documentos/resultados-de-la-red-nacional-de-evaluacion-decultivares-de-soja-recso-en-la-region-norte-i-pampeana-norte-ii-y-pampeana-sur-iii-campana-2012-13 (Consultado el 27/05/2016).
Rizzo F.A., De Luca, P.C., Gómez, D., Iglesias, R. y J.Aguilar. 2011. Síntesis de resultados que ayudan a una mejor elección de la fecha de siembra, grupo de madurez y arreglo espacial. V Congreso de la Soja del Mercosur. Primer Foro de la Soja AsiaMercosur. 14, 15 y 16 de Septiembre. Rosario, Santa Fe, Argentina.
Rotundo J. L. 2015. Claves para el manejo de soja. XXIII Congreso de Aapresid “Biosapiens, la era del suelo”. 5, 6 y 7 de Agosto. Rosario, Santa Fe, Argentina.
Vega, C. 2015. Calidad ambiental como determinante de procesos eco-fisiológicos que regulan el rendimiento en soja. XXIII Congreso de Aapresid “Biosapiens, la era del suelo”. 5, 6 y 7 de Agosto. Rosario, Santa Fe, Argentina.
Vega, Claudia y G. Salas. 2012. Bases para el manejo del cultivo de soja. En: El Cultivo de soja en Argentina. Buenos Aires. Eds: Baigorri H. (in memorian) y Salado Navarro. pp 147-162.
CAPITULO 4. Respuesta a la fertilización nitrogenada de maíces tempranos y tardíos
Como optimizar la nutrición del cultivo de maíz en la zona centro de San Luis Vanesa E. Barbero1-2, Tomás Coyos3, Martín Torres Duggan4, Jorge L. Mercau5 y Juan C. Colazo5
4.1. Introducción
La producción de maíz (Zea mays L.) en la provincia de San Luis se ha incrementado significativamente a lo largo del tiempo (especialmente en los últimos 20 años), tanto en superficie sembrada como en niveles de rendimientos medios logrados (Colazo y Rivarola, 2015). Este crecimiento se debe al empleo de genotipos con mayor potencial de rendimiento (que ha incrementado la demanda de nutrientes), mayores tasas de fertilización, aumentos de las precipitaciones y estabilización de los planteos de siembra directa. Sin embargo, los productores locales enfrentan el desafío de obtener elevados rendimientos en secano con un riesgo tolerable, que impacta sobre la sustentabilidad de sus sistemas productivos y empresariales. Este riesgo está asociado principalmente a ambientes con lluvias escasas y altamente variables. Es por ello, que para hacer rentables y estables los sistemas agrícolas es necesario utilizar la mayor cantidad de agua posible y en forma eficiente, dentro de un marco sostenible. De acuerdo con Mercau et al. (2014), la fertilización nitrogenada del maíz permite aumentar la productividad del agua derivada de las escasas y variables lluvias de la región centro de San Luis, mejorando el rendimiento promedio y reduciendo el riesgo económico. Por otra parte, se conoce que el cultivo de maíz está fuertemente condicionado por el uso de fertilizantes nitrogenados y la disponibilidad de agua en el suelo (Maddonni et al., 2003), especialmente el agua disponible alrededor de la floración (Ferraris y Couretot, 2014). El crecimiento del cultivo de maíz depende de la eficiencia de intercepción de la radiación solar incidente y de la eficiencia con la que esta es transformada en materia seca. Cuando la disponibilidad de nitrógeno es baja, la producción de biomasa es afectada a través de las alteraciones en el tamaño y actividad de las fuentes de fotoasimilados (crecimiento de hojas y duración del área foliar), que regulan los procesos de intercepción de luz y la eficiencia en el uso de la radiación interceptada (Dreccer et al., 2003), generando un impacto directo en el rendimiento del cultivo, que puede ser evaluada a través de su función ecofisiológica (Andrade et al., 1996):
1 GTD Chacra San Luis (Aapresid); 2 Cambio Rural II (INTA); 3 CTZ Sistemas Chacras (Aapresid), 4 Tecnoagro S.R.L.; 5 INTA San Luis.
Rendimiento =
Eficiencia de intercepción
Eficiencia de conversión
Radiación Incidente X X X
Índice de cosecha
En la Tabla 4.1 se presentan los valores de requerimientos de los principales nutrientes para producir una tonelada de grano de maíz, el índice de cosecha y los valores de extracción en grano (García, 2005). Para San Luis, se recomienda utilizar 18 kg N/ha necesarios para producir una tonelada de grano de maíz (Mercau, com. pers.).
Tabla 4.1. Requerimientos y extracción en grano de nutrientes para producir una tonelada de grano de maíz.
Nutriente Requerimiento
El nitrógeno (N) es el nutriente más comúnmente deficiente para la producción de maíz. Su deficiencia produce una coloración verde claro a amarillenta en las hojas (clorosis), debido a la reducción en el contenido de clorofila y a la senescencia anticipada, comenzando esta sintomatología en las hojas basales como se observa en la Figura 4.1 (Colazo, 2015).
Los métodos de diagnóstico de deficiencia de N, intentan predecir la probabilidad de respuesta a la fertilización a partir de la disponibilidad de N disponible en el suelo (suma del N de nitratos del suelo y el N del fertilizante) y/o en planta, y el requerimiento previsto para un determinado nivel de rendimiento (García, 2005). Con un buen diagnóstico, es posible optimizar los niveles de N en la planta y mantener la capacidad fotosintética del cultivo para asegurar la máxima producción, además de evitar la sobre-fertilización con N que sea potencialmente perjudicial para el ambiente (Salvagiotti et al., 2011).
Figura 4.1. Ensayo de fertilización nitrogenada en maíz tardío perteneciente a la Chacra San Luis, al momento del cuaje. Tratamientos a) 140 kg N/ha a la siembra, b) 75 kg N/ha a la siembra y c) testigo sin fertilizar. (Campaña 2014/15).
El proceso de diagnóstico es la primer etapa del manejo de la fertilización del cultivo de maíz, a partir del cual se determina la dosis de N a aplicar, aspecto central ya que es previo a la definición de los aspectos tecnológicos como la selección del tipo de fertilizante, momentos y formas de aplicación del N (Figura 4.2).
Figura 4.2. Esquema general de un plan de fertilización. Adaptado de García, 2005. a b c
Según Colazo (2015), la falta de información local sobre niveles de suficiencia de N en planteos de secano (región semiárida), hacen suponer que los mismos varían entre 100 y 125 kg N/ha, para rendimientos objetivos de entre 6000 y 8000 kg/ha. A partir de este vacío de información, los miembros de la Chacra San Luis se plantearon como interrogante cuáles son los criterios que ayudarían a definir la dosis de fertilizante nitrogenado en maíz. Por lo que resulta necesario, analizar la respuesta del cultivo de maíz a la fertilización nitrogenada en dos épocas de siembra y la eficiencia con que usa el agua en diferentes escenarios ambientales (zonas productivas a lo largo de un gradiente hídrico).
2.1. Objetivos Generales
a) Optimizar la nutrición del cultivo de maíz en los sistemas productivos en secano de la Chacra San Luis.
b) Mejorar la productividad del agua en los distintos ambientes explorados en secano por la Chacra San Luis, en términos de rendimiento.
2.2. Objetivos Específicos
a) Generar una herramienta de decisión para definir la dosis de fertilización nitrogenada en maíces tempranos y tardíos en los principales ambientes de la Chacra San Luis10
b) Cuantificar la productividad del agua del cultivo de maíz con diferentes niveles de fertilización nitrogenada en siembras tempranas y tardías.
3. Metodología
El presente trabajo está compuesto por dos etapas de análisis. La primera de ellas, se basó en la caracterización de la producción del cultivo de maíz en la zona centro de San Luis. Para ello fue necesario recopilar información histórica de lotes de producción. Dichos datos fueron aportados por los miembros de la Chacra San Luis (estudios de casos de la Regional Aapresid San Luis), correspondientes a establecimientos próximos a las localidades de Barranquitas, San Martín, Liborio Luna, Alto Pelado, Fraga, Villa mercedes,
10 A) Modelo agronómico simple para definir la fertilización nitrogenada en maíces tempranos y tardíos de secano en el centro de San Luis. B) Curvas de respuesta simuladas con Ceres-Maize.
Cte. Granville, Paso de las Carretas, Eleodoro Lobos, Cuatro Esquinas, Donovan, El Amparo, La Cumbre y La Petra. Con ello, se generó una base de datos durante las campañas 2009/10 a la 2015/16, que permitió analizar cuáles son los rendimientos logrados y su variabilidad según campaña agrícola y zona productiva, y además detectar cuáles son las tecnologías de fertilización comúnmente empleadas por el grupo.
La segunda etapa consistió en la instalación de experimentos de campo, realizados entre las campañas 2013/14 y 2015/16 en lotes de producción en el centro de la provincia de San Luis (entre 33.18° a 34.06° S y entre 65.77° a 66.17° W). Estos ensayos a su vez fueron distribuidos siguiendo un gradiente hídrico, y se condujeron en condiciones de secano bajo siembra directa y con antecesor soja. La información generada permitió definir 21 situaciones de N disponible a la siembra (N-NO3 a 60 cm + N fertilizante), como resultado de la combinación de sitio (zona productiva x campaña agrícola) y niveles de N aplicado a la siembra. En todos los casos se sembraron los híbridos de maíz más utilizados por los productores de la Chacra San Luis a 52 cm de distancia entre surco. A continuación se describen en detalle los ensayos conducidos a campo.
3.1. Descripción general de los ensayos
El área de estudio fue clasificada en 4 zonas de diferente potencial productivo, de acuerdo a un gradiente de precipitación media anual y al tipo de suelo (Tabla 4.2). De este modo, en la campaña 2013/14 quedaron instalados 5 ensayos con maíces sembrados en fecha tardía (20 de noviembre ± 10 días), habiendo 2 ensayos en la zona 2 (Tabla 4.3).
Tabla 4.2. Características de las zonas productivas donde se llevaron a cabo los ensayos de la Chacra San Luis (INTA 2006, 2000 y 1992).
Zona Productiva 1 2 3 4
Lluvia histórica (mm/año) > 700 700-600 600-500 < 400
Tipo de suelo
Haplustol entico
Haplustol entico; Ustortente típico Ustortente típico; Haplustol entico Torripsament típico
Textura superficial Franco Franco-Arenoso Areno-franco Arenoso
En las campañas 2014/15 y 2015/16 se instalaron un total de 16 ensayos (Tabla 4.3), es decir 8 ensayos por campaña, que a su vez se dividieron en 4 ensayos con maíces sembrados en fechas tempranas (10 de octubre ± 10 días) y 4 ensayos en fechas tardías (20 de noviembre ± 10 días).
Los tratamientos en cada ensayo, consistieron en 6 niveles de N agregado como fertilizante (Urea o UAN, según manejo del productor) incorporado a la siembra. Las dosis fueron: 0, 25, 50, 75, 100 y 140 kg N/ha, con 2 repeticiones para el tratamiento testigo (0 kg N/ha) y 3 repeticiones para el tratamiento en donde se aplicó 75 kg N/ha (Figura 4.3).
Cada unidad experimental (parcela) cubrió entre 0.17 a 2 ha y el manejo de cada ensayo fue igual al de un lote comercial, con siembra y cosecha mecánicas.
Tabla 4.3. Descripción del manejo de los ensayos de fertilización nitrogenada de la Chacra San Luis, durante las campañas agrícolas 2013/14, 2014/15 y 2015/16. Campaña Agrícola 2013-2014 Zona
Empresa Jupace GDO SerBeef Los Estribos Bailleres Comercial
Campo Los Algarrobitos Sta. Marg. La Cleides La Primavera La Lucre
Antecesor soja soja soja soja centeno
Fecha de siembra 28/11/13 01/12/13 03/12/13 28/11/13 11/12/13
Híbrido DK7210 ARV2181 ADV8319 DK670 DK684
(pl/ha)
Empresa Jupace Gonfer SerBeef Los Estribos Bailleres Comercial
Campo Los Algarrobitos El Mangrullo Fraga La Primavera La Lucre
Antecesor soja soja soja soja soja soja soja Soja
Fecha de siembra 21/10/14 08/12/14 08/10/14 17/11/14 13/10/14 08/12/14 10/10/14 04/12/14
Híbrido DK7310 DK7310 DK670 DK670 ADV8112 P1845Y DK747 DK7210
Logro (pl/ha) 51000 55500 48000 48000 45500 35000 32800 33000 Campaña Agrícola 2015-2016
Zona Productiva 1 2 3 4
Empresa Jupace Gonfer SerBeef SerBeef Los Estribos Bailleres Comercial
Campo Los Algarrobitos El Mangrullo La Cleides PDC La Nena La Lucre
Antecesor soja soja soja soja soja soja soja Soja Fecha de siembra 09/11/15 02/12/15 20/10/15 17/11/15 28/10/15 07/12/15 22/10/15 02/12/15
Híbrido DK670 DK670 DK670 ADV8112 DK670 DK670 DK747 DK747
Logro (pl/ha) 53500 58500 45000 39000 49000 37500 33500 40000
Figura 4.3. Diseño de los ensayos de fertilización nitrogenada en maíces tempranos y tardíos de la Chacra San Luis.
