Australian Berry Journal - AUTUMN 2024 - Edition 18

Page 21

AUSTRALIAN BERRY JOURNAL

AUTUMN 2024 EDITION 18 BERRY BASKET LAUNCHED Industry 15 MECHANICAL HARVESTING
53 THRIVING IN SPACE
82 HYBRID HOTHOUSE SUCCESS
98
Blueberries
Strawberries
Rubus
What is the role of a Berry Industry Development Officer? 14 Berry Basket Marketing campaign now live 15 What a waste: Update from End Food Waste Australia 19 BerryQuest International 2025 coming to Hobart, Tasmania 24-27 February 22 Profile: Lakeview Produce & Berries, Victoria 25 Bee Connected App relaunched to assist Australian farmers and beekeepers 28 Technology: The nbn® network - empowering Australian farms 31 Technology: Have you considered digitising your visitor sign-in process? 34 Minimising the risk of power failure for your business 37 Check out the new Website Resource Library 40 Export Update: The retail landscape in Singapore, Hong Kong & Dubai 42 Export Update: Market Profile – Dubai 49 INDUSTRY European hothouse design delivers blackberry powerhouse for Tasmanian Berries 98 RB22001: Strengthening the sustainability of Rubus production 103 RB21000: Raspberry & Blackberry Integrated Pest Management Update 104 RUBUS Strawberries join new mission to inhabit space while turbo charging sustainability innovations ............. 82 Early learnings about coir reuse trials ............................................................................................................ 89 Strawberry Café: Online series ...................................................................................................................... 93 AS19003: The future’s bright, the future’s blush! ........................................................................................... 96 STRAWBERRIES AUTUMN 2024 EDITION 18 AUSTRALIAN BERRY JOURNAL Wherever you see this logo, the initiative is part of the Hort Innovation Blueberry, Strawberry and Raspberry and Blackberry Fund. Like this publication itself, it has been funded by Hort Innovation using the Blueberry, Strawberry and Raspberry and Blackberry R&D levy and funds from the Australian Government. Some projects also involve funding from additional sources. DISCLAIMER: Whilst every care has been taken in the preparation of this journal, the information contained is necessarily of a general nature and should not be relied upon as a substitute for specific advice. The advice and opinions in the articles published in Australian Berry Journal are essentially those of contributors and do not necessarily reflect the views of Berries Australia or the Editor. The advice is at the reader’s own risk, and no responsibility is accepted for the accuracy of the material presented. Inclusion of an advertisement in this publication does not necessarily imply endorsement of the product, company or service by Berries Australia or the Editor. Horticulture Innovation Australia Limited (Hort Innovation) makes no representations and expressly disclaims all warranties (to the extent permitted by law) about the accuracy, completeness, or currency of information in Australian Berry Journal. Reliance on any information provided by Hort Innovation is entirely at your own risk. Hort Innovation is not responsible for, and will not be liable for, any loss, damage, claim, expense, cost (including legal costs) or other liability arising in any way, including from any Hort Innovation or other person’s negligence or otherwise from your use or non-use of Australian Berry Journal or from reliance on information contained in the material or that Hort Innovation provides to you by any other means. Copyright © Horticulture Innovation Australia Limited 2024 Copyright subsists in Australian Berry Journal. Horticulture Innovation Australia Limited (Hort Innovation) owns the copyright, other than as permitted under the Copyright ACT 1968 (Cth). Australian Berry Journal (in part or as a whole) cannot be reproduced, published, communicated or adapted without the prior written consent of Hort Innovation. Any request or enquiry to use the Australian Berry Journal should be addressed to: Communications Manager, Hort Innovation, Level 7 | 141 Walker Street, North Sydney 2060, Australia | E: communications@horticulture.com.au | P: 02 8295 2300 ADVERTISING For all Advertising & Partnership Enquiries 0491 751 123 | admin@berries.net.au All advertising and advertorial material is subject to review and approval prior to publication. DESIGN Sama Creative | samacreative.com.au CONTRIBUTORS Jane Richter Rachel Mackenzie Anthony Poiner Simon Dornauf Andrew Bell Richard McGruddy Brett Fifield Jen Rowling Dr Angela Atkinson Mark Salter Helen Newman Wendy Morris Gaius Leong Melissa Smith Robert Hardie Ben Bonomi Mark Bayley Diana Unsworth David Cordina David Mitchell Melinda Simpson Michelle Watt Harvey Millar Dr Michael Tarbath Dr Doris Blaesing Jake Gaudion Dr Marcus Hardie David Page Philippa Lyons Nat Ivanova Jodi Neal Katie O’Connor Michele Buntain Dr Stephen Quarrell Dr Saleh Adnan Dr Hasan Rahmani Gabriella Hooper Marguerite Renouf EDITOR Jane Richter TERES Communication 0431 700 258 jane@teres.com.au Mechanical Harvesting in Blueberries – taking the intensity out of labour 53 A Case Study from Smart Berries, Crows Nest, Queensland 61 A review of nature-based systems available to treat blueberry irrigation run-off 66 Profile: Bloobs Blueberries, Tasmania 74 Pest Spotlight: Leafrollers 77 BLUEBERRIES

Executive Director's Report

Welcome to the autumn edition of the journal. It has certainly been a very hot and sticky summer up here in Queensland and it would seem that all growing regions have seen their fair share of extreme weather. An increase in extreme weather events has long been predicted as part of climate change and regardless of different viewpoints around the cause, it is clear that the climate is changing and as an industry we need to adapt.

Farmers are an incredibly adaptable bunch and if you look at the changes across the berry growing sector over the decades there has been remarkable transformation. Investment in new varieties and growing technologies has seen berry crops grown in locations that were once considered beyond comprehension.

So how does the industry get ahead of the next set of challenges? Obviously, no one has a crystal ball and things like COVID can surprise us, but we can make predictions based on existing trends and look overseas or to other commodities. We also have to acknowledge that sometimes even with the best information and models we can get it wrong (even the BoM can and does) so it is always important to weigh up the risk of acting against the consequences of doing nothing.

Interestingly, I read a recent Rabobank report that said global demand for berries was dropping with cost-of-living pressures. I was particularly interested in this quote:

No matter how challenging the current situation is, it can also be regarded as a timely wake-up call for the berry sector. The weakening market situation will prompt the berry sector to shift from a ‘focus on more’, to a ‘focus on more with less’, and eventually to a ‘focus on producing better with less’. That means a switch from producing higher volumes with correspondingly higher use of inputs, to producing better quality with fewer resources and less environmental impact.

This concept of focusing on producing better with less is something that we need to embrace as a sector. The quality issue continues to be a bugbear for the industry. Most growers, most of the time produce excellent fruit, but unfortunately at certain times of the year we still see substandard fruit on sale at the same price as the best fruit at other times of the year. The consumer has no understanding of the different varietals or even that fruit is grown in different locations at different times of the year.

Based on signals from the retailers and looking overseas, I predict that there will be an increasing differentiation within the berry categories and an increasingly discerning consumer who is not just looking at price but looking at value. One only needs to look over into the grape section to see how things are changing. My question to each of you is how are you going to meet this future challenge, what changes are you making right now to make sure you are ready and how can Berries Australia assist you to succeed?

2 INDUSTRY BERRY AUSTRALIAN JOURNAL AUTUMN 2024 EDITION 18

Chairman's Report

Anthony Poiner | 0412 010 843 | anthony@smartberries.com.au

Berries Australia celebrated its fifth birthday late last year and February marked five years since Rachel was appointed as the Executive Director. I thought it might be useful to reflect on our achievements since then, but also foreshadow where to next.

With the establishment of any new organisation comes a lot of governance, and while that does not make for exciting reading it is a critical foundation for success. The model that was established in late 2018 has served us well and we have a robust constitution and an effective committee structure at the Berries Australia level. That said, we are now at the point where we are discussing further coordination of the Peak Industry Body (PIB) committees to reduce duplication and maximise the ‘whole of berries’ focus. This is a work in progress, and I can assure you will not be done without extensive consultation.

We now have 11 team members (including sub-contractors) working to support the industry which is a long way from the team of two we had in 2019! Most of the team are employed under the Communications & Industry Development project - now on its second iterationwhich funds this journal, our website and The Burst e-newsletter. Feedback from growers is that they enjoy reading the articles from across the category.

Progress in the export space is achingly slow as it involves complex inter-government negotiations and some very technical research and development. Blueberries and strawberries have moved up the priority list for a number of export markets and the research and development has been moving ahead in leaps and bounds.

One of our priorities in 2019 was to cultivate key networks and develop a sound strategic approach to achieving our export aspirations. I am very pleased to say that we have achieved both these things and have the reputation for being sensible and measured partners with government in this arena. The big achievement will be when a new Asian market opens to berries and I have a large bottle of champagne waiting (but not on ice). If you are not across our export activities, please sign up to the Export Hub on the website at bit.ly/BA-Export

Our relationship with Hort Innovation has improved dramatically which has been the result of consistent efforts from both parties. Rachel and the team work closely with Hort Innovation at all levels to ensure the best and most effective investment of your levy. Ongoing access to chemistry and research into pest and disease management are just some of the ways in which we work with Hort Innovation to enable you to get on with the job of growing berries.

One of the most exciting developments is the recent launch of the Berry Basket marketing campaign. This campaign will pilot a whole of berries approach to marketing which has been really successful overseas. There is an article about the campaign on PAGE 15 and you can see the commercial at our YouTube channel (bit.ly/BBM-TVC), on video on demand channels like 7Plus across this year and also on digital banners outside supermarkets plus of course on social media. A campaign like this doesn’t just happen and took considerable work from Hort Innovation and Berries Australia to get up and running. We are hopeful that it will be so successful we can fund it into the future.

3 INDUSTRY

President's Report

Andrew Bell | 0422 234 124 | andrew@mountainblue.com.au

It is a bit depressing to start the year with a conversation about levies, but the government is adamant that their new biosecurity protection levy will be in force by July 2024. Obviously, this topic is of interest to all berry growers, but it is of particular interest to the blueberry industry as we do not have any compulsory levy in place

So, what is this biosecurity protection levy or BPL for short? Essentially the BPL is a levy on all primary producers to raise $50 million towards biosecurity activities undertaken by the Australian government. The BPL was first raised by Agriculture Minister Watt in last year’s budget, and it certainly was a surprise to everyone in the sector. Additional government investment in biosecurity was also announced.

To be clear, every single submission, including the one prepared by Berries Australia, opposed the biosecurity levy on the basis that biosecurity is a public good and that industry contributes significantly already to biosecurity including through emergency responses, research and development and on-farm biosecurity. Despite the unanimous industry rejection of the levy, government will most likely introduce the legislation to Parliament by the end of March.

Berries Australia will continue to work with the NFF Horticulture Council and the Australian Fresh Produce Alliance to push back on the legislation but working on the assumption that it will go ahead, it is important that growers understand the implications for their business.