3.2. Mediciones en planta y suelo.
Muestreo y determinaciones en el cultivo de maíz
Se midió la densidad lograda (Tabla 4.3) a través del recuento del número total de plantas, en 2 segmentos de 19 m de longitud cada uno, cuando las plantas tuvieron al menos cuatro hojas expandidas (V4).
En madurez fisiológica (MF) se midió la biomasa11 del cultivo en los tratamientos N0, N75, N140. En cada parcela se cosecharon todas las plantas en dos surcos centrales continuos a lo largo de 1.92 m, de las cuales se separaron los granos que fueron pesados en estufa a 65 °C durante 48 hs. Una vez obtenida la biomasa de granos se calculó el índice de cosecha (materia seca en granos / materia seca total). Ver en Anexo 1.
Análisis químico de los suelos en distintos momentos del ciclo del maíz temprano y tardío
Previo a la siembra se tomaron muestras compuestas de suelo en la profundidad de 0-20 cm (20 submuestras) para la determinación en laboratorio de: N-nitratos (ppm); fósforo extractable (ppm); azufre (S-SO4, ppm), carbono, pH, materia orgánica y contenido de arena (Anexo 2). Se tomaron muestras compuestas en el estrato de 20-60 cm (20 submuestras), para determinar nitratos y pH. Aprovechando muestras destinadas a
11 Para emplear en la generación de curvas de respuesta simuladas con Ceres-Maize.
- 100 -
humedad se midió nitratos y pH hasta los 200 cm en la campaña 2013/14 y 2015/16, y hasta los 220 cm en la campaña 2014/15.
En el momento de cuaje de los granos (R2) y en madurez fisiológica (MF) se midió el contenido de nitratos12 en los tratamientos N0, N75, N140. Dicha medición se realizó en el estrato de 0-40 (10 submuestras), y a partir de las muestras destinadas a humedad en los estratos de 40-100 y 100-200, para la campaña 2013/14. En la campaña 2014/15 se midió el contenido de nitratos de 0-60 (10 submuestras) y a partir de las muestras destinadas a humedad en los estratos de 60-100, 100-160 y 160-220 cm. Finalmente para la campaña 2015/16, los nitratos se midieron en cuaje en el estrato de 0-60 (10 submuestras), mientras que en MF se midieron de 0-60 y a partir de las muestras destinadas a humedad en los estratos de 60-100 y 100-200.
Rendimiento y sus componentes
Se cosecharon todas las parcelas mecánicamente determinando el rendimiento y el contenido de humedad del material pesado a campo. Finalmente se extrajeron alícuotas de grano para determinar el peso de 1000 granos (P1000) y el contenido de N en grano13 en las parcelas centrales de N0, N75 y N140. El número de granos se estimó indirectamente a partir del rendimiento y el P1000.
Eficiencia de uso del recurso agua
La disponibilidad hídrica de cada ensayo se midió hasta 280 cm, cada 20 cm, en tres momentos del ciclo del cultivo de maíz: 1) siembra, 2) cuaje de granos y 3) madurez fisiológica, para todas las repeticiones de los tratamientos N0, N75, N140.
A partir del dato de humedad gravimétrica (Ec.1) y conociendo la densidad aparente (Dap) de cada suelo donde se instalaron los ensayos, se calculó la humedad volumétrica (Ec.2) para dejar representada gráficamente la dinámica del agua, desde la siembra hasta MF de los tratamientos testigo (N0) y fertilizados (N75, N140).
H° Gravim. [gr/gr] = (Peso suelo húmedo – Peso suelo seco) / Peso suelo seco (Ec.1)
H° Volumétrica [cm3/cm3] = H° Gravimétrica [gr/gr] * Dap [gr/cm3] (Ec.2)
12 Para emplear en la generación de curvas de respuesta simuladas con Ceres-Maize.
13 Para emplear en la generación de curvas de respuesta simuladas con Ceres-Maize.
Con el dato de H° Volumétrica convertido a Lámina (Ec.3) se calculó la oferta de agua a lo largo del ciclo del cultivo, el consumo del maíz desde siembra a MF (Ec.4) y la eficiencia en el uso del agua (Ec.5), para los tratamientos N0, N75 y N140. La oferta total de agua se obtuvo de la suma del agua útil a la siembra y las precipitaciones ocurridas durante el ciclo del cultivo, sin considerar otras fuentes de aportes (napa, o escurrimiento desde zonas más elevadas en el terreno).
Lámina [mm] = H° Volumétrica [cm3/cm3] * Profundidad [mm] (Ec.3)
Consumo [mm] = H° siembra - H° MF + PP ciclo del cultivo (Ec.4)
EUA [kg grano/mm] = Rendimiento / Consumo (Ec.5)
Aprovechamiento del agua [%] = (Consumo / Oferta Total) * 100 (Ec.6)
Para determinar el agua útil en cada perfil de suelo estudiado (Ec.6), se estimaron las constantes hídricas de punto de marchitez permanente (PMP) y capacidad de campo (CC) a partir de los datos de textura y materia orgánica para cada horizonte, empleando las funciones propuestas en Soil Water Characteristics (software de acceso libre USDA), se ajustaron las mediciones de humedad obtenidos a campo a las funciones de retención hídrica propuestas por el software. Finalmente se estimó la productividad del agua (Ec.7) para los tratamientos N0, N75 y N140.
Agua útil del perfil [mm] = Σ Lámina - PMP (Ec.6)
Productividad del agua [kg/mm] = Rendimiento / Oferta total de agua (Ec.7)
Análisis económico
Para asegurar la máxima rentabilidad que el cultivo de maíz le aporta a la empresa agropecuaria, y el eventual impacto ambiental de la aplicación de dosis elevadas de N, es necesario estimar las dosis óptimas económicas (DOE) para cada zona productiva (Salvagiotti et al., 2011). Para ello, se ajustaron las curvas de respuesta entre la dosis de N y el rendimiento, para utilizar posteriormente la primera derivada de la función (eficiencia en el uso del N o EUN), obteniendo la respuesta económica en cada nivel de N aplicado, considerando la relación de precios (10:1) entre el N y el grano de maíz.
4. Resultados
4.1. Caracterización de la producción de maíz en la zona centro de San Luis.
4.1.1. ¿Cuál fue el rendimiento máximo y medio logrado por los productores miembro de la Chacra San Luis?
Se generaron curvas de probabilidad acumulada de rendimiento, con los datos de la Regional Aapresid San Luis, correspondientes a 7 campañas agrícolas (desde 2009/10 a la 2015/16). De allí se obtuvieron los rendimientos máximo alcanzable (percentil P95), promedio (percentil P50) y mínimo (percentil P05), con los cuales se pudo estimar la brecha de rendimiento (P95-P50) y el rango de rendimientos (P95-P05). El rendimiento máximo alcanzable por los miembros de la Chacra San Luis fue de 9795 kg/ha, mientras que el medio o logrado fue 5938 kg/ha. Dichos valores permitieron estimar la brecha productiva media de las 7 campañas analizadas, cuyo valor hallado fue 3857 kg/ha, representando el 39 % del rendimiento máximo alcanzable (Figura 4.4). Valor similar de brecha fue estimado por Barbero y Coyos (2016) para el cultivo de soja en la zona centro de San Luis (brecha= 40 %), dejando al descubierto el efecto de la alta variabilidad ambiental que enfrentan los productores a la hora de producir.



Figura 4.4. Probabilidad acumulada del rendimiento de maíz alcanzado por los miembros de la Chacra San Luis, para el período 2009-2016. Con n= 917. Rendimiento máximo alcanzado (P95= 9795) y rendimiento medio (P50= 5938).
- 103 -
P50
P95
4.1.2. Variabilidad del rendimiento de maíz.
Para poder identificar cuáles son las posibles causas de las variaciones en los rendimientos alcanzados y qué importancia relativa tienen, se realizó un análisis de la varianza (ANVA). El 59% de la varianza total en los rendimientos, no pudo ser explicado por los factores ambientales y de manejo considerados en el análisis, es decir que esta variación fue debida a otros factores. De la porción restante, los factores zona productiva y campaña agrícola explicaron el 89 % de la variabilidad observada.
Efecto Campaña
Se puede deducir que las diferencias entre campañas, son ocasionadas por efecto de condiciones climáticas distintas entre años (precipitaciones, temperaturas y niveles de radiación solar). Las campañas agrícolas evaluadas muestran un rendimiento máximo alcanzable (P95) que puede variar entre 8090 a 11098 kg/ha, existiendo un rango de brecha de 2610 kg/ha a 4332 kg/ha (Tabla 4.4).
Tabla 4.4. Valores de rendimiento máximo alcanzable (P95); rendimiento medio (P50), brecha productiva (P95-P50) y número de casos (n), para el cultivo de maíz analizado por campaña.
Campaña Agrícola
P95 (kg/ha) P50 (kg/ha) Brecha productiva Brecha productiva Número de casos (kg/ha) (%) (n)
2009-2010 8210 5600 2610 32 70
2010-2011 10332 6000 4332 42 130
2011-2012 8090 3913 4177 52 136 2012-2013 8635 5756 2879 33 154 2013-2014 9200 5649 3551 39 208 2014-2015 10167 7435 2732 27 139
2015-2016 11098 7623 3475 31 80
Los valores de brechas productivas hallados fueron elevados en todas las campañas analizadas. Es evidente que aún se puede mejorar la productividad de los cultivos, tanto en años potencialmente buenos como en años desfavorables. Para analizar gráficamente esta situación, se analizó el conjunto de datos a través de curvas de probabilidad acumulada de rendimiento, discriminadas por campaña (Figura 4.5). En dicha Figura se puede observar que las siete campañas evaluadas presentan diferentes rendimientos
Figura 4.5. Probabilidad acumulada del rendimiento de maíz alcanzada por campaña agrícola, por los miembros de la Chacra San Luis durante el período 2009-2016.
Para evaluar la estabilidad productiva de los miembros de la Chacra San Luis entre campañas, se calculó el coeficiente de variación (CV) promedio de cada campaña. El CV medio fue del 39%. Esto indica que los productores enfrentan una alta variabilidad, posiblemente debida a la diversidad de suelos explorados y las condiciones climáticas. Es interesante analizar el CV en función del rendimiento medio logrado en cada campaña. Las campañas con mayores niveles de CV se asociaron con los menores rendimientos medios, tendiendo a ser menor el CV a medida que el rendimiento fue incrementándose
- 105máximos alcanzables y medios, atribuibles a una correlación positiva con las precipitaciones (datos no mostrados). Las campañas 2014-2015 y 2015/16 fueron las de mayor rendimiento máximo alcanzable (10167 kg/ha y 11098 kg/ha respectivamente) y rendimiento medio (7435 kg/ha y 7623 kg/ha respectivamente), y registraron las brechas más bajas de la serie analizada (2732 y 3475 kg/ha respectivamente), debido a que ambos años fueron muy buenos ambientalmente, reduciendo las diferencias absolutas. Por el contrario, en la campaña 2011-2012 con un ambiente climático poco favorable, el rendimiento máximo alcanzable fue 8090 kg/ha y la brecha productiva fue la mayor de la serie (52%).
(Figura 4.6). Las campañas de mayor rendimiento se asociaron a mejores condiciones hídricas. Esto indicaría que en campañas donde las condiciones son más limitantes (principalmente la oferta hídrica), la importancia de otros factores comienzan a ser relevantes. Dentro de estos factores están incluidas todas las prácticas agronómicas utilizadas para evitar la caída del rendimiento y su variabilidad. Por esta razón, la clave para mejorar los rendimientos y asegurarnos su estabilidad, reside en la construcción de nuevos conocimientos vinculados al cultivo en su interacción con el ambiente, al propio ambiente y a las interacciones que ocurren entre las decisiones de manejo y el ambiente (Vega, 2015).
Figura 4.6. Relación entre el rendimiento medio de maíz (kg/ha) y el coeficiente de variación del rendimiento de maíz (%) alcanzado por los miembros de la Chacra San Luis, en el período 2009-2016.
Sin embargo, el CV presenta la desventaja de reflejar la variabilidad tanto en valores superiores como inferiores al promedio de rendimiento. Si en cambio, se relaciona el rendimiento medio del maíz (kg/ha) con el piso de rendimiento (percentil 20), a medida que el rinde medio aumenta, el riesgo de obtener rendimientos bajos (inferiores a P20) disminuye (Figura 4.7).
2009-2010 2010-2011 2011-2012 2012-2013 2013-2014 2014-2015 2015-2016
Figura 4.7. Relación entre el rendimiento medio de maíz (kg/ha) y el rendimiento piso (P20) de dicho cultivo alcanzado por los miembros de la Chacra San Luis, en el período 2009-2016.
Efecto zona de producción
¿Las zonas de producción se comportan diferentes en cuanto a distribución de rendimientos?
En la Figura 4.8 se puede apreciar que la zona 1 y 2 tuvieron un comportamiento similar, mientras que en las zonas 3 y 4 la distribución de rendimientos fue diferente. Los valores medios de rendimiento fueron de 7509, 7169, 5000 y 2300 kg/ha para las zonas 1, 2, 3 y 4 respectivamente (Tabla 4.5). Los valores de rendimientos máximos alcanzables para las zonas 1 y 2 son similares. La zona 4 se destaca por presentar en términos generales rendimientos máximos alcanzables y especialmente los rindes medios, sensiblemente inferiores al resto de las zonas.
Tabla 4.5. Valores de rendimiento máximo alcanzable (P95); rendimiento medio (P50), brecha productiva (P95-P50) y número de casos (n), para el cultivo de maíz analizado por zona productiva.
Zona Productiva P95 (kg/ha) P50 (kg/ha)
Brecha productiva
Brecha productiva Número de casos (kg/ha) (%) (n)
4.1.3. ¿En qué época estamos sembrando el maíz?
La elección de la fecha de siembra, es una de las prácticas agronómicas que mayor influencia tienen sobre el cultivo en la determinación del rendimiento. Esta práctica depende de las condiciones ambientales, la rotación y de las características del híbrido, y a diferencia de otras prácticas, no implica un cambio en los costos de producción. En una primera instancia el período de crecimiento está definido por la época de ocurrencia de heladas. En San Luis, el periodo libre de heladas va desde el 17 de noviembre al 28 de marzo con una probabilidad de ocurrencia menor al 10 %. Otro aspecto importante para la elección de la fecha de siembra lo constituyen las temperaturas sub y supra óptimas, las cuales pueden tener efectos negativos sobre el maíz en diferentes etapas de su ciclo de crecimiento (Otegui y López Pereira, 2003). Las temperaturas sub óptimas pueden ocurrir al principio del ciclo como al final, según la época de siembra. Siembras muy tempranas (septiembre para San Luis) pueden provocar un alargamiento excesivo de la etapa germinación - emergencia, dando lugar a un menor coeficiente de logro, afectando la uniformidad del cultivo. Cuando las fechas de siembra son muy tardías, las plantas suelen instalarse muy rápido y en forma exitosa (con disponibilidad hídrica), pero el período de llenado de los granos ocurre en ambientes poco favorables (baja temperatura y radiación, alto riesgo de heladas tempranas).
Respecto a las temperaturas supra óptimas, se ha observado que en maíz las altas temperaturas ocurridas durante antesis, pueden determinar una disminución en la viabilidad del polen y consecuentemente una disminución en el número de granos fijados; por otra parte el llenado de los granos puede verse afectado seriamente con temperaturas superiores a los 35 °C, comúnmente denominado “golpe de calor” (Otegui y López Pereira, 2003).
Los miembros de la Chacra San Luis, siembran desde la primera década de octubre a la tercera década de diciembre. Se consideran siembras tempranas las que ocurren durante el período de 1° década de octubre a 1° década de noviembre, y como siembras tardías a las siembras efectuadas a partir de la 2° década de noviembre hasta la 3° década de diciembre. Como puede observarse en la Figura 4.9, durante las siete campañas evaluadas (2009/10 a 2015/16), el 66 % de los lotes fueron sembrados por los productores de la Chacra con maíz tardío y el 34 % restante con maíz temprano.
Figura 4.8. Probabilidad acumulada del rendimiento de maíz alcanzada en distintas zonas productivas, por los miembros de la Chacra San Luis, durante el período 2009-2016.
Figura 4.9. Porcentajes de lotes sembrados con maíz en siembras tempranas y tardías por los productores de la Chacra San Luis, durante el período 2009-2016.
A pesar que los rendimientos máximos alcanzados por el cultivo podría optimizarse eligiendo fechas de siembra que tiendan a ubicar el período crítico en épocas con cocientes fototermales altos, la presencia de ciertas restricciones ambientales (período libre de heladas, disponibilidad hídrica, etc.) impide el uso de este criterio como elemento de decisión.
Si se considera cada zona productiva por separado, se pudo constatar que no siempre los maíces tempranos exploraron mejores ambientes fototermales, logrando mayores rendimientos potenciales, como es el caso de las zonas 3 y 4 (Figura 4.10).
En la zona 1 en general, las fechas tempranas permitieron explorar mayores rendimientos del cultivo de maíz. Cabe remarcar que los rendimientos máximos alcanzados fueron similares entre fechas de siembra (Figura 4.10). En la zona 2 en cambio, las fechas de siembra temprana muestran un mejor comportamiento productivo en lotes con rendimientos superiores a la media, mientras que las fechas tardías lograron mejores rendimiento en ambientes de baja productividad (25 % de los lotes de menor productividad). Esto sugiere que siembras tardías permiten levantar los pisos de rendimientos en ambientes restrictivos lo que constituye una herramienta para disminuir riesgos (Figura 4.10).
Figura 4.10. Probabilidad acumulada de los rendimientos de maíz alcanzados por los miembros de la Chacra San Luis con fechas de siembra tempranas y tardías por zona productiva, en el período 2009-2016.
4.1.4. Fertilización del cultivo de maíz en la zona centro de San Luis.
La dosis de N aplicada explicó el 10 % de la variabilidad del rendimiento del cultivo de maíz. Registros de los productores de la Chacra San Luis, indican que el 88 % de los lotes con maíz fueron fertilizados (Figura 4.11). Los miembros de la Chacra emplean distintas fuentes de N, fósforo y azufre, generalmente a la siembra y aplicados en bandas incorporadas o chorreadas según la formulación del fertilizante, o al voleo. Los fertilizantes nitrogenados que aplican los productores en maíz son: Urea, Nitrocomplex y UAN con 46, 20 y 32 % de elemento N en su composición, respectivamente (Casafe, 2011), mientras que los fertilizantes fosfatados empleados son: fosfato diamónico, fosfato monoamónico, superfosfato simple y superfosfato triple con 18, entre 10-12, 0 y 0 % de N en su composición (Casafe 2011). Finalmente, el Solmix utilizado como fuente de azufre (aportado por el tiosulfato de amonio en su formulación), contiene 28-30 % N (aunque éste es preparado según necesidades del cliente).

Figura 4.11. Porcentaje de lotes de maíz fertilizados durante el período 2009-2016 por los productores de la Chacra San Luis.
Los productores de la Chacra San Luis en promedio fertilizan sus lotes con 36 kg N/ha a la siembra, mientras que el 25 % de los lotes más fertilizados reciben dosis superiores a los 55 kg N/ha (Figura 4.12), no habiéndose registrados dosis mayores a los 100 kg N/ha.
Figura 4.12. Probabilidad acumulada del nitrógeno (N) aplicado a la siembra (kg/ha) por los productores miembro de la Chacra San Luis, durante el período 2009-2015.
En cuanto a los productos fertilizantes más empleados por los miembros de la Chacra San Luis, se destaca la urea (especialmente en fechas de siembras tardías), seguida por el empleo de MAP (Figura 4.13). Es importante resaltar que en muy pocos lotes se registró el voleado de urea. En general, este producto es incorporado al suelo al momento de la siembra, reduciendo de esta forma pérdidas por volatilización generadas por las altas temperaturas alcanzadas especialmente en siembras tardías. Cabe mencionarse que la volatilización es el proceso por el cual el amonio en el suelo pasa a amoníaco gaseoso, representando una pérdida significativa de N cuando se aplica urea o fertilizantes con urea en su composición, como así también fuentes amoniacales sobre suelos con reacción alcalina (Rodríguez y Torres Duggan, 2015).
¿Se fertiliza igual en todas las zonas productivas según fecha de siembra del maíz?
En la Figura 4.14, se puede observar que en la zona 1 la fertilización es mayor en siembras tempranas que en tardías, debido a que el contenido de N disponible del suelo es menor. Esto puede ser explicado por la menor contribución de la mineralización de la materia orgánica del suelo (baja temperatura y humedad del suelo). En la zona 2, la fertilización de maíces tardíos es marcadamente inferior a lo observado en la zona 1, probablemente por una mayor mineralización del N desde la MO. En la zona 4, el patrón de fertilización es similar al de zona 1 y 2 (mayores dosis de N en siembras tempranas), a Media
diferencia de lo que sucede en la zona 3 (se fertiliza más en siembras tardías), que podría explicarse por un mejor escenario ambiental explorado por el cultivo y por ende una mayor respuesta al agregado de N.
Figura 4.13. Porcentaje de los fertilizantes aplicados por los miembros de la Chacra San Luis, según fecha de siembra, durante el período 2009-16.
Figura 4.14. Probabilidad acumulada del Nitrógeno aplicado a la siembra de maíz temprano y tardío según zona productiva, en el período 2009-2016.
Independientemente de la zona productiva y la fecha de siembra del maíz, aquellos lotes que fueron fertilizados, obtuvieron rendimientos absolutos mayores respecto a los lotes no fertilizados (Figura 4.15), salvo la fecha temprana en la zona 3, donde no se registraron incrementos importantes de rendimiento por adicionar N al suelo.
En la Tabla 4.6 se muestran los rendimientos medios logrados por zona según fecha de siembra y los requerimientos de nitrógenos (kg/ha) necesarios para lograr dichos rindes, que fueron obtenidos por medio del Balance Teórico (empleando 18 kg N/Tn grano producida). Por otra parte, en la misma tabla se muestran los kg N/ha aplicados en promedio por los productores de cada zona según fecha de siembra, con lo cual fue posible calcular el contenido de N aportado desde el suelo (mineralización aparente de N) para lograr los rendimientos medios indicados. Cabe destacar que en fechas de siembra temprana en la zona 4, el cultivo de maíz no aprovechó el fertilizante aplicado probablemente por la escasez de agua, dejando acumular en el suelo 22 kg N/ha.
Figura 4.15. Rendimiento de maíz (kg/ha) alcanzado en siembras tempranas (barras rojas) y tardías (barras verdes) con y sin fertilizante según zona productiva, en el período productivo 2009-2016.
Tabla 4.6. Rendimiento medio de maíces tempranos y tardíos (kg/ha) según zonas productivas, requerimiento de N por tonelada de grano producido (kg/ha), aporte medio de N (kg/ha) aplicando como fertilizante y cantidad de nutriente N (kg/ha) entregado por el suelo.
Zona FS RTO medio (kg/ha) N requerimiento N medio aplicado N suelo14
1 Tardía 5989 108 44.78 63
1 Temprana 6630 119 51.63 68
2 Tardía 5848 105 31.84 73
2 Temprana 5765 104 52.7 51
3 Tardía 4552 82 30.9 51
3 Temprana 3328 60 22.03 38
4 Tardía 3134 56 30.42 26
4 Temprana 1746 31 53.82 -22
4.2. Experimentos de fertilización nitrogenada en maíces tempranos y tardíos del centro de San Luis.
Los ensayos a campo fueron conducidos con la finalidad de generar una herramienta de decisión, para definir la dosis de fertilización nitrogenada en maíces tempranos y tardíos en los principales ambientes de la Chacra San Luis, ya que los productores no cuentan con un criterio robusto y unificado de fertilización. Algunos de los miembros afirmaron fertilizar con aproximadamente 50 kg N/ha, cuando esperan rendimientos altos para la zona (especialmente en siembras tempranas y en lotes de mayor aptitud). Mientras que el resto de los productores fertilizan siguiendo curvas de respuesta de otras zonas.
Maddonni et al., (2003) describen la respuesta del rendimiento de grano al agregado de un fertilizante mediante la ley de rendimientos decrecientes (Figura 4.16 a), donde la eficiencia de respuesta disminuye con el incremento de la dosis del producto empleado.
Ese mismo patrón de respuesta se observa en el modelo presentado por Correndo y García 2012 (Figura 4.16 b), destacando la alta variabilidad en los rendimientos logrados para una misma disponibilidad de N en los primeros 60 cm de suelo (N suelo + N aplicado), en zona núcleo.
14 El N suelo indica la mineralización aparente de N
Figura 4.16. a) Relación hipotética para un cultivo entre el rendimiento de grano y la dosis de fertilizante aplicada (Maddonni et al., 2003) y b) rendimiento de maíz (kg/ha) en función de la disponibilidad de N a la siembra del cultivo (Correndo y García 2012).
Por otra parte existen modelos que permiten estimar umbrales de N mineral, es decir, definen la concentración de nitratos en el suelo a la cual se llega a un plateau de rendimiento relativo (Figura 4.17), a partir del cual el cultivo no sigue mostrando respuesta.
Figura 4.17. Relación entre el N disponible a la siembra hasta los 60 cm de profundidad (N suelo + N fertilizante) y el rendimiento relativo en maíz, en ambientes con rendimientos máximos inferiores (puntos amarillos) y superiores a los 9520 kg/ha (puntos rojos). Tomado de Salvagiotti et al., 2011.