Based on the most recent information from government, each industry’s contribution will be calculated based on their proportion of the total gross value of production (GVP) for agriculture. For the blueberry industry very rough estimates indicate that the sector will be obliged to contribute around $300,000 per year. Each individual grower’s contribution will be based on a per kilogram contribution and again, using rough figures, this will equate to roughly 1.5c/kg or $15 per tonne. Please be aware that this is completely separate to the ABGA voluntary levy and goes straight to Federal government treasury. Like other levies, there will most likely be an obligation to collect the levy at the first point of sale which in most cases is the wholesale market or major retailers.

Berries Australia is also concerned that horticulture, and particularly berries, is over-paying compared to other parts of Agriculture as horticulture is high value but also high cost. We consider that it is against the principles of fair taxation to tax turnover not profit. We will be raising this with government and will certainly be pushing to ensure that if the BPL does go ahead then berries need to be treated equitably.

It is disappointing that there is a new tax on farmers in the middle of a cost-of-living crisis and we have been very disappointed in how the government has introduced this tax without proper consultation. Obviously, the imposition of a compulsory levy raises the issue of a statutory research and development levy again and the ABGA committee will certainly be reviewing this.

As always, we encourage participation in the ABGA committee and the door is open to any grower who wishes to be more involved in these important conversations about the industry’s future. Please contact me or Rachel if you are interested.

4 INDUSTRY BERRY AUSTRALIAN JOURNAL AUTUMN 2024 EDITION 18

President's Report

As I write this, I am in Tonga undertaking recruitment for our PALM scheme workers. It is undeniable that the PALM scheme has been extremely beneficial for my business and a lot of Rubus growers nationally, but it is also no secret that is becoming more and more bureaucratic and costly for growers to participate.

The new requirement commencing July 2024 that workers get paid a minimum of 30 hours per week regardless of how much they work is frankly ludicrous in a business such as farming. We certainly don’t get paid by the supermarkets if we don’t send in fruit because of the weather so how can this possibly be sustainable? We absolutely acknowledge that the workers need to be guaranteed to earn enough whilst in Australia to make it worthwhile, but it should be averaged over six weeks like overtime. It is also unfair to Aussie workers who don’t get such guarantees as no-one really expects to get paid if they are not actually working.

The issue of access to labour was the top priority identified by the RABA committee at last year’s faceto-face meeting and labour is still our biggest cost. An efficient PALM scheme is one part of the solution, but we also need to look at mechanisation, technology to improve efficiency and alternative visa options. I still believe a stand-alone Agriculture visa would be extremely beneficial for our sector.

Pest and disease management was also raised as a key issue, and I am aware that there are increasing pest infestations in various parts of Australia that do not have the appropriate permits to manage them. Berries Australia and Hort Innovation held a workshop late

last year to identify key pest and disease management priorities which will hopefully ensure better coverage for Rubus in the future. In the meantime, we have been working on emergency use permits for Chilli Thrips in WA and expanding access to the insecticide and miticide Abamectin.

Increasing demand is also critical on both the domestic and global fronts. The new whole of berries marketing campaign is a great step in the right direction and enables Rubus so much more coverage than using the same amount of money for our own campaign. We do have a ‘value’ issue in Rubus in that we are perceived as expensive, although ironically that is becoming less and less the case. All the evidence suggests that we need to make an emotional connection with the consumer to overcome the cost issue and that is a strong focus of the marketing campaign. We also need to overcome the historically negative perception some consumers may have of blackberries which have improved so much over the last few years.

Export is definitely on our agenda, but it is more of a challenge in Asian markets than the other berry types as it less familiar to consumers. That said, any opportunity to take pressure off the domestic market would be welcome.

We are fortunate with Rubus that we have so much control over the timing of production. We need to work together to ensure that we are really matching supply with demand and producing the type of fruit consumers want at the times they want it. I am still extremely optimistic about the future of the Rubus industry and along with the RABA committee I want to ensure that we maximise all of the opportunities we have.

5 INDUSTRY

Chairman's Report

Simon Dornauf | 0408 681 206 |

Five years after the inclusion of strawberries into the new entity of Berries Australia, it is probably time to do a bit of a stocktake. I don’t think many would disagree that Strawberries Australia was not in good shape in 2018 and this was highlighted during the needle tampering crisis.

I am proud to say that regardless of whatever else has happened, we have been an effective and functioning committee since that time. The old interstate rivalries are still there but as a collective the committee members have understood their responsibility to the national view in taking off their parochial state-based hat and made decisions that benefit the whole industry.

As Chairman immediately before and after the transition, the corporate structure of Berries Australia has certainly made it considerably easier to stay on top of our governance obligations, hold regular meetings with proper agendas and minutes, and access funding. We have also been more able to hold Hort Innovation to account over the levy spend and finally access the royalty funds, and have them matched for Research and Development investments.

I have personally enjoyed the opportunity to be part of the Berries Australia committee and it has been great to see strawberries recognised as part of the berry family. After all, we are still Australia’s favourite berry!

As a Tasmanian grower, the creation of Berries Australia as a delivery mechanism finally gave us access to our own Industry Development Officer and has also kicked goals in the export space. I am very excited about the new Berry Basket marketing campaign as it gives me some return for my levy investment as I don’t use locally bred varieties.

Whilst there is lots to celebrate, a committee lives and dies on the commitment of its members. As SAI is a federation, our members are the representatives of the State strawberry growing associations and unfortunately these associations are struggling to maintain membership or even put someone forward for the SAI committee with both NSW and SA presently with unfilled seats. This is making it increasingly hard to ensure we have a quorum at each SAI meeting.

The dwindling membership of state bodies is certainly not unique to strawberries. It is partly a result of the reduced differences between operating in each state which makes the need for commodity specific state bodies less relevant. Many growers such as myself operate in more than one state so it is hard to know which state body to join. We also need to be nationally focused in our approach to issues such as export and workforce, which again reduces the capacity of statebased bodies to influence the agenda. That said, state bodies ensure that the unique needs of growing regions are not overlooked and even more importantly provide a social outlet for growers.

One option could be for SAI to enable individual members in addition to the state bodies or even to make SAI a full direct membership body like the ABGA and RABA. Even more controversially, we could get rid of all of the PIBs and just have direct grower membership of Berries Australia. I am certainly not advocating for this but if we continue to struggle to get state representation, we are going to have to look at alternative options. If you are keen for the state-based model to continue, I urge you to get behind your local association and even consider stepping up to join SAI. The future is in your hands.

6 INDUSTRY BERRY AUSTRALIAN JOURNAL AUTUMN 2024 EDITION 18

Leveraging data to make smart decisions

Through Hort Innovation’s consumer insights function, we are equipping industry with a greater understanding of how Aussies behave at the checkout, which is how we know that in 2023 berries were one of our most popular fruits with a 24% share of fruit sales and 89% of households buying them during the year.

As we enter 2024, Hort Innovation is gearing up for another year of delivering impactful investments for the horticultural industry across research and development (R&D), marketing and trade.

I would like to acknowledge the tough conditions Australian growers have faced over the last year and continue to do so now. Recently, we have seen natural disasters, biosecurity incursions, a shift in consumer behaviour in response to cost-of-living pressures and ongoing disruptions to supply chains, including international trade. More than ever, it is essential that Hort Innovation is committed to supporting growers with a laser-sharp focus on our Vision: a prosperous and sustainable Australian horticulture industry built on innovation.

One of the ways Hort Innovation supports industry is by equipping the sector with the data and insights needed to make good decisions on both a business and sector level.

Last month, we launched the 2022/23 Australian Horticulture Statistics Handbook, the most comprehensive source of horticultural data available to industry. The Handbook features data and insights on production, international trade, processing volumes and fresh market distribution for 75 horticultural categories. I encourage you to head to the Hort Innovation website and look at the rich insights available for berry growers and other industry stakeholders.

By loading our shopping basket with consumer insights, we worked closely with industry stakeholders like Berries Australia to design marketing campaigns for maximum impact.

Our research shows that consumers who purchase all four berries make up almost 50 per cent of the total category spend. It also shows that taking a whole-ofcategory marketing approach is proven to lift sales across all berry types. That's why, in an industry first, the berry sector kicked off 2024 by joining forces to encourage Aussie shoppers to put more berries in their baskets. Delivered through Hort Innovation and led by Berries Australia, the collaboration will see blueberries, raspberries, blackberries and strawberries all promoted under a 'berry basket' banner and you can find out more about this on PAGE 15.

This new collaboration leverages these insights and gives berry growers more bang for their buck regarding their investment in promoting their delicious produce. The collaboration highlights the standout features of berries, including key health benefits (antioxidant richness and nutritional density) and taste appeal to make Australian Berries a highly sought-after choice that finds their way into more trolleys more often. The activities underway are lifting awareness of berries and ensuring they remain on consumers' minds throughout the year through video content, social media, out-ofhome advertising, online retail activation, and more.

As you embark on a new year, I encourage you to get involved with Hort Innovation as your rural research and development corporation dedicated to delivering you value.

A great first point of call is our Industry Service & Delivery Manager for berries, Adrian Englefield, who is always willing to have a chat. You can get in touch with him on 0427 143 709 or adrian.englefield@horticulture.com.au

7 INDUSTRY

Tasmania

Mark Salter, Berry Industry Development Officer 0400 100 593 | berryido@fruitgrowerstas.org.au

The Tasmanian berry season is progressing well with most growers reporting good growing conditions. In the south, the blueberry season has been continuing well with mild conditions prevailing, but some northern blueberry growers were hit hard with rain events in early January. While visiting growers during one of those events, I was caught up in some of the heaviest rain I have seen in quite some time.

Celebrating Tasmanian Grown Blueberries

Fruit Growers Tasmania ran a local social media marketing campaign for blueberries for the four weeks commencing 14 January to coincide with the peak of the blueberry season in the state. Its purpose was to encourage Tasmanians to eat more locally grown blueberries in season and encourage parents to include blueberries as part of school lunches as a healthy snack for kids.

Fruit Growers Tasmania chose to deliver this campaign to support growers who have experienced a particularly difficult period over the last couple of seasons. For the campaign, Fruit Growers Tasmania prepared grower stories, an infographic on the health benefits of blueberries, news articles and a new promotional video which was created with support from the Tasmanian Government.

In addition, as part of the promotion, the Hobart city centre was lit up in blue. Fruit Growers Tasmania partnered with Hill Street Grocer and IGA Tasmania to promote the celebration through their 70+ stores across the state. Hill St Grocer was very proactive in focusing on Tasmanian blueberries, sharing blueberry recipes, images and grower stories with their large online audience.

Fruit Growers Tasmania is still assessing the results but for the initial three-week period, the Tasmanian Grown Facebook page has reported:

• Total reach of 8,300

• Video has received 783 views and was shared 12 times

• Post engagement 1,739 comments

• New followers 59

Further to this, early indications are that sales of Tasmanian blueberries through IGA stores have held up particularly well post-Christmas.