Para poder generar una herramienta de decisión confiable a la hora de fertilizar el maíz, es fundamental realizar un correcto diagnóstico (Figura 4.2). Para ello, es necesario conocer a) los rendimientos obtenidos por los productores de la zona; b) la historia del lote (en general la respuesta a la fertilización es mayor en lotes con prolongada historia agrícola debido a la pérdida de fertilidad de los suelos); c) cultivo antecesor (puede determinar cambios en la dinámica del nutriente -inmovilización- modificando las respuestas esperadas a la fertilización; d) rendimiento esperado y e) información de los análisis de suelos y su correcta interpretación. Cabe aclarar que el muestreo de suelos es la principal fuente de error del proceso de diagnóstico de fertilidad, superiores a los que pueden derivar de las determinaciones analíticas efectuadas en el laboratorio (Roberts y Henry, 2001). De allí la importancia de realizar un correcto muestreo de suelos, evaluando la intensidad de muestreo, la profundidad y momento de realización, como así también el adecuado acondicionamiento de las muestras de suelo (Torres Duggan, 2010).
4.2.1. Estimación del nitrógeno mineral en el perfil del suelo
La forma más común de N mineral en el suelo es el nitrato, el cual se encuentra generalmente estratificado en el perfil del suelo con mayores concentraciones a nivel superficial, como puede observarse en la Figura 4.18.
Generalmente la variación del rendimiento explicada por el N mineral del suelo, tanto en pre-siembra como en pos-emergencia, no aumenta si se incluyen capas de suelo por debajo de los 30 cm del perfil (Maddonni et al., 2003), sin embargo estos autores aconsejan medir hasta los 60 cm en aquellos lotes de texturas livianas, donde las lluvias puedan haber lixiviado el N mineral hacia capas más profundas (Figura 4.19). Álvarez (2006), pudo estimar que la concentración de nitratos decrece aproximadamente al 50 % cada 20 cm de profundidad en los primeros 60 cm de suelo (en la Pampa Ondulada y Arenosa). Dicha estimación pudo mejorarla utilizando funciones que relacionan la concentración de N mineral en superficie con la concentración en el estrato de 0-60 cm (R2 = 0.84).




Figura 4.18. Concentración de N mineral (N-NO3) en distintos estratos del perfil de un suelo con textura a) franco-arenosa, correspondiente a zona 2 y b) arenosa, correspondiente a zona 4, muestreado previo a la siembra (Chacra San Luis. Campaña agrícola 2014/15).
Figura 4.19. Concentración de N mineral (N-NO3) en distintos estratos del perfil de un suelo con textura a) areno-franca, correspondiente a zona 3 y b) arenosa, correspondiente a zona 4, muestreado previo a la siembra (Chacra San Luis. Campaña agrícola 2015/16).
Con los datos provenientes de los ensayos de fertilización nitrogenada en maíces tempranos y tardíos de la Chacra San Luis, se obtuvieron regresiones que permiten estimar el N mineral a los 60, 100 y 200 cm de profundidad, cuando los muestreos realizados fueron a los 20, 60 y 100 cm de profundidad de suelo respectivamente, con ajustes (R2) superiores a los obtenidos por Álvarez 2006 (Figura 4.20).
Figura 4.20. Relaciones entre los contenidos de N mineral en a) el estrato superficial del suelo y el estrato de 0-60 cm (R2 = 0.93); b) el estrato de 0-60 cm y el estrato correspondiente al metro (R2 = 0.95) y c) el estrato 0-100 cm y el estrato de 0-200 cm (R2 = 0.94). (Chacra San Luis. Campañas agrícolas 2013/14 - 2014/15 y 2015/16).
4.2.2. ¿Cómo fueron las características climáticas exploradas?
Durante el mes de octubre de la campaña 2013/14, las lluvias fueron superiores al valor histórico mensual en 32, 42, 50 y 10 mm para las zonas 1 y 2 (campo San Pedro), 2 (campo La Cleides), 3 (campo PDC) y 4 (campo La Lucre) respectivamente (Figura 4.21).
Sin embargo, durante enero las precipitaciones registradas fueron inferiores a la histórica del mes en 40, 41, 18 y 71 mm en las zonas 1 y 2, 2, 3 y 4 respectivamente, lo que puede haber inferido en la definición de los componentes del rendimiento, en aquellos maíces sembrados en fecha temprana (período crítico). Por otra parte, se puede observar que durante el período crítico de los maíces tardíos la oferta hídrica fue más favorable, ya que durante febrero llovieron entre 57 y 75 mm más respecto a la media histórica mensual, en las distintas zonas productivas. La campaña 2014/15 se caracterizó por una sequía moderada durante la etapa vegetativa y el período crítico del cultivo de maíz sembrado temprano salvo en la zona 4 que llovieron 104 mm más respecto al valor histórico del enero. Los maíces tardíos, en cambio, solo se expusieron a esta sequía climática durante la etapa vegetativa, ya que en floración las lluvias fueron más que abundantes, superando a la valor histórico mensual (febrero) en 111, 129, 111 y 92 mm en zonas 1 y 2, 2, 3 y 4 respectivamente (Figura 4.21). Finalmente en la campaña 2015/16 las precipitaciones se concentraron intensamente en los meses de noviembre y enero en las cuatro zonas productivas, registrando un febrero más seco que lo normal (Figura 4.21).
Con respecto a las temperaturas mensuales exploradas, tanto en 2013/14 como en 2014/15 los meses de octubre y noviembre se caracterizaron por ser cálidos respecto a los valores medios históricos (T° max. y mín. superiores a las T° máx. y mín históricas), condición que favoreció a una rápida emergencia e implantación del cultivo especialmente cuando éste fue sembrado en fecha temprana (Figura 4.22). La campaña 2015/16, presentó un octubre frío (T° máx. con 5°C por debajo del valor histórico), que provocó un leve retraso en la emergencia de las plántulas. Durante los meses de diciembre y enero, en las campañas 2013/14 y 2014/15 se registraron altas temperaturas (superiores a los 30 °C), pudiendo afectar el número de granos fijados; mientras que en la campaña 2015/16 las temperaturas fueron óptimas para el desarrollo del cultivo (Figura 4.22).




Figura 4.21. Distribución de lluvias mensuales (barras) durante las campañas agrícolas 2013/14, 2014/15 y 2015/16 e históricas (líneas), según zona productiva.
Figura 4.22. Temperaturas máximas y mínimas mensuales, durante las campañas agrícolas 2013/14, 2014/15 y 2015/16 (líneas y puntos negros). Temperaturas máximas y mínimas históricas (líneas y puntos verdes).
Elaboración propia con datos del SMN (V. Reynolds) 1971-2016.
4.2.3. Respuesta a la fertilización nitrogenada en maíces tempranos y tardíos
Se observaron diferencias estadísticamente significativas (p< 0.01) en el rendimiento de grano del cultivo de maíz, según dosis de N aplicado a la siembra (Figura 4.23). Estas diferencias estarían explicadas por una mayor senescencia foliar (Figura 4.1) y una menor cantidad de órganos fotosintéticamente activos, que generaron probablemente mermas en la disponibilidad de asimilados por los granos, coincidiendo con lo reportado por Pedrol et al., (2008).
los ensayos de
a b
Figura 4.23. Espigas obtenidas según dosis de fertilizante nitrogenado para
maíz de la Chacra San Luis en a) fecha de siembra temprana y b) tardía. (Zona 2. Campaña 2014/15).
Figura 4.24. Diferencia en altura de plantas según fecha de siembra a) maíz temprano y b) maíz tardío. (Ensayo Chacra San Luis, ubicado en zona 3. Campaña 2014/15).
También se detectaron diferencias significativas (p< 0.01) entre maíces sembrados en fechas tempranas y tardías (Figura 4.24), entre zonas productivas (Figura 4.8) y entre campañas agrícolas (Figura 4.5), no observándose interacción significativa entre dosis de N y las variables zona, campaña y fecha de, ni en sus interacciones triples y cuádruples.
¿Cómo manejamos la alta variabilidad de respuesta del cultivo de maíz al agregado de N?
Como puede observarse en la Figura 4.25, el rendimiento del cultivo de maíz sembrado en fechas tempranas y tardías en las cuatro zonas productivas, fue muy variable entre campañas agrícolas para una misma disponibilidad de nutriente (N), a pesar de haberse conducido los ensayos en similares condiciones climáticas (años húmedos).
Figura 4.25. Rendimiento de maíces tempranos y tardíos (kg/ha) en función de la disponibilidad de N a la siembra, durante las campañas 2013/14, 2014/15 y 2015/16, para las cuatro zonas productivas.
La elevada variabilidad verificada dificultó la obtención de modelos de respuesta del cultivo de maíz al agregado de N, para toda la región de estudio. Esta situación pudo revertirse al analizar conjuntamente la zona y fecha de siembra.
ZONA 1. Maíz Temprano
Los rendimientos obtenidos en esta zona para maíces tempranos, oscilaron entre los 8300 y 11630 kg/ha, durante las dos campañas evaluadas (Anexo 3 a).
La respuesta a la fertilización nitrogenada fue altamente significativa (p< 0.01), según se muestra en Anexo 4, aunque con distinta magnitud según la campaña agrícola considerada (Figura 4.26), pudiéndose apreciar a través de las pendientes de las curvas, que reflejan la respuesta a N en términos del aumento del rendimiento en grano por cada unidad de N disponible en el sistema (EUN). La respuesta al agregado de N (incremento de rendimiento en grano causado por la fertilización) para la campaña 2014/15 fue de 2920 kg/ha utilizando una dosis de 100 kg N/ha, mientras que en 2015/16 dicho incremento fue de 1911 kg/ha.
Se destaca el potencial productivo de esta zona y la capacidad de mineralización de los suelos, ya que sin fertilizar se obtuvieron rindes de 8300 kg/ha en la campaña 2014/15 y de 9719 kg/ha en la campaña siguiente (Figura 4.26).
Figura 4.26. Rendimiento de maíz temprano (kg/ha) en función de la disponibilidad de N a la siembra.
Para la obtención de la DOE, se ajustaron las curvas de respuesta (Figura 4.26) considerando solamente la aplicación de N y el rendimiento (Figura 4.27 a) debido a un mejor ajuste del modelo (R2= 0.68) respecto al que contempla el N disponible (suelo + fertilizante) (R2= 0.12) (Figura 4.27 b), para utilizar posteriormente la pendiente de la curva (EUN) y obtener la respuesta económica en cada nivel de N aplicado, considerando la relación de precios (10:1) entre el N y el grano de maíz. La DOE calculada fue de 83 kg N/ha (Figura 27 a).
Figura 4.27. Modelos predictivos simples del rendimiento de maíz (kg/ha) en función del a) N aplicado a la siembra y b) N disponible a la siembra. DOE = 83 kg N/ha para la relación de precios (10:1).
La eficiencia agronómica o respuesta del cultivo a la fertilización nitrogenada fue de 26 kg grano maíz/ kg N aplicado. La misma fue calculada como la relación entre los rendimientos medios de los tratamientos N75 y N0 (Ec. 8), por ser los tratamientos que contaron con repeticiones.
EA15= (Rendimiento medio N75 - Rendimiento medio N0) / N aplicado (75 kg N/ha) (Ec. 8)
El N aportado por el suelo a través de la mineralización fue de 126 kg/ha para el máximo rendimiento alcanzado (11630 kg/ha), calculado de acuerdo al balance de N teórico que consideró un requerimiento de 18 kg N /Tn grano, descontándole la DOE. En la campaña 2014/15 para el maíz la oferta inicial de N fue de 100 kg N/ha (0-60 cm) al momento de la siembra y con el perfil al 50 % de agua útil (121 mm) a los 2 m de profundidad, mientras que el aporte de agua de lluvia fue de 353 mm durante el período siembra (S) - cuaje de granos (R2). En la campaña 2015/16, el maíz tuvo a la siembra 48 kg N/ha (0-60 cm), el perfil a capacidad de campo (CC) con 608 mm (0 - 2 m) y un aporte de lluvias entre S y R2 de 608 mm.
En cuanto a la magnitud de la respuesta del cultivo al agregado de N, se observó que la mayor respuesta estuvo asociada a mayores contenidos de N del suelo (0-60 cm) a la siembra (Anexo 5), menor contenido de agua útil (mm) en los dos metros de profundidad
15 Eficiencia Agronómica.
(Anexo 6) y a la menor oferta de lluvias durante el período de siembra a cuaje de granos (Anexo 7), probablemente debido al lavado de nitratos.
En síntesis, el N del suelo disponible a la siembra no mejoró el ajuste del modelo predictivo (Figura 4.27), debido probablemente al exceso hídrico.
ZONA 1. Maíz Tardío
Los rendimientos obtenidos en esta zona para maíces tardíos, oscilaron entre los 8812 y 10976 kg/ha, durante las tres campañas evaluadas (Anexo 3 b). La respuesta a la fertilización nitrogenada fue significativa (p< 0.05) solo en la campaña 2014/15, no habiéndose registrado diferencias en los otros dos años de evaluación según se muestra en Anexo 4, aunque se evidencia una cierta tendencia según campaña agrícola (Figura 28), pudiéndose apreciar a través de las pendientes de las curvas. El incremento de rendimiento en grano para la campaña 2013/14 fue de 977 kg/ha entre el tratamiento sin fertilizar y el tratamiento fertilizado con 75 kg N/ha, en la campaña 2014/15 fue de 2091 kg/ha entre el tratamiento testigo y el fertilizado con 100 kg N/ha, mientras que en 2015/16 dicho incremento fue de 1403 kg/ha para las repeticiones del tratamiento 75 kg N/ha. Por otra parte, se destaca el potencial productivo y la contribución de la mineralización del N desde la MO en los suelos de esta zona, ya que sin fertilizar se obtuvieron rindes de 9349 kg/ha en la campaña 2013/14, 8812 kg/ha en la campaña 2014/15 y de 9946 kg/ha en la campaña siguiente (Figura 4.28).
Para la obtención de la DOE, se ajustaron las curvas de respuesta (Figura 4.28) considerando solamente la aplicación de N y el rendimiento (Figura 4.29 a) debido a un mejor ajuste del modelo (R2= 0.28) respecto al que contempla el N disponible (R2= 0.05) (Figura 4.29 b), para utilizar posteriormente la EUN y obtener la respuesta económica en cada nivel de N aplicado, considerando la relación de precios (10:1) entre el N y el grano de maíz. La DOE calculada fue de 24 kg N/ha (Figura 29 a).
Figura 4.28. Rendimiento de maíz tardío (kg/ha) en función de la disponibilidad de N a la siembra.
Figura 4.29. Modelos predictivos simples del rendimiento de maíz (kg/ha) en función del a) N aplicado a la siembra y b) N disponible a la siembra. DOE = 24 kg N/ha para la relación de precios (10:1). a b
El N aportado por la mineralización de N orgánico del suelo fue de 173 kg/ha para el máximo rendimiento alcanzado (10976 kg/ha), calculado de acuerdo al balance de N teórico (requerimiento= 18 kg N /Tn grano), descontándole la DOE. En la campaña 2013/14 el contenido de N inicial fue de 53 kg N/ha (0-60 cm) al momento de la siembra y con el perfil al 89 % de agua útil (212 mm) a los 2 m de profundidad, mientras que el aporte de agua de lluvia fue de 384 mm durante el período siembra (S)floración (R1). En la campaña 2014/15, el maíz tuvo a la siembra 154 kg N/ha (0-60 cm), el perfil al 75 % de agua útil con 178 mm (0 - 2 m) y un aporte de lluvias entre S y R1 de 419 mm. En la siguiente campaña de evaluación, el suelo tuvo a la siembra 50 kg N/ha (060 cm) y el perfil a capacidad de campo (246 mm) en el estrato de 0 a 2 m, mientras que el aporte de agua de lluvia fue de 419 mm durante el período siembra (S) - floración (R1).
La única campaña (2014/15) en la que se registró respuesta al agregado de N, las condiciones climáticas fueron de altas precipitaciones (entre siembra y floración) y de bajo contenido de agua útil al momento de la siembra (Anexo 6 y 8).
En cuanto a los modelos predictivos, se observó que la inclusión del contenido de N mineral del suelo a la siembra no mejoró el ajuste del modelo (Figura 4.29), evidenciando posiblemente la influencia del lavado de nitratos derivado de los excedentes hídricos.
ZONA 2. Maíz Temprano
Los rendimientos obtenidos en los ensayos de esta zona para maíces tempranos, oscilaron entre los 5864 y 9177 kg/ha, durante las dos campañas evaluadas (Anexo 3 c).
La respuesta a la fertilización nitrogenada fue altamente significativa (p< 0.01) en la campaña 2014/15 y no significativa en la campaña 2015/15 (p> 0.05), según se muestra en Anexo 4, aunque se puede observar una tendencia de respuesta positiva en este último caso (Figura 4.30). El incremento de rendimiento en grano para la campaña 2014/15 fue de 3313 kg/ha entre el tratamiento sin fertilizar y el tratamiento fertilizado con 140 kg N/ha, mientras que en 2015/16 dicho incremento fue de 1610 kg/ha entre el tratamiento sin fertilizar y el tratamiento fertilizado con 100 kg N/ha.
El rendimiento sin aplicar fertilizante nitrogenado fue de 6479 kg/ha en la campaña 2014/15 y de 7085 kg/ha en la campaña siguiente, rendimientos que reflejan la capacidad productiva del suelo en las condiciones exploradas (Figura 4.30).
Figura 4.30. Rendimiento de maíz temprano (kg/ha) en función de la disponibilidad de N a la siembra.
Para la obtención de la DOE, se ajustaron las curvas de respuesta (Figura 4.31). Debido a un similar ajuste entre los modelos (R2= 0.67 vs. 0.68) se escogió aquel que considera el N disponible (Figura 4.31 b), por contar con el indicador N de suelo, para utilizar posteriormente EUN y obtener la respuesta económica en cada nivel de N aplicado, considerando la relación de precios (10:1) entre el N y el grano de maíz. La DOE calculada fue de 208 kg N/ha al cual debe descontarse los kg N aportados por el suelo (Figura 31 b).
Figura 4.31. Modelos predictivos simples del rendimiento de maíz (kg/ha) en función del a) N aplicado a la siembra y b) N disponible a la siembra. DOE = 208 kg N/ha - N suelo, para la relación de precios (10:1).
La eficiencia agronómica o respuesta del cultivo a la fertilización nitrogenada fue de 21 kg grano maíz / kg N aplicado (empleando la Ec. 8).
El N aportado por el suelo a través de la mineralización del N orgánico fue de 5 kg/ha para el máximo rendimiento alcanzado (9177 kg/ha), calculado de acuerdo al balance de N teórico (18 kg N /Tn grano), descontándole la DOE (208 kg N/ha - 48 kg N/ha 0-60 cm).
En la campaña 2014/15 el suelo disponía de 48 kg N/ha (0-60 cm) al momento de la siembra del maíz y el 24 % de agua útil (67 mm) a los 2 m de profundidad. El aporte de de lluvia fue de 157 mm durante el período siembra (S) - cuaje de granos (R2).
En la campaña 2015/16, el maíz tuvo a la siembra 35 kg N/ha (0-60 cm), el perfil del suelo se encontraba seco, con el 18 % de agua útil (50 mm) a los 2 m de profundidad y contó con un aporte de lluvias entre S y R1 de 345 mm.
En cuanto a la magnitud de la respuesta del cultivo al agregado de N, no se observó una clara correlación entre el rendimiento máximo alcanzado y el contenido de N del suelo (060 cm) a la siembra (Anexo 5), el agua útil (mm) en los dos metros de profundidad (Anexo 6) y las lluvias durante el período de siembra a cuaje de granos (Anexo 7).
Para fechas de siembra tempranas de maíz, el N del suelo a la siembra resultó un buen predictor del rendimiento (Figura 4.31). En esta zona se destacó la alta respuesta a la fertilización nitrogenada, ya que el N aportado por el suelo alcanzó para lograr rendimientos cercanos a los 6500 kg/ha, mientras que sin limitación de N se lograron rindes superiores a los 9000 kg/ha.
ZONA 2. Maíz Tardío
Los rendimientos obtenidos en esta zona para maíces tardíos, oscilaron entre los 6433 y 11404 kg/ha, durante las tres campañas evaluadas (Anexo 3 d).
La respuesta a la fertilización nitrogenada fue altamente significativa (p< 0.01) solo en la campaña 2015/16 (Anexo 4), aunque en las dos campañas anteriores se pudo observar una clara tendencia de respuesta y de distinta magnitud (Figura 4.32), pudiéndose apreciar a través de las pendientes de las curvas. El incremento de rendimiento en grano para la campaña 2013/14 fue de 1736 kg/ha (campo La Cleides - Serbeef) y de 1807 kg/ha (campo Sta. Margarita - GDO), entre el tratamiento sin fertilizar y el tratamiento fertilizado con 75 kg N/ha. En la campaña 2014/15 el incremento de rinde fue de 4112 kg/ha entre el tratamiento testigo y el fertilizado con 140 kg N/ha, mientras que en 2015/16 dicho incremento fue de 1672 kg/ha entre el tratamiento sin fertilizar y el tratamiento fertilizado con 75 kg N/ha.
Figura 4.32. Rendimiento de maíz tardío (kg/ha) en función de la disponibilidad de N a la siembra.
Para la obtención de la DOE, se ajustaron las curvas de respuesta en dos modelos (Figura 4.32). Debido a un similar ajuste entre dichos modelos (R2= 0.53 vs. 0.54) se escogió aquel que considera el N disponible (Figura 4.33 b), por contar con el indicador N de suelo, para utilizar posteriormente la EUN y obtener la respuesta económica en cada nivel de N aplicado, considerando la relación de precios (10:1) entre el N y el grano de maíz. La DOE calculada fue de 181 kg N/ha (Figura 4.33 b).
Figura 4.33. Modelos predictivos simples del rendimiento de maíz (kg/ha) en función del a) N aplicado a la siembra y b) N disponible a la siembra. DOE = 181 kg N/ha para la relación de precios (10:1).
La eficiencia agronómica o respuesta del cultivo a la fertilización nitrogenada fue 20 kg grano maíz/ kg N aplicado. La misma fue calculada como la relación entre los rendimientos medios de los tratamientos N75 y N0 (Ec. 8), por ser los tratamientos que contaron con repeticiones.
El N aportado por el suelo fue de 24 kg/ha para el máximo rendimiento alcanzado (11404 kg/ha), calculado de acuerdo al balance de N teórico (18 kg N/Tn grano), descontándole la DOE.
En la campaña 2013/14 el maíz partió con 47 kg N/ha (0-60 cm) al momento de la siembra y con el perfil al 72 % de agua útil (201 mm) a los 2 m de profundidad, mientras que el aporte de lluvia fue de 183 mm durante el período siembra (S) - floración (R1). En la campaña 2014/15, el maíz tuvo a la siembra 89 kg N/ha (0-60 cm), el perfil se encontraba seco (29 % de agua útil) con 81 mm (0 - 2 m) y un aporte de lluvias entre S y R1/R2 de 263 mm. En la siguiente campaña de evaluación, el suelo tuvo a la siembra 42 kg N/ha (0-60 cm) y el perfil húmedo con 78 % de agua útil (219 mm) en el estrato de 0 a 2 m, mientras que el aporte de agua de lluvia fue de 273 mm durante el período S a R1/R2. En síntesis, se observó mayor respuesta al agregado de N en condiciones de bajos contenidos de nitratos a la siembra y mayor cantidad de agua útil inicial (Anexo 5 y 6). a b
ZONA 3. Maíz Temprano
Los rendimientos obtenidos en esta zona para maíces tempranos, oscilaron entre los 5101 y 9778 kg/ha, durante las dos campañas evaluadas (Anexo 3 e).
La respuesta a la fertilización nitrogenada no fue estadísticamente significativa (p> 0.05), según se muestra en Anexo 4. Sin embargo, como se observa en la Figura 4.34 se puede apreciar una tendencia de respuesta al agregado de N. El incremento de rendimiento en grano para la campaña 2014/15 fue de 1845 kg/ha entre el tratamiento sin fertilizar y el tratamiento fertilizado con 140 kg N/ha, mientras que en 2015/16 dicho incremento fue de 2142 kg/ha, entre ambos tratamientos.
Figura 4.34. Rendimiento de maíz temprano (kg/ha) en función de la disponibilidad de N a la siembra.
Para la obtención de la DOE, se ajustaron las curvas de respuesta (Figura 4.34) considerando solamente la aplicación de N y el rendimiento (Figura 4.35), debido a un mejor ajuste del modelo respecto al que contempla el N disponible. La DOE se calculó a partir de la primera derivada de la función (aplicación de N y rendimiento diferencial16) para obtener la respuesta económica en cada nivel de N aplicado (Figura 4.35 b), considerando la relación de precios (10:1) entre el N y el grano de maíz (DOE=161 kg/ha).
16 RTO Diferencial = rendimiento absoluto de cada tratamiento - rendimiento medio del testigo
Figura 4.35. Modelos predictivos simples del a) rendimiento relativo del maíz (kg/ha) y b) rendimiento diferencial (kg/ha) en función del N aplicado a la siembra. DOE = 161 kg N/ha para la relación de precios (10:1).
La eficiencia agronómica o respuesta del cultivo a la fertilización nitrogenada fue de 14 kg grano maíz/ kg N aplicado. La misma fue calculada como la relación entre los rendimientos medios de los tratamientos N75 y N0 (Ec. 8), por ser los tratamientos que contaron con repeticiones. El N aportado por el suelo fue muy variable entre ambas campañas.