Events

On 28 February, Fruit Growers Tasmania and Berries Australia held a strawberry nursery tray/plug plant quality webinar. Klaas Plas from the Netherlands talked about strawberry nursery tray/plug plant best practice and establishing tray/plug plants in the field. A write up on the webinar will feature in the next issue of the Journal and the recording will be available through the website Resource Library.

• During the week of 18 - 21 March I am planning a visit to Queensland to catch up with growers around the Caboolture and Stanthorpe regions. It will be great to catch up with growers there to see how their pre-season plans are progressing. Many thanks to our Queensland Berry IDO, Wendy Morris, who is organising my itinerary.

• In mid-April Fruit Growers Tasmania is planning a blueberry growers’ workshop focusing on pest and disease management, irrigation, and nutrient management.

Look out for more information on these events coming via email and on the FGT and Berries Australia websites.

Growers can register to attend the Queensland evening events (free & family-friendly): • Sandstone Point (19 March) Register at bit.ly/Qld-19-3-Dinner • Stanthorpe (20 March) Register at bit.ly/Qld-20-3-Dinner

8 INDUSTRY BERRY AUSTRALIAN JOURNAL AUTUMN 2024 EDITION 18

New South Wales

Gaius Leong, Berry Industry Development Officer 0484 055 748 | gaius.leong@dpi.nsw.gov.au

The Department of Primary Industries, through the Climate Change Research Strategy, has undertaken a comprehensive assessment of the vulnerability of key commodities to climate change in New South Wales. The assessment will fill gaps in our knowledge about the effects of climate change on the state's primary industries.

The assessment included looking at seven horticulture crops, including southern highbush blueberries. The assessment for blueberries looked at how climate change by 2050 may change temperature, rainfall and changes in crop water requirements during the production phases of blueberries. In addition, the project is also currently integrating the effects of climate change on related pests and diseases, such as the Queensland fruit fly.

This work will help provide a clearer picture of potential climate change effects on NSW's horticulture and viticulture sectors, looking ahead to 2050. This work will help identify adaptation needs and priorities that can guide future research and development activities to increase the resilience of this critical sector to a changing climate. We are close to finalising the Vulnerability Assessment for southern highbush blueberries, and the results will be released later this year. To register your interest in being notified of the project's release, email vulnerability.assessment@dpi.nsw.gov.au. We welcome the opportunity to share the findings with you.

While we await the results from this assessment it is important to remember our social and environmental responsibility as caretakers of the land we farm and reside on. As an industry, there must be a continual focus on improving practices to improve relationships with the wider community through careful consideration of neighbours and environmental impacts.

To ensure the industry is best placed to meet these and other challenges, it is recommended that all growers work within the guidance of the Blueberry Industry Code of Conduct which can be downloaded at bit.ly/BB-CoC.

Protected cropping structures and weed mat are necessary for berry production and are currently irreplaceable. Therefore, the best management solution is to use the recommended buffer distances to create a suitable physical separation to existing buildings, roads, water ways and other neighbouring land uses. Combined with vegetative screening, this assists in reducing noise, odour, and potential spray drift associated with more intensive land use. Every grower should be designing buffers during the initial land use conflict assessment. The process could be done in conjunction with the current soil and water analysis that is done before the land is purchased/leased. This ensures growers are taking a proactive, responsible approach and not reacting only when concerns are raised.

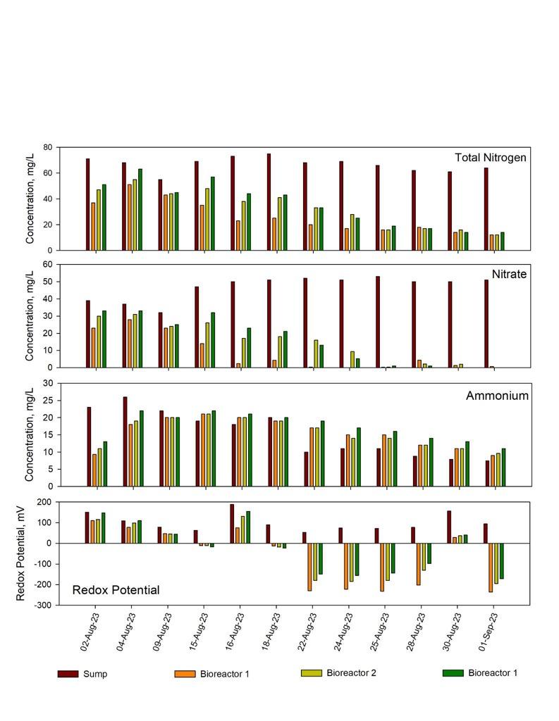
The Clean Coastal Catchments (CCC) Research project is addressing another area of concern by assessing the effectiveness of nature-based systems for the removal of nitrogen from crop irrigation runoff at the Wollongbar Primary Industries Institute, and you can read about the latest update from that project on PAGE 66.

Additionally, a proactive approach to soil erosion, waste management and post-production remediation should be undertaken. For example, if work is being planned for to be construction of mounds; erosion management activities such as ground cover seeding, vegetated buffers and soil covers should be put in place at the same time. Regular sweeps for blown plastic waste should also be undertaken. Some of these ‘extra’ activities, while increasing establishment cost, only improves the value, viability, and sustainability of the blueberry operation within your community context.

Let’s continue to work towards, not only a profitable but sustainable and responsible berry industry. As always, please get in touch with me if you need any assistance.

9 INDUSTRY BERRY AUSTRALIAN JOURNAL AUTUMN 2024 EDITION 18

Climate and crop

Western Australia

Hot and dry conditions have continued in the west. Overall, spring maximum temperatures were 2-4 °C above average, and minimums 1-3 °C above average. November led the way with record breaking temperatures, particularly in the Perth region where mean maximums were 3–5 °C above average. A severe to low-intensity heatwave was experienced throughout growing regions in late November, with very strong easterly winds fanning a bushfire in the Wanneroo area that destroyed strawberry farms. Summer is also looking like a scorcher, with mean maximum temperatures 1–3 °C above average in December and 0.5-2 °C above average in January and more summer heatwaves than normal, with three so far this summer.

The very hot weather hasn’t slowed Chilli thrip populations as much as was hoped. Blueberry and blackberry growers to the north of Perth continue to be severely impacted by the pest and are still without clear management options. Chilli thrips haven’t been reported as a pest in blueberry and blackberry crops in the southern region, but they are present, so growers

Strawberry growers now have a well-established program for controlling Chilli thrip in both growing regions. Perth region strawberry growers with second year plants should clean up plants well when they are cut back in March to ensure effective spray penetration into the crown. Two to three sprays are required to knock down thrip populations that have built up over summer. A rotation of Success Neo™ (spinetoram), Entrust™ (spinosad) and Hymal™(maldison) works well and will help to slow the development of chemical resistance. Growers that cut back earlier than March may need to apply additional sprays and may find the pest more challenging to manage. When new foliage emerges, biological controls (Cucumeris and Orius) can be added to predate remnant thrip populations.

Industry news

Qfly update: DPIRD continues to make progress with the eradication of Qfly in the Bayswater area following a confirmed detection in early 2023. The anticipated reinstatement of area freedom has been delayed again until March 2024. Growers inside the Quarantine Area can keep up-to-date on the area freedom status as harvest approaches here https:// www.agric.wa.gov.au/advice-growers-quarantine-area

10 INDUSTRY BERRY AUSTRALIAN JOURNAL AUTUMN 2024 EDITION 18

Food safety standards: Implementation of the new Primary Production and Processing Standards for leafy vegetables, melons, and berries is underway in WA. You should have received an email explaining how things will work and how to get started with becoming registered with your Local Government Authority. If you haven’t already, please complete the WA Health Department survey by 31 March 2024. This will help with the smooth implementation of the new standard in WA https://datalibrary-rc.health.wa.gov.au/ surveys/?s=EMFW8RCAY8P9HW9J

Mariginiup fire: Six strawberry growers were impacted by the bushfire that tore through Mariginiup in late November 2023. Our thoughts are with these growers and the other impacted businesses in the area as they work to re-establish their operations.

Despite the severity of the fire and the damage it caused to households and businesses, its scale was not large enough to trigger Category 3 assistance under the national Disaster Recovery Funding Arrangements. This means that the funding pool available for recovery services and assistance grants was very much reduced. The state and federal government, City of Wanneroo and other authorities involved in the response efforts were given detailed information on the impact the fires had on the strawberry growers. It is hoped that this will be considered when providing practical and financial assistance.

This incident highlighted the need to have written lease arrangements in place, so if the worst happens, you can access support through disaster recovery funding arrangements. It also acts as a reminder to update business continuity plans in case of similar future events.

WA berry growers joined in a Vegetables WA - Irrigation Australia event in Carabooda hosted by Grown Smart Produce in Carabooda. Cucumber growers Doug Chamberlain and Peter Ruddle showed how they are using new irrigation and climate control technologies to improve water and energy use efficiency.

Suspended plastic gutters will reduce root disease and eliminate zinc toxicities caused by the old metal gutter systems. Pipes that carry warm water will be installed in the gutters to heat the roots of the crop in winter, saving energy on space heating. An extensive network of substrate moisture and temperature monitors, already in use in their other tunnels, will also be installed. These monitors proved crop-saving in their older tunnels where adjustments were made after discovering that the temperature and water gradient from one end of the tunnel to the other was much larger than anticipated.

Thank you to Vegetables WA for including WA berry growers in this interesting event.

11 BERRY AUSTRALIAN JOURNAL AUTUMN 2024 EDITION 18
WA berry growers at the recent Irrigation Australia event showcasing irrigation and climate control in a new top vented tunnel house at Grown Smart Produce. Photo credit: Helen Newman

Queensland

Wendy Morris, Berry Industry Development Officer 0484 272 963 | qldberryido@berries.net.au

In my last IDO report, I mentioned that foliar nematodes had been found on a number of farms. The estimated damage to Queensland strawberries is well into the millions and we wouldn’t have known about the problem had it not been for an offhand comment one grower made during a catch up, and a comment made at a meeting by another.

We have since distributed a pest guide to growers and have been in communications with pesticide companies about upcoming products that may show promise for treating foliar nematodes. More information can be found at berries.net.au/str-foliar-nematodes

A number of growers have also mentioned that their plugs, when planted in ground, did not perform as well as they had hoped last season. Growers in other states have also shared this experience with their IDO’s. As a result, Tasmanian IDO Mark Salter has arranged for Klaas Plas – a highly experienced consultant from the Netherlands - to share his experiences with Australian growers via a webinar which is planned for Wednesday 28 February. You will be able to see a recording via our Resource Library if you are not able to join live.

I’m looking forward to meeting more growers, and catching up with those of you who I have already met, in 2024. Our first event of the year will be a visit from our Rubus specialist Mark Salter, who will be travelling to the Sunshine Coast and Stanthorpe regions from 18 - 21 March.