En la campaña 2014/15 el maíz partió con 50 kg N/ha (0-60 cm) al momento de la siembra y con el perfil al 62 % de agua útil (129 mm) a los 2 m de profundidad, mientras que el aporte de lluvia fue de 148 mm durante el período siembra a floración/cuaje de granos. En la campaña 2015/16, el maíz tuvo a la siembra 30 kg N/ha (0-60 cm), el perfil a capacidad de campo con 219 mm (0 - 2 m) y un aporte de lluvias entre S y R2 de 340 mm. Para siembras tempranas de maíz en esta zona, se observó una correlación similar entre la respuesta al agregado de N y los variables N inicial (0-60 cm), AU inicial (0-2 m) y lluvias (S - R1/R2), en ambos ensayos evaluados (Anexo 5, 6 y 7).
Se destaca la igualdad en la tendencia de respuesta al agregado de N, para el rango de rendimientos explorados (2000 kg/ha aprox.), pudiéndose ajustar un modelo consistente para el cálculo de la DOE.
ZONA 3. Maíz Tardío
Los rendimientos obtenidos en esta zona para maíces tardíos, oscilaron entre los 5499 y 10415 kg/ha, durante las tres campañas evaluadas (Anexo 3 f).
La respuesta a la fertilización nitrogenada fue significativa (p< 0.05) salvo en la campaña 2014/15 (Anexo 4), aunque en dicha campaña se evidenció una tendencia de respuesta (Figura 4.36).
El incremento de rendimiento en grano para la campaña 2013/14 fue de 1684 kg/ha entre el tratamiento sin fertilizar y el tratamiento fertilizado con 140 kg N/ha, mientras que en la campaña 2014/15 fue de 1768 kg/ha entre el tratamiento testigo y el fertilizado con 100 kg N/ha. Por último en la campaña 2015/16 dicho incremento fue de 1334 kg/ha entre el tratamiento sin fertilizar y el tratamiento fertilizado con 140 kg N/ha
Por otra parte, se destaca el potencial productivo de esta zona, ya que sin fertilizar con N se obtuvieron rindes superiores a los 9000 kg/ha (campaña 2015/16) (Figura 4.36), explicado principalmente por el diferente contenido de materia orgánica y la subsiguiente contribución de la mineralización de N (Figura 4.37).
Figura 4.36. Rendimiento de maíz tardío (kg/ha) en función de la disponibilidad de N a la siembra.
Para la obtención de la DOE, se ajustaron las curvas de respuesta (Figura 4.36), obteniendo dos modelos de acuerdo a la productividad del ambiente. El ambiente de
menor productividad se obtuvo de las campañas 2013/14 y 2014/15, con rendimientos inferiores a los 9000 kg/ha (Figura 4.38 a), mientras el ambiente de mayor productividad estuvo representado por la campaña 2015/15, en la cual se obtuvieron rendimientos superiores a los 9000 kg/ha (Figura 4.38 b). En ambos modelos se consideró solamente la aplicación de N y el rendimiento de maíz, debido a un mejor ajuste de los modelos respecto a los que contemplaban el N disponible. A partir de dichas funciones se utilizó EUN para obtener la respuesta económica en cada nivel de N aplicado, considerando la relación de precios (10:1) entre el N y el grano de maíz. La DOE calculada fue de 65 y 49 kg N/ha, para ambientes de menor y mayor productividad respectivamente (Figura 4.38).
Figura 4.37. Contenido de materia orgánica (%) en el estrato 0-20 cm al momento de la siembra, durante las campañas 2013/14, 2014/15 (Campo La Primavera) y 2015/16 (Campo La Nena).
Figura 4.38. Modelos predictivos simples del rendimiento de maíz (kg/ha) en función del N aplicado a la siembra en a) ambientes de menor productividad y b) ambientes de mayor productividad. DOE = 65 y 49 kg N/ha para la relación de precios (10:1), respectivamente.
La eficiencia agronómica o respuesta del cultivo a la fertilización fue 13 kg grano maíz / kg
N aplicado. La misma fue calculada como la relación entre los rendimientos medios de los tratamientos N75 y N0 (Ec. 8), por ser los tratamientos que contaron con repeticiones.
El N aportado por el suelo fue de 66 y 138 kg/ha para los máximos rendimientos alcanzados (7290 y 10415 kg/ha) en los ambientes de menor y mayor productividad respectivamente, calculado de acuerdo al balance de N teórico (requerimiento= 18 kg N/Tn grano), descontándole las DOE según ambiente.
En la campaña 2013/14 la cantidad de N a la siembra fue de 37 kg N/ha (0-60 cm) y con el perfil húmedo, 87 % de agua útil (183 mm) a los 2 m de profundidad, mientras que el aporte de lluvia fue de 285 mm durante el período S-R1. En la campaña 2014/15, el maíz dispuso a la siembra 96 kg N/ha (0-60 cm), el perfil moderadamente seco (43 % de agua útil) con 90 mm (0 - 2 m) y un aporte de lluvias entre S y R1 de 250 mm. En la siguiente campaña de evaluación, el suelo tuvo a la siembra 42 kg N/ha (0-60 cm) y el perfil sobresaturado de agua (263 mm) en el estrato de 0 a 2 m, mientras que el aporte de lluvia fue de 414 mm durante el período siembra a floración. Como se mencionó en párrafos anteriores, aquellos sitios con bajos contenidos de materia orgánica (i.e. sitios con mayor potencial ambiental) tuvieron mayores respuestas al agregado de N. Sin embargo, el N del suelo no aportó el ajuste de los modelos como variable predictiva de las respuestas.
ZONA 4. Maíz Temprano
Los rendimientos obtenidos en esta zona para maíces tempranos, variaron entre los 1470 y 5737 kg/ha, durante las dos campañas evaluadas (Anexo 3 g). La respuesta a la fertilización nitrogenada no fue significativa (p > 0.05), según se muestra en Anexo 4. Sin embargo, se evidenció una asociación significativa entre el rendimiento y el N disponible en la campaña 2015/16 (Figura 4.39). Por otra parte, cabe mencionar que en la 2014/15, el ensayo fue dañado durante el período vegetativo del maíz por fauna nativa (venados de las pampas).
El incremento de rendimiento en grano para la campaña 2015/16 fue de 1600 kg/ha entre el tratamiento fertilizado con 25 y 140 kg N/ha.
Figura 4.39. Rendimiento de maíz temprano (kg/ha) en función de la disponibilidad de N a la siembra.
La respuesta al agregado de N fue muy variable entre las campañas agrícolas evaluadas. En la campaña 2015/16 la eficiencia agronómica o respuesta del cultivo a la fertilización, fue de 18 kg grano maíz/ kg N aplicado (empleando la Ec. 8).
El rendimiento estuvo asociado principalmente al factor hídrico de la campaña (agua útil inicial y lluvias durante siembra - floración en la campaña 2015/16), como se observa en los Anexos 6 y 7. Por lo tanto, es esperable que se manifiesten respuestas a la fertilización nitrogenada en condiciones hídricas favorables para la expresión del rendimiento.
ZONA 4. Maíz Tardío
Los rendimientos obtenidos en esta zona para maíces tardíos, fluctuaron entre los 5956 (2015/16) y 9708 kg/ha (2014/15), sin contemplar los rendimientos logrados en la campaña 2013/14 que variaron entre los 877 y 1506 kg/ha (Anexo 3 h). Los bajos rendimientos obtenidos en la campaña 2013/14 se explicarían por la escasa disponibilidad hídrica al momento de la siembra (Anexo 6), ya que el cultivo fue antecedido por centeno (Tabla 4.3) y el perfil del suelo no pudo recargarse (Anexo 8).
La respuesta a la fertilización nitrogenada fue altamente significativa (p< 0.01) solo en la campaña 2014/15, no habiéndose registrado diferencias estadísticas en los otros dos años de evaluación según se muestra en Anexo 4.
El incremento de rendimiento en grano para la campaña 2014/15 fue de 1355 kg/ha entre el tratamiento testigo y el fertilizado con 75 kg N/ha, mientras que en 2015/16 dicho incremento fue de 2016 kg/ha para las repeticiones del tratamiento 75 kg N/ha.
Por otra parte, se destaca el potencial productivo de esta zona, ya que sin fertilizar se obtuvieron rindes de 8364 kg/ha en la campaña 2014/15 (Figura 4.40).
Figura 4.40. Rendimiento de maíz tardío (kg/ha) en función de la disponibilidad de N a la siembra.
Con la información disponible, no fue posible determinar la causa del incremento en el rendimiento del maíz entre las campañas 2014/15 y 2015/16. Además, la alta variabilidad explorada entre años dificultó la obtención de un modelo predictivo robusto.
A continuación, se muestra en la Figura 4.41 la curva de respuesta al agregado de N y la DOE calculada a partir de la primera derivada de la función, considerando la relación de precios (10:1) entre el N y el grano de maíz (DOE= 65 kg/ha).
¿Qué indicador permite predecir la cantidad de N que aporta el suelo?
La materia orgánica (MO), es considerada uno de los factores fundamentales de la fertilidad de los suelos, donde se encuentra el 95% de la reserva total de N del suelo. Asimismo, influye favorablemente sobre la estabilidad de la estructura del suelo, la
susceptibilidad a la erosión y la densidad aparente (Alvarez et al., 2002). Estos autores, afirman que en muchas oportunidades no es posible detectar una relación directa entre el contenido de MO del suelo y el rendimiento de los cultivos a nivel de lotes de producción, debido a la incidencia de otros factores determinantes del rendimiento (e.g. precipitaciones, manejo cultural, nivel de fósforo disponible, problemas sanitarios, etc).
Figura 4.41. Modelo predictivo simple del rendimiento de maíz (kg/ha) en función del N aplicado a la siembra (Campaña 2014/15). DOE = 65 kg N/ha para la relación de precios (10:1).
Sin embargo, para la zona centro de San Luis se pudo determinar una relación directa entre la MO del suelo y el rendimiento del maíz, a través de datos provenientes de los ensayos de la Chacra San Luis, durante el período 2013-2016 (Figura 4.42). Este hallazgo nos indica que la MO juega un rol fundamental en la nutrición de este cultivo y en la fertilidad de los suelos. Así, podemos comprender fácilmente que el maíz es muy sensible a los cambios en la condición de fertilidad edáfica y depende en gran medida de la mineralización del N desde el humus (Alvarez et al., 2002); de allí que este cultivo responde a los años de agricultura, cuando no se fertiliza (Figura 4.37).
Figura 4.42. Relación entre los contenidos de MO (%) en el estrato de 0-20 cm del suelo y el rendimiento de maíz (kg/ha) obtenido sin fertilizar. (Chacra San Luis. Campañas agrícolas 2013/14 - 2014/15 y 2015/16)17
4.2.4. Productividad y consumo del agua
Como se desprende de la información presentada anteriormente, la fertilización con N aumentó el rendimiento en todas las zonas productivas, tanto en maíces sembrados temprano como tarde, durante las tres campañas de evaluación, salvo en maíz tardío (2013/14) y temprano (2014/15) de zona 4.
La productividad del agua ofrecida (en términos de la generación de rendimiento en grano derivada de la oferta hídrica disponible) durante el ciclo del maíz (temprano y tardío), aumentó con la fertilización nitrogenada (Anexo 9), debido a una mayor eficiencia en el uso del agua.
El consumo a los 2 m de profundidad fue superior en la mayoría de los casos, respecto a los tratamientos sin fertilizar, por lo que se pudo observar una reducción en la pérdida de agua en profundidad al momento del cuaje de los granos (Figura 4.43), especialmente en la campaña 2013/14.
17 Se descartaron los valores correspondientes a maíz tardío 2013/14 y temprano 2014/15 de zona 4, a los fines de mejorar el ajuste de la recta (R2= 0.485 a R2= 0.591).
Figura 4.43. Contenido volumétrico de agua en el perfil de suelo para los tratamientos testigo (0N) y fertilizados (75N, 140N) durante el estado de cuaje de los granos del maíz (Campaña 2013/14).
4.5. Comentarios finales
Con los análisis efectuados en el presente capítulo, se pudieron obtener modelos simples de respuesta al agregado de N, para cada zona productiva y fecha de siembra de maíz, que apoyará al productor/técnico en las decisiones de manejo.
La respuesta del cultivo de maíz al agregado de N, dependió de la capacidad de entrega de N del suelo (rendimiento del testigo sin fertilizar) y la potencialidad del ambiente sin limitación de N.
La MO es un buen indicador para estimar a nivel zonal la cantidad de N que aporta el suelo, ya que se evidenció una asociación significativa entre el rendimiento del maíz no fertilizado y el contenido de MO.
Las curvas de rendimiento acumulado permiten definir rendimientos objetivos para cada zona productiva. Según cuanto N aporte el suelo y conociendo el potencial del ambiente, tenemos modelos que predicen la respuesta del cultivo de maíz al agregado de N
Es necesario replicar los ensayos de fertilización nitrogenada en maíz en condiciones de años normales o secos, en las cuatro zonas productivas.
Se generaron nuevas demandas: i) saber si los modelos predictivos que solo contemplan el N aplicado, podrían mejorarse a través de muestreos de suelo en estados más avanzados del cultivo (V6) y ii) determinar si el lavado de N en años
húmedos, puede evitarse fertilizando en forma postergada, fraccionada o cambiando la fuente empleada.
La fertilización nitrogenada permite aumentar la productividad del agua en la región, mejorando los rendimientos medios.
4.6. Agradecimientos
Al Ing. Agr. Martín A. Ibarra por ser quien estuvo a cargo de la instalación y el seguimiento de los ensayos de fertilización nitrogenada de maíces tempranos y tardíos de la Chacra San Luis, durante el período 2013-2014.
4.7.
Bibliografía
Alvarez, R. 2006. Balance de nitrógeno en cultivos de trigo. Información técnica de trigo campaña 2006. Publicación miscelánea N° 105. INTA EEA Rafaela.
Alvarez R., Alvarez C.R., Steinbach H.S., Salas J.M. y S. Grigera. 2002. Materia orgánica y fertilidad de los suelos en la Pampa Ondulada. Informaciones Agronómicas del Cono Sur. N° 14.
Andrade, F.H., Cirilo A.G., Uhart S.A. y M.E. Otegui.1996. Ecofisiología del cultivo de maíz. Ed. La Barrosa. INTA, FCA-UNMP. Balcarce, Argentina.
Barbero, V.E. y T. Coyos. 2016. Soja en San Luis: ¿Cuáles son los planteos más productivos? Red de Innovadores. Revista Técnica Soja. Aapresid. pp 63 - 78.
Casafe. 2011. Guía de productos fitosanitarios. Tomo I y II. Buenos Aires, Argentina.
Colazo, J.C. 2015. Nutrición mineral y fertilización. Aspectos generales. En: El cultivo de maíz en San Luis. Eds: J.A.Garay y J.C. Colazo. Información Técnica 188. Ed. INTA. pp 70 - 81.
Colazo, J.C. y R. Rivarola. 2015. Producción de maíz en la provincia de San Luis. En: El cultivo de maíz en San Luis. Eds: J.A.Garay y J.C. Colazo. Información Técnica 188. Ed. INTA. pp 1 - 5.
Correndo y García. 2012. Alternativas de diagnóstico para el manejo nutricional en cultivos extensivos. En: www.lacs.ipni.net
Dreccer M.F., Ruiz R., Maddonni G.A. y E.H. Satorre. 2003. Bases ecofisiológicas de la nutrición en los cultivos de grano. En: Producción de granos. Bases funcionales para su manejo. Ed. Facultad de Agronomía, Universidad de Buenos Aires. Cap. 18. pp 479 - 497.
Ferraris, G. y L. Couretot. 2014. Elección de ambientes, rendimiento y fertilización de maíz según fecha de siembra. XII Curso Internacional de Agricultura de Precisión. 24 y 25 de septiembre. Manfredi, Córdoba. AR.
García, F.O. 2005. Criterios para el manejo de la fertilización nitrogenada del cultivo de maíz. INPOFOS. Capacitación Agropecuaria. Córdoba, Argentina.
INTA. 2006. Carta de Suelos de la República Argentina. Hoja San Luis. Provincia de San Luis.
INTA. 2000. Carta de Suelos de la República Argentina. Hoja Villa Mercedes. Provincia de San Luis.
INTA. 1992. Carta de Suelos de la República Argentina. Hojas Martín de Loyola y Varela. Provincia de San Luis.
Maddonni G., Ruíz R., Vilariño P. e I. García de Salamone. 2003. Fertilización en los cultivos de grano. En: Producción de granos. Bases funcionales para su manejo. Ed. Facultad de Agronomía, Universidad de Buenos Aires. Cap. 19. pp 499 - 557.
Mercau, J.L., Ibarra M.A. y E.G. Jobbagy. 2014. Productividad y consumo de maíz tardío en el centro de San Luis (Argentina): Cambios provocados por la fertilización nitrogenada. Revista IPNI 2014. pp 24 - 26.
Otegui, M.E. y M.López Pereira. 2003. Fecha de siembra. En: Producción de granos. Bases funcionales para su manejo. Ed. Facultad de Agronomía, Universidad de Buenos Aires. Cap. 12. pp 257 - 275.
Pedrol, H.M.; Castellarin, J.M.; Ferraguti, F.; Rosso, O. 2008. Respuesta a la fertilización nitrogenada y eficiencia en el uso del agua en el cultivo de maíz según nivel hídrico.
Informaciones agronómicas N° 40. pp 17 - 20.
Roberts, T.L. y J.L. Henry. 2001. El muestreo de suelos: los beneficios de un buen trabajo.
Informaciones Agronómicas N° 42. En: http://www.ipni.net/publication/ia-lahp.nsf/issue/IALAHP-2001-1
Rodríguez, M.B y M. Torres Duggan. 2015. Caracterización de los fertilizantes, enmiendas, abonos y su calidad agronómica. En: Fertilidad de suelos y fertilización en la Región Pampeana. Alvarez, R. (ed). Facultad de Agronomía (UBA). pp 369-400.
Salvagiotti, F., Castellarín J.M., Ferraguti F.J. y H.M. Pedrol. 2011. Dósis óptima
económica de nitrógeno en maíz según potencial de producción y disponibilidad de nitrógeno en la región pampeana norte. Ciencia del Suelo. Capítulo 29. Tomo 2. pp 199212.
Torres Duggan, M. 2010. XIX Congreso Mundial de Suelos. Novedades y perspectivas de fertilidad de suelos y fertilización de cultivos. Fertilizar N°17. pp 26 - 28.
Vega, C. 2015. Calidad ambiental como determinante de procesos eco-fisiológicos que regulan el rendimiento en soja. XXIII Congreso de Aapresid “Biosapiens, la era del suelo”. 5, 6 y 7 de Agosto. Rosario, Santa Fe, Argentina.
4.8. Anexo
Anexo 4.1. Índice de cosecha (materia seca en granos / materia seca total) obtenido de cada tratamiento, en ensayos de fertilización nitrogenada de maíces tempranos y tardíos de la Chacra San Luis. (Campañas 2013/14 a 2015/16).
Zona Productiva
Campaña Agrícola FS maíz
0.53 sd 3 2013/14 Tardía 0.45 0.42 sd 2014/15 Temprana 0.4 0.49 0.53 Tardía 0.43 0.41 0.46 2015/16 Temprana 0.56 0.55 0.59
Tardía 0.57 0.57 0.57 4 2013/14 Tardía 0.26 0.25 sd 2014/15 Temprana 0.45 0.48 0.47 Tardía 0.5 0.53 0.57 2015/16 Temprana 0.5 sd 0.47 Tardía 0.53 0.55 0.56
Anexo 4.2. Propiedades químicas y físicas de los suelos donde se instalaron los ensayos de la Chacra San Luis durante las tres campañas de evaluación, en el estrato de 0-20 cm.
Campaña 2013/14. Maíz Tardío
Suelo Unidades
Campaña 2014/15. Maíz Temprano
Suelo
Campaña 2014/15. Maíz Tardío
Suelo
Anexo 4.2 (Continuación). Propiedades químicas y físicas de los suelos donde se instalaron los ensayos de la Chacra San Luis durante las tres campañas de evaluación, en el estrato de 0-20 cm.
Campaña 2015/16. Maíz Temprano
Suelo Unidades
Zonas Productivas
Campaña 2015/16. Maíz Tardío
Suelo Unidades
Zonas Productivas
Anexo 4.3. Rendimiento de maíz (kg/ha) en función de la dosis de N aplicada a la siembra (Tratamientos) para a) zona 1 y FS temprana, b) zona 1 y FS tardía, c) zona 2 y FS temprana, d) zona 2 y FS tardía, e) zona 3 y FS temprana, f) zona 3 y FS tardía, g) zona 4 y FS temprana, h) zona 4 y FS tardía. (Campañas agrícolas 2013/14, 2014/15 y 2015/16).
Anexo 4.4. Cuadros medios y significancia encontrada en el análisis de la varianza de fertilización nitrogenada en maíces tempranos y tardíos, evaluados en 4 zonas productivas, durante 3 campañas agrícolas.
F.V. g.l. Zona 1. Mz Tar (2013-2014)
Zona 2. Mz Tar (2013-2014)
3. Mz Tar (2013-2014)
4. Mz Tar (2013-2014)
F.V. g.l. Zona 1. Mz Tem (2014-2015)
2. Mz Tem (2014-2015)
3. Mz Tem (2014-2015)
4. Mz Tem (2014-2015)
(2015-2016)
4. Mz Tar (2016-2015)
Anexo 4.5. Contenido de nitrógeno (kg/ha) en los primeros 60 cm de suelo, según zona productiva, fecha de siembra y campaña agrícola.
Anexo 4.6. Contenido de agua útil (mm) en el estrato de 0-1 m y de 0-2 m de profundidad de suelo, según zona productiva, fecha de siembra y campaña agrícola.
Anexo 4.7. Distribución comparativa de las precipitaciones durante el ciclo del cultivo de maíz sembrado temprano, para las 4 zonas productivas bajo estudio.
Anexo 4.8. Distribución comparativa de las precipitaciones durante el ciclo del cultivo de maíz sembrado temprano, para las 4 zonas productivas bajo estudio.
Anexo 4.9. Precipitaciones durante el ciclo del cultivo de maíz temprano y tardío (mm), contenido de AU a la siembra y a MF (mm), consumo (mm), rendimiento medio (kg/ha), eficiencia en el uso del agua (kg grano/mm) y productividad del agua (kg grano/mm totales), durante las tres campañas evaluadas en las cuatro zonas productivas consideradas.
CAMPAÑA 2013-2014 ZONA 1 MAÍZTARDÍO
Tratamiento profundidad (m)
ciclo
CAMPAÑA 2013-2014 ZONA 2 MAÍZTARDÍO campo LaCleides
Tratamiento profundidad (m)
ciclo (mm)
CAMPAÑA 2013-2014 ZONA 3 MAÍZTARDÍO
Tratamiento profundidad (m)
ciclo
CAMPAÑA 2013-2014 ZONA 4 MAÍZTARDÍO
Anexo 4.9 (Continuación). Precipitaciones durante el ciclo del cultivo de maíz temprano y tardío (mm), contenido de AU a la siembra y a MF (mm), consumo (mm), rendimiento medio (kg/ha), eficiencia en el uso del agua (kg grano/mm) y productividad del agua (kg grano/mm totales), durante las tres campañas evaluadas en las cuatro zonas productivas consideradas.
CAMPAÑA 2014-2015 ZONA 1 MAÍZTEMPRANO
Tratamiento profundidad (m)
CAMPAÑA 2014-2015 ZONA 1 MAÍZTARDÍO
Tratamiento
CAMPAÑA 2014-2015 ZONA 2 MAÍZTEMPRANO
CAMPAÑA 2014-2015 ZONA 2 MAÍZTARDÍO Tratamiento
Anexo 4.9 (Continuación). Precipitaciones durante el ciclo del cultivo de maíz temprano y tardío (mm), contenido de AU a la siembra y a MF (mm), consumo (mm), rendimiento medio (kg/ha), eficiencia en el uso del agua (kg grano/mm) y productividad del agua (kg grano/mm totales), durante las tres campañas evaluadas en las cuatro zonas productivas consideradas.
CAMPAÑA 2014-2015 ZONA 3 MAÍZTEMPRANO Tratamiento profundidad (m)
CAMPAÑA 2014-2015 ZONA 3 MAÍZTARDÍO
Tratamiento profundidad (m)
CAMPAÑA 2014-2015 ZONA 4 MAÍZTEMPRANO
Tratamiento profundidad (m)
CAMPAÑA 2014-2015 ZONA 4 MAÍZTARDÍO
Tratamiento
Anexo 4.9 (Continuación). Precipitaciones durante el ciclo del cultivo de maíz temprano y tardío (mm), contenido de AU a la siembra y a MF (mm), consumo (mm), rendimiento medio (kg/ha), eficiencia en el uso del agua (kg grano/mm) y productividad del agua (kg grano/mm totales), durante las tres campañas evaluadas en las cuatro zonas productivas consideradas.
CAMPAÑA 2015-2016 ZONA 1 MAÍZTEMPRANO
Tratamiento
CAMPAÑA 2015-2016 ZONA 1 MAÍZTARDÍO
Tratamiento profundidad (m)
CAMPAÑA 2015-2016 ZONA 2 MAÍZTEMPRANO
Tratamiento
ciclo (mm)
CAMPAÑA 2015-2016 ZONA 2 MAÍZTARDÍO Tratamiento
Anexo 4.9 (Continuación). Precipitaciones durante el ciclo del cultivo de maíz temprano y tardío (mm), contenido de AU a la siembra y a MF (mm), consumo (mm), rendimiento medio (kg/ha), eficiencia en el uso del agua (kg grano/mm) y productividad del agua (kg grano/mm totales), durante las tres campañas evaluadas en las cuatro zonas productivas consideradas.