Mark will be available to meet with interested growers at their farms as well as attend a set of informal get togethers that all berry growers are welcome to attend. If you’re interested in a visit from myself and Mark, please let me know. Information about the get togethers will be sent via email or you can register at our Website Event calendar

Later in the year, we will be holding an event in Bundaberg where DAF have kindly agreed to host a field day at their research station so growers can understand the latest developments in the breeding program. A similar open day will be held on the Sunshine Coast mid-year, at the Maroochy research station.

In December 2023, Steven Ronson, the Executive Director of Enforcement at the Fair Work Ombudsman (FWO) joined the Berries Australia meeting to discuss the Ombudsman’s current activities and recent spot checks.

Since 2021, the FWO has been working on an Agriculture Strategy, targeting 15 identified ‘hotspots of concern’. Pleasingly, both the Wide Bay and Moreton Bay areas showed high levels of compliance. Stanthorpe is highlighted as having ‘room for improvement’, but is still far from the bottom of the ‘least compliant’ list. This is great news for Queensland and an excellent reflection on our growers.

The FWO has identified labour-hire companies as being responsible for the majority of non-compliance incidents. Lack of recordkeeping by these companies can make them difficult to fully prosecute. If you are using a labour-hire company to provide staff, it is advisable that you make sure you understand what your obligations are as your reputation can be damaged significantly by the actions of a ‘dodgy’ labour-hire contractor doing the wrong thing, and in fact, businesses may be held legally responsible when their contractor (or subcontractor) is underpaying their staff. The FWO Guide to Labour Contracting provides useful information and you can download it at bit.ly/FWO-LHC.

You can help minimise your risks when engaging contractors by following these five easy steps:

1. Know the pay and conditions that apply

2. Ask potential contractors about their workplace practices

3. Check the contract price to make sure it’s enough to cover wages

4. Set clear expectations

5. Make sure you know of subcontracting arrangements

If you have any questions about your rights and responsibilities as an employer, please visit the Horticulture Showcase at horticulture.fairwork.gov.au If the Horticulture Showcase doesn’t have the answer for your questions, please contact me and I will endeavour to find an answer for you.

12 INDUSTRY BERRY AUSTRALIAN JOURNAL AUTUMN 2024 EDITION 18

Victorian Strawberry Industry Development Committee

Victoria & South Australia

Dr Angela Atkinson, Berry Industry Development Officer 0408 416 538 | ido@vicstrawberry.com.au

Growing regions in both South Australia and Victoria had above average rainfall during January, with some areas, particularly in Victoria, receiving very high rainfall totals in a short period of time, causing flooding in parts. In many regions in Victoria, the mean daily temperatures were also the lowest for 20 years.

At the time of writing, the BoM forecast is for warmer than average temperatures and lower than average rainfall in both South Australia and Victoria during autumn, however I guess we will wait and see how that pans out.

As the weather warmed up when we moved into February, Queensland Fruit Fly detections in the Yarra Valley trapping grid began. With warmer weather expected during autumn, everyone needs to continue to implement their preventative QFF actions, including baiting, trapping and monitoring, maintaining crop hygiene and control of host weeds, such as feral blackberry.

Victoria has just announced a new round of grants for the purchase and installation of new netting over established production areas, which opened on 5 February, and will close on 8 April. Grants will provide up to 50% of the eligible cost of fixed and demountable netting up to a maximum of $150,000 (ex GST). Applicants can also apply for an allowance of $7,000 per ha, up to $50,000, to self-install netting within the $150,000 cap. Funding is for netting installed after 14 December 2021 and for producers wanting to purchase and install netting before 31 May 2025. For more information and to apply go to bit.ly/Hort-Net-Vic

In South Australia, approximately $4.24 million is still available from the previous round of grants, and applications remain open until 20 May 2024. For more information go to bit.ly/Hort-Net-SA

The South Australian government in partnership with the Commonwealth is also providing rebates of up to 25%, to a maximum of $25,000, for costs associated with the purchase and installation of new on-farm water infrastructure, or to repair or replace damaged infrastructure for permanent horticulture.

Applications close on 30 April 2024. To read more and apply go to bit.ly/Water-SA

As the season winds down here in the south, more events are planned, both in person and online. Topics will include innovation and technology, business and labour management, integrated pest and disease management including pollination, and irrigation and nutrient management. Information regarding workshops and webinars will be communicated through The Burst, the Berries Australia website and direct email updates.

The transition to management plan for the Varroa mite response has finally been endorsed. A major focus of the plan is education and awareness for both the bee industry and horticulture industries to prepare for the impact of Varroa. In addition to resources funded through this plan, Berries Australia will provide ongoing support to growers, as the full impact of Varroa mite may not be evident in the short term. At this stage both Victoria and SA have permit systems in place for movement of hives from interstate to slow the spread.

For something completely different, a new collaborative research program involving a number of Australian universities, and NASA, has chosen strawberries as a potential food source to support space travel to destinations such as Mars. While the main objective is to support long space flights, the program is also committed to providing innovations that have benefits for production on earth. To find out more SEE PAGE 82.

Finally, as part of the Berries Australia International Market Tour in September 2023 we visited wholesale markets, distribution facilities, and a range of supermarket and high-end grocery stores to see how fresh produce, particularly berries, is marketed and what opportunities may exist for Australian growers. For more information SEE PAGE 42.

As always, please get in touch if there is anything I can help with, and I hope the weather stays good for the rest of the season.

13 INDUSTRY BERRY AUSTRALIAN JOURNAL AUTUMN 2024 EDITION 18

What is the role of a Berry Industry Development Officer?

Since I moved into the Industry Development role, I’ve had a number of growers ask, ‘what exactly is your role as an Industry Development Officer?’. This is a very good question. The role has a number of facets all centred around one simple concept which is to ‘promote the development of the berry industry’, but what does that really mean?

When we ask to visit your farm, we are not there to ‘inspect’, ‘audit’ or ‘look for problems’. We are simply there to learn more about what is challenging you in your berry growing business and to identify common problems or issues that Berries Australia can assist you with.

As an IDO team, we have access to a wide range of resources that we can share to assist you with a host of common problems, and if we don’t know the answer immediately, we have a network of industry stakeholders that we can reach out to on your behalf to find existing solutions. We are also key contributors to the process used by Hort Innovation to identify which new research and development projects are needed by industry.

In simple terms, we are here to understand your challenges, share known solutions and promote the development of new solutions by industry stakeholders (like Hort Innovation) where these are needed.

The growers I have already visited have been extremely generous in sharing their knowledge and experiences with me. They have patiently answered my many questions, shown me their farms, and shared their concerns. Through these visits, and conversations with my fellow IDOs, a number of common but previously unknown problems have become apparent. This has then allowed us to seek solutions. I mentioned a recent example – foliar nematodes in strawberries – in my regional report in this edition on PAGE 12.

So, if you are experiencing a pest or disease issue – reach out and tell your IDO as its unlikely you’re the only one. If you have come up against a business roadblock – let your IDO know as its likely there are solutions available that you may not be aware of.

I now define ‘industry development’ as simply ensuring the industry is moving forward; identifying and tackling issues for our collective benefit. I don’t need to understand the finer points of berry farming to be adept at noticing patterns and I am proud to say I love to find solutions.

Lastly, I want to emphasise that when you talk to, email, text, or in any way communicate with your IDO, whatever you share will never be publicly linked to you or your farm without your prior permission. We are here to help you to succeed.

14 INDUSTRY BERRY AUSTRALIAN JOURNAL AUTUMN 2024 EDITION 18

Industry-first ‘Berry Basket’ marketing campaign now live

MT23500 FY24 Berry Basket Marketing Campaign

In an industry first, berry growers across the country have joined forces to encourage Aussie shoppers to put more berries in their baskets. Delivered through Hort Innovation and led by Berries Australia, the collaboration sees blueberries, raspberries, blackberries and strawberries all promoted under a ‘berry basket’ banner.

Hort Innovation chief executive officer Brett Fifield said the aim is to promote buying all berries individually, and together. “Aussies love berries, and this campaign celebrates that while helping local growers raise the profile of their produce,” he said. “Research shows that consumers who purchase all four berries make up almost 50 per cent of the total category spend, and that a wholeof-category approach lifts sales across all berry types."

"This new collaboration not only leverages these insights but also gives berry growers more bangfor-their-buck when it comes to their investment in promoting their delicious produce."

Following insights unearthed by key consumer research commissioned by Hort Innovation in 2023, the collaboration is using social media and influencers to highlight the standout features of berries including key health benefits and a 30 second commercial to showcase the taste appeal to make Australian Berries a highly sought-after choice, that find their way into more trolleys, more often.

Berries Australia and media agency Wavemaker are building on their existing partnership to bring to life the broader campaign promoting the ‘berry basket’. As part of the planning process, we have identified key insights from the recent Hort Innovation funded consumer research which has highlighted that:

• Shoppers are 43% more likely to buy what’s on special than the same time last year reflecting the ‘cost of living’ crisis

• People need more inspiration to show them new meals and ways to use berries

• All fruits are seen as healthy and in reality ‘deliciousness’ is a bigger driver of love and therefore sales than just ‘health’

To sell more berries, we are trying to persuade existing buyers who buy berries relatively infrequently to buy berries more often when they are shopping for groceries. And we are looking to achieve this by building their love of the taste of berries and their emotional connection with berries, whilst educating them about the specific health benefits that only berries can deliver.

The target audience we are ‘talking’ to with all of our marketing activity has been identified through market research as quite broad; main grocery buyers who are typically 25-34 years old and interested in fresh food. Many are in the ‘young family’ life stage and are facing pressures on the family budget, but like to choose ‘healthy’ where possible.

The activity is planned to take place across the year until the end of January 2025 (Figure 1) in line with the peaks in supply of each of the individual berry crops (Figure 2). Each crop has contributed 1/3 of the cost and will receive 1/3 of the value.

The funding has come from the Hort Innovation managed Raspberry and Blackberry Marketing Fund, royalty monies in the Strawberry Fund and the voluntary Blueberry Marketing Levy collected and managed by the Australian Blueberry Growers’ Association.

15 INDUSTRY

Figure 1. Activity is planned across the 12 months from February 2024 to January 2025

Figure 2. Activity has been programmed to coincide with the peaks in the forecast supply of crops by month

Planned Activities

Broadcast Video on Demand (BVOD)

When you watch TV through a ‘catch-up service’ like 9Now or 7Plus that is known as BVOD. It is a relatively new way to consume content that used to be broadcast through free-to-air (FTA) TV, but is rapidly becoming the dominant way that households watch programming. Other VOD services include YouTube, Netflix and Prime, but we are only using the channels owned and operated by Australian TV networks to be the most cost-effective. A creative agency called Media Merchants have produced a 30 second TV commercial that will be shown in programming relevant to our target audience.