CAMPAÑA 2015-2016 ZONA 3 MAÍZTEMPRANO
Tratamiento profundidad (m)
CAMPAÑA 2015-2016 ZONA 3 MAÍZTARDÍO
Tratamiento
CAMPAÑA 2015-2016 ZONA 4 MAÍZTEMPRANO
Tratamiento profundidad (m)
CAMPAÑA 2015-2016 ZONA 4 MAÍZTARDÍO
CAPITULO 5. Indicadores de resultados económicos de las actividades agrícolas de las empresas que integran Chacra San Luis.
Vanesa E. Barbero1-2, Alberto Belgrano Rawson3
5.1. Introducción.
La gestión agropecuaria implica un conjunto de procedimientos que permiten examinar la marcha de la explotación agropecuaria y planificar un futuro sustentable del sistema (Ghida Daza et al., 2009). Generalmente, las evaluaciones de rentabilidad de las explotaciones agropecuarias, indican que las empresas más rentables son aquellas que presentan menores costos, altos rendimientos y mayor atención al manejo de suelos y cultivos (García, 2008).
El desarrollo de la agricultura en San Luis se sustenta en la viabilidad de dos objetivos económicos que se complementan, uno productivo inmediato y otro inmobiliario de mediano plazo. El primer objetivo le permite a la empresa mantener su funcionamiento y generar las ganancias esperadas. Manazza (2012), asegura que en la región semiárida las brechas de márgenes brutos entre oleaginosas y cereales son más sensibles a las restricciones de rendimiento y riesgo, por ello es mayor la competencia entre cultivos por los lotes agrícolas. El segundo objetivo, en cambio, debe atender al cuidado y agregado de valor del capital inmobiliario de la dicha empresa De allí, que los productores de la Chacra San Luis pretenden la obtención de herramientas que mejoren la gestión de los riesgos de sus empresas. Es por ello, que en este trabajo se cuantificaron con indicadores económicos simples (márgenes brutos), las diferencias entre las distintas situaciones a campo evaluadas (ensayos de fertilización nitrogenada en maíces tempranos y tardíos, ensayos de CC y combinación de GM y FS de soja).
5.2.1. Objetivo General
Integrar analíticamente los resultados físicos del sistema productivo en indicadores económicos, considerando los riesgos que enfrentan las empresas de Chacra San Luis.
1 GTD Chacra San Luis (Aapresid); 2 PA Cambio Rural II (INTA); 3 AP Cambio Rural II - INTA San Luis.
5.2.2.
Objetivos Específicos
Evaluar la estabilidad del resultado económico de siembras tempranas y tardías en maíz en los ambientes representados por la Chacra San Luis.
Evaluar el resultado económico de diferentes niveles de fertilización nitrogenada en maíces, en los ambientes representativos de la Chacra San Luis.
Evaluar el impacto de incluir CC sobre el resultado económico del sistema.
5.3. Metodología
El indicador económico para cada actividad es el margen bruto (MB), generalmente expresado por hectárea por ser la tierra el recurso productivo más limitante (Ghida Daza et al., 2009). Dicho indicador permite estimar el beneficio a corto plazo de una actividad dada. Para cada cultivo y tratamiento de los ensayos de la Chacra San Luis, se calculó el MB como la diferencia entre los ingresos brutos y los costos directos (Ec. 1). En todos los casos, se consideraron los precios de insumos y precios de grano actualizados a Diciembre de 2016 (mercosur.com). Las labores agrícolas se consideraron todas realizadas con maquinaria contratada, y los costos de las operaciones se estimaron de acuerdo a los costos operativos propuestos por FACMA. En aquellos casos en los que se convirtieron precios de insumos y productos en dólares a moneda local, se utilizó la cotización del BNA Diciembre 2016 (1U$S = 15.9 AR$). El paquete tecnológico empleado en cada cultivo fue extraído de las cartillas del establecimiento de cada productor (presentada en las reuniones mensuales del grupo Regional San Luis - Aapresid) y los precios de cada ítem, se detallan en el Anexo. Cabe mencionar que el rendimiento medio considerado en cada zona y fecha de siembra, surgieron de los ensayos conducidos por la Chacra San Luis.
5.3.1. Margen Bruto
MB = IB - CD (Ec. 1)
a) Ingresos Brutos (IB): se refiere a la producción obtenida o esperada, la que podrá tener distintos destinos (venta, almacenaje, cesiones a otras actividades, consumo). En general,
en cultivos anuales se requiere para su cálculo determinar los componentes rendimiento y precios de los productos (Ec. 2).
IB = Rendimiento x precio por unidad de producto (Ec. 2)
b) Costos Directos (CD): para determinar el costo es necesario un conocimiento detallado del proceso productivo (labores, insumos, cosecha, comercialización) y una adecuada valorización de los insumos.
5.3.2. Rendimiento de Indiferencia
El rendimiento de indiferencia (RI) es de utilidad en los cultivos agrícolas, ya que indica la producción por hectárea que cubre los costos de implantación y protección (Ec. 3). Dicho indicador es una medida del riesgo de la actividad al compararla con la productividad modal de la zona (Ghida Daza et al., 2009).
RI = (Gastos de implantación y protección) / Precio de finca20 (Ec. 3)
5.4. Resultados económicos
Maíz temprano y maíz tardío
Anteriormente, el cultivo de maíz se sembraba en una sola fecha, que variaba según la zona donde se producía. Luego, comenzó a sembrarse como cultivo de segunda, aunque en una escala menor, y finalmente se implementó la siembra en fecha tardía. El maíz tardío tiene un rendimiento potencial menor al temprano, debido a que generalmente exploran peores ambientes fototermales (Otegui y López Pereira, 2003), pero su gran ventaja es que el rendimiento mínimo suele ser mayor al obtenido en siembras tempranas, porque ubica el período crítico en una época con mayor oferta hídrica. Con un maíz temprano y en un año bueno, se pueden alcanzar altos niveles de rendimiento que aseguran buenos márgenes. Pero ante la posibilidad de rendimientos
20 Precio unitario del producto descontado los gastos de cosecha y comercialización.
Como puede observarse en el Anexo, el MB del maíz tardío muestra una menor variabilidad (excepto en la zona 2), con mínimos más altos y máximos algo menores o incluso superiores a los del maíz temprano (zonas 2 y 4), lo cual podría reducir las probabilidades de perder dinero.
Fertilización nitrogenada del maíz
Las mejores prácticas de manejo de uso de fertilizantes se basan en la aplicación de la dosis correcta de cada nutriente deficiente, utilizando una fuente de fertilizante eficiente en el momento y forma adecuados (García, 2008) Para ello, es necesario el análisis de los suelos, que permitirán determinar la probabilidad de respuesta a la fertilización. En el Capítulo 4, se ajustaron modelos de respuestas para las distintas zonas productivas de la Chacra San Luis, que permiten determinar niveles de disponibilidad de N óptimos para la producción del cultivo de maíz.
Generalmente, los productores tienden a bajar los costos variables ante dificultades económicas, por ejemplo reduciendo el uso de fertilizantes. Dicha estrategia debe ser analizada cuidadosamente, ya que el uso apropiado de fertilizantes puede incrementar el rendimiento ayudando a diluir los costos fijos y variables, disminuyendo el costo total de producción por tonelada (García 2008).
Como se observa en el Anexo, los costos de producción del maíz sembrado temprano sin fertilización, son de U$S 684 por hectárea en la zona 1, con un rendimiento logrado de 9088 kg/ha. Con máxima dosis de fertilizante nitrogenado (140 kg N/ha), el rendimiento se pudo mejorar a 11428 kg/ha con un costo total de producción de U$S 851. Esto indica que los costos por tonelada producida serían de 76 U$S/ton para el maíz sin fertilizar y de 75 U$S/ton para el maíz fertilizado.
Según García (2008), un aspecto relevante para la rentabilidad de una explotación agropecuaria, es que los mayores rendimientos obtenidos disminuyen los costos de producción por unidad de rendimiento. Ello concuerda con lo observado en las zonas 1 y 2, tanto en siembras tempranas como tardías, donde los máximos rendimientos logrados por un mayor aporte de fertilizante nitrogenado, permitieron la merma de los costos de producción por unidad de rendimiento, no siendo habiéndose observado lo mismo para las zonas 3 y 4. Es probable, que la rentabilidad del sistema deba manejarse no
- 163bajos, optar por una siembra tardía del maíz, sería la opción para asegurarse un piso de resultado.
solamente a través de la reducción de costos, sino también, logrando mayores rendimientos mediante la utilización eficiente de los recursos e insumos.
Cultivo de cobertura
El costo adicional por hacer un CC incluye la siembra (44 US$/ha aprox.) y la semilla (14 US$/ha de centeno), sumando un total de 58 US$/ha (siembra + semilla), ya que la pulverización del CC para el secado generalmente coincide con aplicaciones de barbecho. Si se logra con éxito el CC, se genera un ahorro de productos (residuales) en la aplicación respecto al barbecho (5-6 US$/ha aprox.) y además, posiblemente, se ahorre una aplicación de herbicidas en todo el ciclo (5 US$/ha aplicación + producto). Es por esto que los beneficios directos de la campaña están asociados a un ahorro en herbicidas. Puesto que la finalidad de los ensayos de CC de la Chacra no era el control de malezas, el manejo del cultivo de grano siguiente fue igual con CC y sin CC, con lo cual no se pudo realizar el cálculo de MB de ambas secuencias agrícolas. En la Tabla 5.1 se detalla el costo económico de realizar un CC vs. el barbecho tradicional, para la zona 3. Nótese que el costo adicional se ve incrementado por el uso de fertilizante y curasemilla.
Tabla 5.1 Costos totales comparativos entre hacer y no hacer CC, en zona productiva 3.
Cultivo de Cobertura
5.5. Comentarios finales
Independientemente de la zona productiva, el sembrar tarde el cultivo maíz aumenta la probabilidad de lograr un MB más alto, salvo en la zona 1.
En los años de evaluación (húmedos) de los ensayos de fertilización nitrogenada en maíces tempranos y tardíos de la Chacra San Luis, se obtuvieron MB positivos en todas las zonas productivas, y mayores MB a medida que la dosis de fertilizante nitrogenado se incrementaba en las zonas 1 y 2, mientras que en las zonas 3 y 4 el aumento del MB no se relacionó al mayor agregado de fertilizante.
Un CC debería ser pensado dentro de un sistema a largo plazo, como una inversión orientada a la mejora y/o mantenimiento de la calidad de los lotes agrícolas y a la sostenibilidad de la agricultura en los mismos.
5.6. Bibliografía
García F.O. 2008. Rentabilidad de la fertilización: Algunos aspectos a considerar. IPNI
Cono Sur. En: https://www.lacs.ipni.net
Ghida Daza C., Alvarado P., Castignani H., Caviglia J., D’Angelo M.L., Engler P., Giorgetti M., Iorio C. y C. Sánchez. 2009. Indicadores económicos para la gestión de empresas agropecuarias. Bases metodológicas. N° 11. Ed. INTA. pp 5 - 22.
Manazza F. 2012. Economía del cultivo de sorgo en San Luis. En: El cultivo de sorgo en San Luis. Información Técnica N° 183. Ed INTA. pp 111 - 117.
Mercosur.com. 2016. Precios de referencia. En: https://www.mercosur.com
Otegui M. E. y M. López Pereira. 2003. Fecha de siembra. En: Producción de granos. Bases funcionales para su manejo. Capítulo 12. pp 257 - 275.
5.7. Anexo
Tabla 5.2. Zona 1 Empresa: Jupace S.A. Cultivo: Maíz FS: Temprana
Labores
Bruto
5.3. Zona 1 Empresa: Jupace S.A.
Cultivo: Maíz
FS: Tardía
Ingreso Bruto
Labores
Insumos
Tabla
Tabla 5.4. Zona 2 Empresa: Gonfer S.A.
Maíz
Temprana
Tabla 5.5. Zona 2 Empresa: Gonfer S.A.
Cultivo: Maíz
Tardía
Tabla 5.6. Zona 3 Empresa: Serbeef S.A.
Bruto
Cultivo: Maíz FS: Temprana
5.7. Zona 3 Empresa: Los Estribos S.A.
Tabla
Cultivo: Maíz FS: Tardía
Tabla 5.8. Zona 4 Empresa: Bailleres Comercial S.A.
Cultivo: Maíz FS: Temprana
Labores
Bruto
Tabla 5.9. Zona 4 Empresa: Bailleres Comercial S.A.
Maíz FS: Tardía
Labores
Bruto
Cultivo:
Mejorar los sistemas productivos de la zona centro de San Luis en sus aspectos económicos y ambientales optimizando el uso del agua
Ing. Agr. Vanesa E. Barbero
Período 2013 - 2016