16 BERRY AUSTRALIAN JOURNAL AUTUMN 2024 EDITION 18

The commercial was filmed in Brisbane in mid-January and is based on the idea that berries are made for sharing. Unlike larger ‘single serve’ fruits like apples and bananas, when you eat berries you typically have a few making them an easy fruit to share. The creative idea of ‘One for me, one for you’ is designed to bring the sharing idea to life through four different sharing scenarios; a young girl & her baby brother, an older couple enjoying a snack, a pair of girlfriends eating breakfast and young boys sharing their lunchbox at school (Figure 3).

Visit bit.ly/BBM-TVC to watch the 30 second commercial

Out of Home (OOH)

To see how the TV commercial was made and watch the finished product visit bit.ly/BBM-BTS or scan this QR code

Media agency Wavemaker have negotiated a single provider agreement with Val Morgan Outdoor (VMO) to make the most of the money we have available to spend on our out of home advertising. The purpose of this advertising is to reach consumers with our messaging when they are close to a point of purchase for fresh berries. 70% of the sites that have been selected to display our advertising are close to either a Coles, Woolworths or Aldi supermarket reminding consumers about fresh berries when they are on the way to do their grocery shopping. The creative material is a mixture of shorter (7 second) versions of the commercial (Figure 4) and static images which each support a single crop (Figure 5).

Social Media

With permission from Hort Innovation, we have re-purposed the existing ‘Fresh Aussie Berries’ social media accounts in Facebook and Instagram (Figure 6) that have previously been used exclusively for Rubus materials. This is enabling us to share a range of engaging content with the 18,000 existing followers, whilst using paid boosting of posts to expand the reach even further.

During the peak of the winter strawberry and blueberry harvests (Aug-Oct), dedicated crop posting will also go out on the existing crop social media channels - @AustralianBlueberries and @QldStrawberries to ensure that those existing audiences are also reached with the campaign messaging.

Figure 3. Still images from the 30 second commercial Figure 4. The 7 second version of the commercial has been produced in a range of sizes to suit the large range of digital advertising locations owned by VMO Figure 5. Each crop has a static OOH creative which will be shown when that crop is in peak supply
17

6. The existing Facebook and Instagram pages have received a brand overhaul to tie in with the creative

Influencers

Through the GOAT influencer platform, we will be working with key Australian creators to build a range of content showing berries being a part of all the moments that matter, for special occasions & everything in between. The content is being created to a strict brief to ensure that all berries are represented equally and the content is designed to inspire consumers to take berries into meal occasions that they would not have considered before. Broadening the usage of berries is a key long term strategy to increase consumption and grow the category. The material created by the influencers will be broadcast on their owned channels on Instagram and TikTok, and will later be boosted to extend the reach to even larger audiences.

Online Retail

Online grocery shopping has traditionally lagged behind other forms of online retail shopping in terms of adoption and sales as it is generally so convenient to visit a physical store. According to IBISWorld, the COVID-19 outbreak and significant investment in delivery infrastructure by the major online grocers has led to strong industry growth over the past five years, although levels of online grocery shopping have dropped back slightly from the peak of the pandemic. Much like the physical store market concentration, Woolworths has 44.7% and Coles 28.8% of all online grocery spend in Australia (Source: UBS Consumer Survey, Q3 2023) so it makes sense for us to invest with both major retailers through their online sale portals. The purpose of advertising in the online portals is to reach consumers whilst they are in a purchase mindset to help drive online sales. Further updates on the progress of the Berry Basket Marketing campaign will be provided in the Spring and Summer editions of this journal.

The project 'MT23500 FY24 Berry Basket Marketing Campaign' is funded by industry levies through Hort Innovation and contributions from the Australian Blueberry Growers Association voluntary levy.

For more information please contact: rachelmackenzie@berries.net.au or jane@teres.com.au

@freshaussieberries www.instagram.com/freshaussieberries @freshaussieberries www.facebook.com/freshaussieberries
Figure Figure 7. Initial Influencer posts from @ thecordonykitchen (156,000 followers) and @mirandabrady (308,000 followers)
18 BERRY AUSTRALIAN JOURNAL AUTUMN 2024 EDITION 18

What a waste

A staggering 7.6 million tonnes of food goes to waste in Australia every year, enough food to fill the MCG to the brim near ten times.What’s more, 50% of this is fruit and vegetables (FIAL 2021).

Australia’s fresh produce is too good to waste. And so, we’ve been working on a plan – and identified nine priority actions – to tackle horticulture food waste, and help growers sell more and people eat more of Australia’s world-revered fresh produce. These actions are set to be impactful, profitable and possible – with a successful example of action underway in Australia’s berry industry already.

The Horticulture Sector Action Plan, developed by End Food Waste Australia, researchers at Central Queensland University and through extensive collaboration with stakeholders, is a first-of-its-kind in Australia looking at collaborative and impactful solutions to tackling horticulture food waste from farm to retail.

But why end food waste?

Fighting food waste is good for people, the planet and industry profitability. It really is a triple bottom line.

For people, ending food waste will have a direct impact on reducing food insecurity. Last year, 2.3 million Australian households (23%) went hungry regularly (Foodbank 2023).

Australian Food Pact Signatories – businesses including Coles, Woolworths, Simplot and Mars – donated the equivalent of 136 million meals in the last two years helping to divert food from waste streams to food rescue.

For the planet, reducing food waste will minimise the 17.5 million tonnes of CO2-e that is generated from wasted food (FIAL 2021), and help preserve the land, water, energy and fuel used to produce and distribute that food.

For industry profitability, reducing food waste means using more of what is produced and making the most of inputs and staff time. Further, as industry growth progressively relies on export, maintaining and increasing export market share will rely on meeting the standards of stricter supplier codes of conduct and responsible sourcing programs, often including action on food waste reduction.

What will it take?

Fighting food waste is a challenge too big for anyone, or any single sector, to tackle alone. Within horticulture there is action needed on farm, in transportation, manufacturing, retail, hospitality and in the home –it really will take everyone.

The Horticulture Sector Action Plan is looking at strategies that enable food waste reduction, prevent food waste from occurring, and repurpose surplus food to keep it in the food supply chain.

What does food waste action look like?

Food waste action in horticulture requires getting a better grasp on the food waste challenges that exist and enabling the system to perform as efficiently as possible, and these are addressed through four action areas:

1. Identifying root causes of food waste on a commodity-specific level

2. Improving food waste data and measurement, because what gets measured gets managed

3. Implementation of the right supporting policies

4. Accelerating innovation and technology solutions for food waste reduction

These actions in practice will look like increased dedicated food waste reduction research, frameworks for on-farm food waste measurement and reporting, development of commodity-specific food waste sector action plans, review of the Food And Grocery, and Horticulture Codes of Conduct, potential development of standards and certification around food waste minimisation, and the use of supporting technologies and digital tools to reduce waste.

INDUSTRY 19

Three key action areas importantly focus on preventing food waste from occurring in the first place.

These actions have some of the biggest cost-benefit opportunities for growers, avoiding costs of production and disposal, and instead helping get more produce to market, these are:

1. Managing overproduction

2. Addressing labour shortages

3. Reviewing product specifications

These actions could look like new or improved platforms and support for forecasting, improved awareness and communication across the supply chain to help create a more balanced demand and supply of fresh produce, and whole crop purchasing arrangements.

For the horticulture workforce, research and increased resources and education to address labour shortages, and investigation of the impact of automation or AI on the horticulture workforce could also help reduce food waste.

A review of product specifications would include a detailed understanding of specifications and the link to food waste, supported by consumer awareness and food literacy.

Finally, growing the ability for growers and suppliers to repurpose food instead of it going to waste is addressed in the final two priority action areas:

1. Support and find ways to value-add surplus and potential waste produce

2. Supporting new and improved mechanisms to get surplus and potential waste produce to food rescue charities such as Foodbank, OzHarvest, SecondBite and FareShare

For unavoidable surplus or potential food waste, these actions help keep fresh produce in the food supply chain. Many growers generously donate to charities but there are currently logistical and cost barriers, and a proposed tax incentive to support the costs of donation and sharing of and access to available logistics such as bins, transport and cold storage would help get more food to food-insecure Australians around the country.

Reviewing produce specifications has a large part to play in addressing food waste at the farm level
20 BERRY AUSTRALIAN JOURNAL AUTUMN 2024 EDITION 18
Photo credit: End Food Waste Australia

And back to the example of action underway in the berry industry, value-add and upcycled opportunities for surplus or potential waste fresh produce could look like the work occurring at Oz Group Coop – who estimate an incredible 95% of projected blueberry waste is set to be re-purposed.

Following research and investment, Oz Group are repurposing surplus or waste/third grade produce through new products like snap frozen berries and jam, or allowing other companies to incorporate graded-out fruit into their powder or juice products. Early sales from the new products have generated “healthy revenue and helped to even out cash flow”.

Oz Group noted environmental benefits too with reduced transportation and disposal. See PAGE 63 of the Australian Berry Journal Spring 2023 edition for more on this great story.

This powerful example within the berry industry shows that the Horticulture Sector Action Plan highlights impactful, possible and profitable solutions for Australia’s fresh produce food waste.

What’s next?

The intention is to bring these actions to life through collaboration with industry, government, researchers, consumers and the entire food supply chain.

We encourage everyone to read about the Horticulture Sector Action Plan at endfoodwaste.com.au/horticulture. And I invite you to reach out to me if you’re interested in learning more or getting involved. Ending food waste starts with all of us!

For more information, please contact Melissa Smith: melissa@endfoodwaste.com.au

References:

1. FIAL, 2021. The National Food Waste Strategy Feasibility Study –Final Report

2. Foodbank, 2023. Foodbank Hunger Report 2023

Bulk donation of out-of-spec tomatoes from Australian Food Pact Signatories Simon George & Sons to food rescue organisation FareShare. Photo credit: End Food Waste Australia
21

BerryQuest International

24–27 February 2025

Wrest Point Hotel Casino, Hobart

Farming smarter for the future.

Planning is well underway for BerryQuest International 2025 which will take place in Hobart, Tasmania from Monday 24 February to Thursday 27 February.

The conference will incorporate two days of farm tours showcasing both northern and southern production regions of Tasmania, together with two days of conference and plenty of social networking opportunities.

The venue for the conference is the Wrest Point Hotel Casino on the picturesque Derwent River in Sandy Bay. Wrest Point offers a range of accommodation options, restaurants and bars both on-site and across its affiliated luxury hotels, MACq 01 Hotel and Henry Jones Art Hotel, both located in the beautiful Hobart Docks area for those wanting to upgrade their conference experience.

BQI25 will also see the introduction of the Australian Berry Industry Awards at the Gala Dinner on the final night of the conference. Nominations will be called across a range of categories in the lead up to the event.

INDUSTRY BERRIES AUSTRALIA

MONDAY 24 FEBRUARY

Farm Tour North

TUESDAY 25 FEBRUARY

Farm Tour South

Welcome Reception Evening

WEDNESDAY 26 FEBRUARY

Conference & Trade Show

Informal Networking Evening

THURSDAY 27 FEBRUARY

Conference & Trade Show

Gala Dinner & Awards Night KEY

1 MAY 2024

Sponsorship & Exhibitor Packages Available

1 JULY 2024

Early Bird Registration Opens

1 NOVEMBER 2024

Standard Registration Opens

Wrest Point Hotel & Casino | wrestpoint.com.au

MACq 01 Hotel | macq01.com.au

Henry Jones Art Hotel | thehenryjones.com For any questions about BerryQuest International 2025, please contact Jen Rowling, Conference Manager: Jenrowling@berries.net.au

at a glance
Program
DATES
Find out more

Covering You

Cultivate success with Elite Tunnels , a premier manufacturer and global supplier of premium field-scale multispan polytunnels, innovative substrate gutter systems, and a comprehensive range of ancillary parts.

Our valuable expertise, versatile polytunnel solutions and personalised guidance, available from small family farms to large commercial operations, can unlock your farm’s full potential.

Optimise your polytunnels for peak yields and profitability with our comprehensive stock of replacement plastic and other essential polytunnel maintenance supplies .

Browse our diverse range of multispan polytunnel models and essential

Our materials are proudly UK and EU sourced.

ancillary parts on our website. Plus, explore eye-catching drone footage showcasing our polytunnel projects on Australian farms.

Visit www.elitetunnels.com

Let’s talk tunnels...

Global Sales Manager

Ross Watt ross@elitetunnels.co.uk

Mobile: +44 (0) 7841 532 652

Office: +44 (0) 1356 648 598

Australia

Tapex Group – Sales enquires

sales@greenlifegro.com.au

Telephone: +61 2 9502 6000

Proud associated members of:

Profile: Lakeview Produce & Berries

Situated an hour south of the NSW border in Bajarg, Northern Victoria, Lakeview Produce & Berries is a little farm with big aspirations. The current owners – Tim and Krystle Walker - took over the property in May 2023 with strawberries, raspberries and blueberries already in place all grown to full organic certification supported by permaculture principles.

This young couple in their thirties have steadily traded their way up from an apartment balcony with a few pots to an 18m2 veggie patch and then from 2.5 acres with a big vegetable garden complete with chooks and ducks to this fully fledged organic farm in the countryside. Tim is a builder by trade running a Melbourne-based building company and had just finished a bespoke kitchen garden glasshouse build for Krystle at their home east of Melbourne city when this property in Bajarg came onto the market.

With no real intention to become full-time farmers, they have taken the plunge and left the city for a gentler life, living in a caravan on-site whilst Tim builds some more permanent facilities to support their expansion plans.

Tim comes from the Benalla area originally and with two generations of farmers behind him he spent many days learning the general farming ropes as a child. Krystle is a professional personal trainer with a very strong interest in health and nutrition, and growing fresh chemical-free food is a natural extension for her.

25 INDUSTRY
Tim and Krystle Walker in the first of soon-to-be-many patches of fully organic strawberries. Photo credit: Jane Richter

The previous owners – Nina and Andrew Meiershave been providing mentorship since May 2023 to help the pair to transition successfully. Another local ex-strawberry grower has been very supportive and the staff the couple have taken on have also brought a wealth of knowledge from other local horticulture operations, enabling the pair to get up and running very quickly. Another source of good information has been their local Ag supply businesses whose agronomists have provided excellent guidance on areas like plant nutrition and the products available for use in certified organic growing systems.

When they took over, there were 15,000 ‘Albion’ strawberry plants in-ground and already producing, plus a number of blueberry bushes in need of a little attention and nine rows of raspberries across three different varieties. The water is provided from a deep bore that has never run dry even through the driest times in recent years, so all the parts of the puzzle are in place to give the business a good start.

The immediate plan is to extend the strawberry growing areas to add a further two patches in the next few weeks to help keep up with the demand for their organic berries and provide a harvest into early autumn. This will also provide more sustained harvest volumes to keep their three staff members fully occupied. The premium grade fruit is all sold through the Melbourne and Sydney wholesale markets using the existing relationships forged by the previous owners and it is clear that this couple could sell all of their fruit multiple times over based on the demand for quality organic berries.

The first task Krystle and Tim had to complete was to pass their own organic certification audit, having taken over the existing farm site but with a transfer to a new legal operating entity. They passed with flying colours and are now keen to expand their permaculture practices to enable the farm to make even better use of what they already have available onsite, including a worm farm to make their own compost ‘juice’ to feed their berries and other produce.

The farm has plenty of room for expansion and a stable water supply. Photo credit: Jane Richter
26 BERRY AUSTRALIAN JOURNAL AUTUMN 2024 EDITION 18

The pair are hoping to bring in crop rotation and plant some unusual orchard trees like ‘Yuzu’ which will enable them to tap into locally based niche but growing markets. Tim has contacts in the Melbourne fine food scene, and he understands that there is high demand for locally produced organic produce which can be supplied direct to the end customer. Krystle has already tapped into other local contacts including those who are actively seeking high quality organic second grade berries for use in preserves. Local consumers are also encouraged to order in bulk via their social media channels for pre-arranged collection, which provides another avenue for the couple to gain some sales momentum.

Future expansion is likely to include more raspberries – Krystle’s favourite berry - plus some other vegetable crops, and Tim is keen to build a series of on-farm facilities to help boost their production capability and the farmgate experience for direct customers, including a café and farm shop.

In the meantime, the biggest challenge seems to be living in a pop-top caravan on-site with two small children through a particular tempestuously stormy summer! Plus, Tim is still managing his successful building company down in Melbourne, so life is not going to be dull for this pair for quite some time.

Ramm Botanicals provides high scale onsite tissue culture and young plant production and services for domestic and international markets. With over 15 years of experience, we can confidently offer all current and new customers quality, reliability, service and knowledge.

We are specialists in both Tissue Culture and Young Plant Production and Services. www.rammtissueculture.com.au

INITIATION SERVICE PRODUCT EXPERIENCE CONTRACT PRODUCTION EXPORT CAPABILITY OUR BERRIES BLUEBERRY BLACKBERRY STRAWBERRY RASPBERRY Phone: 02 4351 2099 | Email - ramm@ramm.com.au CONTACT US
Krystle showing off some of the organic berries ready for packing. Photo credit: Jane Richter

Bee Connected App relaunched to assist Australian farmers and beekeepers

The next-generation upgrade of the world-leading BeeConnected App was launched recently by Minister for Regional Development, Local Government and Territories, the Hon. Kristy McBain at Parliament House.

The two-way communication platform, developed by CropLife Australia in partnership with the Australian Honey Bee Industry Council, enables farmers, beekeepers and spray contractors to work together to protect managed honey bee hives.

“Australia is fortunate to have excellent farming practices, a professional agricultural sector alongside a strong honeybee industry,” said Matthew Cossey, Chief Executive Officer of CropLife Australia the national peak industry organisation for the plant science sector.

The next-generation BeeConnected App has been re-designed and built in Australia following extensive feedback and contributions from farmers and apiarists from around the country. The BeeConnected App was originally developed in Australia, for Australia and is now also an international award-winning innovation that has been adopted for use all over the world including Canada, South America, and India.

“A thriving healthy honeybee population is crucial for many farming sectors, especially in horticulture, which is why the entire farming sector needs to ensure that everything is done to protect pollinators. That is why CropLife and our members have heavily invested in this important tool to enable cooperation and coordination between farmers and apiarists in protecting honey bees. This is even more important than ever with Varroa mite having hit Australia. This has made it a tough time

for beekeepers and the growers of crops relying on honeybees for pollination. BeeConnected is a practical way for Australian farmers to support the honeybee industry by not only avoiding unintentional harm but optimising pollination activities,” said Mr Cossey.

“Using precise GPS capabilities, BeeConnected allows farmers to map the circumference of their properties and log their spray activities. It also allows beekeepers to securely register the location of their beehives now and in the future. When a beehive is detected near farming activities, both are sent an instant confidential notification allowing them to communicate and coordinate for optimal pollination without compromising or identifying specific locations. This collaboration empowers both farmers and beekeepers to protect these important pollinators,” said Mr Cossey.

Over the past nine years, the original BeeConnected App has had widespread uptake with all of Australia’s state farmer organisations supporting its use as an important decision-making tool in day-to-day operations and spray activities.

“It’s exciting to see commodities like the almond industry also get behind this tool by incorporating it as a best practice recommendation in their codes of practice and extension resources. With these substantial upgrades BeeConnected will be even more effective and useful and remain fit for purpose into the future,” said Mr Cossey.

“The Australian Honey Bee Industry Council is proud to be part of this world-leading initiative,” said Danny Le Feuvre, Chief Executive Officer of the Australian Honey Bee Industry Council. "Improving communication between users of crop protection products and beekeepers can further reduce the risk of accidental exposure of bees to any products which may have the potential to negatively impact on bee health."

28 INDUSTRY BERRY AUSTRALIAN JOURNAL AUTUMN 2024 EDITION 18

“We know that Australian farmers are proactive when it comes to the adoption of new tools and next-generation technologies to help them farm more productively and sustainably. Just like weather, temperature and timeliness of information play an

important role in informed decision-making for best-practice product application, spray applicators are urged to make use of this reliable tool to protect Australia’s managed beehive colonies with spraying this season,” said Mr Cossey.

BeeConnected is part of CropLife’s StewardshipFirst Pollinator Protection Initiative which supports the safe and responsible use of pesticides for the benefits of pollinators, Australian farming and the environment.

1. Download the App

Scan the QR codes below to download the BeeConnected App for iPhone or Android or access the tool on a desktop computer via a web browser at beeconnected.org.au

2. Log your location

Log your farm property and/or beehive locations using smart GPS technology and broadcast to others in the area.

3. Register your activities

Easily log beekeeping or crop protection activities and if they happen in the same vicinity, you will be alerted through the App.

4. Communicate, collaborate and coordinate

Through the App you can communicate securely to coordinate spray activities and hive placements for optimal pollination success.

For
29
How does the BeeConnected™ App work?
more information visit: www.beeconnected.org.au

The nbn® network –empowering Australian farms

• Connectivity solutions to support Australian agriculture are available almost anywhere

• The nbn® network is one part of the solution

• Prioritise and invest first in the things that keep you awake at night

• Help is available

There is no doubt about it – the rapid pace of change in telecommunications technologies, types and availability is enough to leave even techsperts in a head spin. For farmers looking for more technologically-advanced solutions for their businesses, understanding the connectivity options available is just the first step. Getting connected, or having access to a connection, is a requirement to support the adoption of the devices, widgets, platforms, systems, automations and robotics that many farms are considering. And despite some misconceptions, there’s a solution available to connect almost anyone almost anywhere, thanks to the availability and reach of the nbn® network, as well as other satellite and terrestrial solutions.

Mapping your journey

Connectivity enables the possible, and while this can be daunting, knowing the right connectivity to operate the right devices, and achieve the right outcome, is critical. Fully digitising a farm can be expensive, so it’s wise to prioritise.

One tip is to think about the things on farm that keep you awake at night – pumps running out of water, pipes breaking, refrigeration systems not quite right –and seeking a solution for those problems first. Can a sensor alert you to a problem as soon as it happens? If the alert can save a day’s hard work, has it paid its way? Once these ‘mission critical’ issues have been resolved, you can then move on to the next order of challenges you have on your farm.

While no two farms are the same, the challenges faced and the solutions available likely means someone has found a way to fix the most common problems.

A data hungry nation needs a data ready network

With data use across regional Australia expected to grow by 300 per cent over the next decade, having a fit-for-purpose telecommunications network is essential. nbn is embracing technology advancement and evolving the nbn network through multi-billiondollar investments and upgrades as part of our mission to lift the digital capability of Australia.

These investments are likely to have a direct benefit to berry growers, other farmers and the wider supply chain across Australia.

We’re pushing fibre connections deeper into regional communities with the intention that, by the end of 2025, around 1.4 million more homes and businesses will be eligible to order a full fibre connection via their chosen nbn provider.1

In rural and remote Australia, we’re extending the coverage and capabilities of our nbn Fixed Wireless and satellite networks through a $750 million coinvestment with the Australian Government. Thanks to the upgrades, the introduction of new higher speed tiers on the nbn Fixed Wireless network are aimed at enabling wholesale download speeds up to four times faster than what’s currently available.2,3,

Satellite customers can right now enjoy more flexibility and freedom when using the internet with uncapped data usage4 plans, offered at a choice of speeds and price points to help suit different needs and budgets.2

As a wholesale provider, access to the nbn network is available from a variety of retail service providers; equipment is professionally installed, with no charge

31 INDUSTRY

by nbn to providers for a standard installation5. We encourage customers to check with different providers about their plans, service and support to ensure that you receive the product that best meets you and your business’ needs.

Connectivity – sorted. Now what?

Once your premise is connected, making it available where you need it most is essential - whether at your house, shed or out across the farm. Having a separate data network, which could be connected to the nbn network, and investing in infrastructure needed to extend the reach and range of a data network and a separate phone signal, may be one way to improve the quality and consistency of on-farm connectivity. 2

There are many cost-effective solutions that can be purchased off the shelf, as well as tailored options from third-party providers for more complex situations.

The Australian Government’s On Farm Connectivity Grants may be one way to help. Subject to eligibility, up to $30,000 is available to support a matched investment in equipment to extend the reach and range of connectivity on-farm. These funds can support the purchase of antennas, extenders, cabling or other systems which can

then enable remote sensors, cameras, monitors or other systems to support enhanced on-farm productivity.

No mobile signal, no worries

Importantly, a lack of mobile phone signal doesn’t mean that your AgTech journey is over before it’s begun – with a bit of know-how, it is likely you can find broadband connectivity to suit help your business needs.2

Dandy Produce is an avocado farm near Bundaberg that sits in an area of weak mobile phone signal. Under a trial funded by the Hinkler AgTech Initiative, the farm has created an on-farm network that allows staff to be more contactable when out and about on the farm, and water to be switched on and off remotely.

The farm uses nbn Fixed Wireless backhaul technology to enable remote monitoring of water pumps and improved connectivity in green houses and in farm vehicles thanks to a ZetiRover system developed by Wagga Wagga-based connectivity provider, Zetifi.

Still unsure? There’s help available!

If you’re still not sure and looking for more help navigating the AgTech world, start by downloading a copy of the free On Farm Connectivity Guide,

32 BERRY AUSTRALIAN JOURNAL AUTUMN 2024 EDITION 18
Photo credit: nbn®

developed by nbn and the National Farmers’ Federation, which includes a glossary of nearly 100 commonly used AgTech and connectivity phrases.

Another free and handy resource is the Regional Tech Hub, an Australian Government-funded help desk for support on getting and staying connected. Their AgTech specialist can help you understand on-farm connectivity options available at your home or property. The service is free.

Find out more:

nbn Check Your Address: Check your address nbn (nbnco.com.au)

On Farm Connectivity Grants: On Farm Connectivity Program business.gov.au

On Farm Connectivity Guide: nbn Regional and remote Australia

Regional Tech Hub: Regional Tech Hub

Disclaimers

1. Conditions, eligibility criteria and costs will apply – please speak with your preferred provider. Eligibility criteria includes among other things, being designated by nbn as a simple premises and placing an order for an nbn powered plan based on an eligible wholesale speed tier. Additional costs may apply to providers, who may choose to pass this charge onto their customers.

2. Your experience, including the speeds actually achieved over the nbn network, depends on the nbn access technology and configuration over which services are delivered to your premises, whether you are using the internet during the busy period, and some factors outside of nbn’s control (like your equipment quality, software, chosen broadband plan or how your provider designs its network).

3. For nbn Fixed Wireless, speeds may also be impacted by the number of concurrent users on the nbn Fixed Wireless network, including during busy periods.

4. Subject to fair use policy and shaping.

5. nbn will assess whether an installation is standard, because practical and optimal installations differ at different locations. End customers should contact their preferred internet service provider to ask about the retail prices they charge.

33
Photo credit: nbn®

Have you considered digitising your visitor sign-in process?

Are you struggling with managing your paper-based visitor sign-ins?

Would you like to give visitors to your farm digital WHS and biosecurity inductions or instructions before they enter your property?

Every farm should have a visitor sign-in process that, at a minimum, keeps track of:

• who is visiting

• their contact details

• date and time of the visit

• reason for visit

To manage workplace health and safety (WHS) obligations and biosecurity risks, you also need to give your visitors instructions about how to behave on your property and keep track of their movements including:

• where they are going and which blocks they have visited

• when and where they last had contact with the same crop type

• if they have recently been exposed to pests and diseases, either interstate or overseas

Digital visitor sign-in tools are used widely in many sectors to deliver an ever-increasing range of services and data insights to businesses. Some systems are webbased, some use apps, and some are generated using programs which are most likely already available on your computer.

Any system you chose should generate a searchable electronic record of your visitors that you can use if there is an emergency or if you need to conduct tracebacks for biosecurity purposes. More advanced systems have live tracking of visitor movement, messaging/emergency alert capabilities (e.g. bushfire alerts) and can include customisable WHS and biosecurity inductions with maps, written instructions and/or videos.

There are many options for directing visitors to a digital sign-in:

• email or SMS a link ahead of their visit

• make a link available on your website

• provide a dedicated sign-in device at your office like a tablet

• provide a QR code that can be scanned using a mobile phone at your office or on the front gate

Some systems even have geo-sensing (auto arrival and departure) capabilities and can alert you when someone with the sign-in app has come onto your property.

So how can a digital sign-in be used on a farm?

A good digital sign-in system can be adapted to suit any farm and can be as simple or as detailed as you like. Choose a system that is easy for visitors to access and use (so that they actually use it!) and something that is easy to update so you can make changes as needed.

Example DIY sign-in system

Here is an example of a simple Do-It-Yourself system created using a widely available online form program.

In this example, a simple printed sign was created with a scannable QR code that takes visitors to the digital sign-in system (Figure 1). There are free programs available online that generate QR codes. The sign can be placed at the farm gate or wherever visitors would normally go to sign-in. Contact details of the Site Manager were included; this is particularly useful if your sign-in post isn’t staffed.

34 INDUSTRY BERRY AUSTRALIAN JOURNAL AUTUMN 2024 EDITION 18
It is best practice to have clear signage that directs visitors to a sign-in point and restricts access to growing and packing areas. This helps protect visitors and your farming operations from WHS and biosecurity risks.

The first part of your digital sign-in can contain an introduction to the site, site instructions, and/or site inductions (e.g. WHS and Biosecurity). You can use written instructions, images, and/or videos.

If there are any particular issues that you need your visitors to be aware of, you should mention these clearly here.

Example site instructions can be found by scanning this QR code or visiting: www.surveymonkey.com/r/ BMXYJCG

After your introductory section, you can start collecting the information you need from your visitors. In this example, we have asked for the information that would normally be collected in a paper-based sign in sheet.

The date and time of the visit is collected in the system automatically when the sign-in is completed. Drop down menus, maps, multiple choice selections, etc. are all options that can be added here to customise the sign-in process for your purposes.

Once your visitor has entered their information into this form it will be saved, and you can access it as required.

The program should allow you to export and save a report, so you have a searchable document that you can keep on file.

Examples of programs you could use to build a DIY visitor sign-in system include:

• Survey Monkey (as used in our linked example)

• Google Forms (used in Figure 2)

• Microsoft Forms

• Web based form programs which can be incorporated into your existing website like Kali Forms, Jotforms, Gravity Forms or Cognito

Figure 1. Visitor using the camera on their mobile phone to scan the QR code to access the visitor sign-in
35
Photo credit: Helen Newman

Commercially available systems

There are many companies that offer commercially available visitor sign-in platforms. Some offer simple systems that look like the DIY example above but with the addition of sign-out functionality.

Others offer much more advanced functionality with customisable information-rich maps, real-time hazard alerts, geo-sensing sign-in and sign-out, options for visitors to upload documents such as certificates, dashboards with customised alerts, and the list goes on.

When looking for the right visitor sign-in system for your situation, it is important to ask questions of potential vendors and to request free demonstrations.

Here are some questions to consider when getting started and thinking about which features you might need:

– How is the system accessed by visitors and does this suit your needs?

– Can alerts be sent if there is an on-site emergency?

– Can visitor reports be generated?

– Is data stored and filed securely?

– Can you add your own visitor inductions/site instructions?

– Does the system capture information to help with biosecurity tracebacks?

– Does the system generate reports that meet the needs of your compliance programs (e.g. Freshcare)?

Figure 3. Images of a commercially available platform Photo credit: Onside Software Figure 2. Burlington Berries created their digital visitor sign-in using Google Forms
36 BERRY AUSTRALIAN JOURNAL AUTUMN 2024 EDITION 18
Photo credit: Helen Newman

Minimising the risk of power failure for your business

Being in the agribusiness sector can be risky. The weather is unpredictable and can affect production significantly, with little ability to take defensive action. Other risks like power failure, however, can be mitigated and prevented.

Like any other operation, primary food production businesses rely heavily on energy and electrical systems for their commercial outputs. However, reliable and cost-effective access to power is not always guaranteed. Recent fires and the resulting power outages in WA have highlighted this, with many growers suffering crop losses after being unable to access their properties to install or turn on backup generators to power irrigation systems.

Commercial standby backup power systems are a great solution to help minimise the risk of power failure to your operation, in case of a power outage or short-term problems with the grid. These systems are permanently installed at your business premises so that if the power goes out, your operations don’t have to stop. These systems can be set up to detect power outages and will kick into action if and when required without you being on site.

Benefits of standby backup power

No Interruptions: Standby power systems are designed to work so that they only activate if there is a need for it. If your business is hit by a power outage, a standby power system will kick in and make sure there are no interruptions to what you’re doing. This includes computers and phones, lighting, packing lines, irrigation, cool rooms and anything else that requires electricity to function.

More security: Installing a standby power system is no different than taking out insurance to cover other aspects of your business. Having a backup generator means that in case of a power outage, you’re covered, and you don’t run the risk of halting your operations – and everything that comes with that.

Potential Savings: Can you afford the risk of power failure to your operation? Think of how much of your production relies on power, and how much money you will lose if everything stops due to an unplanned power outage. Installing a standby backup power system will not only give you peace of mind but save you money when a power outage occurs.

Peak capacity shavings: Proactively manage your power costs by switching off from the network during peak demand times that incur higher KW costs.

37 INDUSTRY

System types

Diesel and gas generators are the most commonly used backup power systems for agricultural operations that rely on the electricity grid. Other options such as hydrogen are generally not yet commercially viable.

Diesel generators provide reliable power at a competitive price and range in sizes from 6KVA to 770KVA and beyond. These are suited to the larger loads found in agricultural applications and can provide either prime power or standby/back-up power.

Gas generators are well suited to applications where stable power is essential. They connect directly to a natural gas line, delivering a constant, cost-effective power connection as long as there is no interruption to the gas supply. They require little maintenance and are optimised for emergency standby power. They have significantly less emissions than petrol or diesel generators and are very economical to run, but the capital outlay on the unit is much higher than a diesel option, especially if the gas generator needs to be connected to a LPG storage tank.

Hydrogen generators are currently more expensive to purchase than diesel and gas generators. Supplies of hydrogen gas to power the units are also limited, as hydrogen supplier networks are not well established.

While hydrogen generators do not produce emissions, power is required to make their fuel (hydrogen). This should be considered if you are thinking about this option for its environmental credentials.

Other things to consider when setting up a standby power system include:

• existing electrical infrastructure and site layout –what equipment must be powered during an outage and what’s the best location for the backup generator

• maximum energy demand – what’s the maximum draw of the equipment that must receive power during an outage

• choice between automatic (autonomous) or manual transfer switching – do you want the system to start automatically when the power goes out or do you want to turn it on manually

• remote monitoring - do you want to see what the system is doing remotely (on a device –phone or computer)

• availability of ongoing service and emergency support

An example diesel backup power generator installation that can be sited outside. Photo credit: BON Electrics

38 BERRY AUSTRALIAN JOURNAL AUTUMN 2024 EDITION 18

Regular testing and maintenance

Emergency repairs can be costly. They often require a technician to come after-hours, and most importantly they can cause interruptions to your production and business operation, or loss in investment.

The top causes of system failure are lack of preventative maintenance, unexpected part failure, operator error, and exposure to moisture.

The good news is that these problems can be easily identified and corrected with a comprehensive electrical maintenance program.

Generators are mechanical pieces of equipment. They are not ‘set and forget’. Monthly system checks are imperative to ensure the unit runs when you need it. This includes checking oil, water, and fuel, and running the generator up to ensure it is in good working order on a regular basis. If the unit has an automatic transfer switch fitted, checks on this should also be carried out to ensure that when power fails the switch automatically engages.

In addition to this, all generators require servicing by a qualified technician every 12 months or when service hours are met.

Off-grid and hybrid solutions

The capabilities of off-grid and hybrid power systems are continually expanding. There are a multitude of systems available such as solar, wind, batteries, diesel, gas, hydro and biomethane, and they are increasingly becoming more specialised, particularly in the commercial space where higher KW output is required.

Correctly designed hybrid systems (e.g. a renewable energy source with batteries connected to the grid) can also act as backup power solutions in case of a power outage or short-term problems with the grid. In turn, these systems use the grid as a backup to charge batteries if the alternative power source drops or fails. In cases where there are appliances with high startup energy draws (such as bore pumps) newer technology/ equipment may be needed to reduce the startup energy requirements and make the system economically viable. These systems are worth considering if you would like to look beyond backup generator systems.

More information

Backup power options in agriculture (Agriculture Victoria Energy Smart Farming) https://extensionaus.com.au/energysmartfarming/ backup-power-options

This web page includes a webinar and written case studies where you hear first-hand from other growers using back up power generation and off-grid power solutions.

If you are a grower in NSW, you can take advantage of the free energy and irrigation audits available through the Berries Australia Early Needs and Recovery project.

If you are interested contact the Recovery & Resilience Officer on recovery@berries.net.au

An example backup power generator installation that sits inside a dedicated shed space to keep it secure and protected from weather.

39
Photo credit: BON Electrics

The project Facilitating the development of the Australian berry industries (MT22010) is a strategic levy investment under the Hort Innovation Strawberry, Raspberry and Blackberry, and Blueberry Funds. As part of the new project, we have recently built a Resource Library on the industry website.

The Resource Library will house all available resources that are generated by the project, as well as a set of historical resources collected together across all the Australian berry industries – all in one simple searchable digital library at berries.net.au/resource-library

Types of resources:

• All articles from the Australian Berry Journal from Edition 1 in 2019 onwards in downloadable PDF format

• Factsheets, posters, videos, webinars and case studies that have been produced across each industry over the last decade

• Links to related industry websites which provide specialist resources or grower support in the areas identified as important for berry growers; irrigation & nutrient management, pest & disease management, business & labour management, and robotics & new technologies

out the new
berries.net.au
Check
Resource Library at
How do I access the Resource Library? Open berries.net.au in your web browser 1 You can filter the library by Category and Document Author or you can enter a word into the Search box to find all items related to that word 3 Select RESOURCE LIBRARY from menu bar 2 Click on the link icon to open the resource 4

Verpixo® Adavelt® active a critical new tool for fungicide resistance management

CORTEVA Agriscience’s new fungicide, Verpixo® Adavelt® active, is a highly effective new fungicide for managing challenging crop diseases, helping farmers achieve healthy and abundant yields.

About Corteva Agriscience

Corteva, Inc. is a publicly traded, global pure-play agriculture company that combines industry-leading innovations, high-touch customer engagement, and operational execution to profitably deliver solutions for the world's most pressing agriculture challenges. Corteva generates advantaged market preference through its unique distribution strategy, together with its balanced and globally diverse mix of seed, crop protection, and digital products and services. With some of the most recognised brands in agriculture and a technology pipeline well positioned to drive growth, the company is committed to maximising productivity for farmers, while working with stakeholders throughout the food system as it fulfills its promise to enrich the lives of those who produce and those who consume, ensuring progress for generations to come.

Trialled extensively under Australian field conditions, Verpixo Adavelt active has consistently demonstrated its efficacy in disease control, offering a powerful new solution for growers to protect their crops from yield-limiting diseases.

The unique structure of Verpixo, based on a naturally occurring compound found in soil bacteria, enables activity across a broad spectrum of ascomycete diseases and builds upon new chemistry first established by Corteva agriscience.

Verpixo has been trialled at various field sites including an extensive field study at Ashbern Farms, where winter strawberries are grown across 26 hectares of land on Queensland’s Sunshine Coast, as well as conventional summer strawberries in Stanthorpe.

Ashbern Farms Director, Brendon Hoyle said a major issue and concern for farmers is managing the implications of existing chemistries that are beginning to face resistance.

“As growers, we do everything we possibly can to avoid resistance and that’s what’s really exciting about this new mode of action for botrytis and powdery mildew. It gives us another tool in the toolbox which will allow us to rotate chemistries efficiently and gives us confidence that we have a better chance of disease control.” Mr Hoyle said.

Corteva Agriscience Horticulture Marketing Manager, Nick Koch said with many existing chemistries under threat of resistance, Verpixo is an excellent new rotation partner offering strength and adaptability for growers.

Verpixo is a valuable solution, offering a completely new mode of action for these diseases that gives growers more flexibility to manage their disease control programs throughout the growing season," explains Nick.

The trial at Ashbern Farms was highly successful and recorded an increase of up to 14 percent in marketable yield, and a 12-15 percent decrease in botrytis fruit infection. Mr Hoyle said the trial data spoke for itself.

“Seeing the results of the trial and increase in marketable yield was fantastic,” he said. “At the end of the day that’s what we’re all about, trying to produce quality food and reduce waste.”

Verpixo Adavelt active is registered by the Australian Pesticides and Veterinary Medicines Authority (APVMA) for use in strawberries, fruiting vegetables, leafy vegetables and cucurbits.

Visit corteva.com.au
ADVERTORIAL CONTENT

The retail landscape in Singapore, Hong Kong & Dubai: Opportunities for Australian berry growers

This Market Tour was funded through the project ‘Joint berry export trade development (MT20004) which is a strategic levy investment under the Hort Innovation Strawberry, Blueberry, and Raspberry and Blackberry Funds and contributions from the Australian Government. Hort Innovation is the grower-owned, not-for-profit research and development corporation for Australian horticulture.

As part of the Berries Australia International Market Tour to Singapore, Hong Kong and Dubai (UAE) in September 2023, we visited the different stages along the supply chain in those markets to gain an insight into how fresh produce is imported, distributed and marketed, and what opportunities might exist for Australian berry growers.

All three of these markets are non-protocol markets so there are no phytosanitary protocols required for imported produce. Additionally, there are free trade agreements in place between Australia and both Singapore and Hong Kong, and negotiations are underway for a free trade agreement with the UAE.

In all markets, there were berries for sale from all over the world, and not surprisingly a lot of produce from the large marketing groups such as Driscoll’s. There were, however, a lot of berries from smaller growers, particularly in retail outlets that use ‘provenance’ as a marketing tool, or where importers or retailers have direct relationships with growers.

Packaging

The range of packaging used in all three markets was much larger than in Australian supermarkets.

Other than in some smaller high-end retailers, much more of the fresh produce in Singapore and Hong Kong relies heavily on plastic packaging than in Australian retailer outlets. Many products are double packaged in plastic, and some larger items such as melons are individually packed as well, although in cardboard. A lot of premium fruit is individually packed, or in packaging that separates individual pieces of fruit, particularly fruit from Japan and Korea.

In Hong Kong and Singapore, people shop more frequently and buy less at a time, so convenient packaging is popular, such as produce in carry cases, e.g. the watermelon boxes. This is probably partly due to a higher reliance on public transport and local shopping, and the smaller size of kitchens and apartments.

In Dubai, there is more focus on sustainability and minimising packaging. The population also shops differently to both Singapore and Hong Kong, as they are far more reliant on cars much like Australia (in part because it is too hot!).

In all markets there was a greater range of different sized packaging, and different sorts of packaging for berries and other fresh produce, especially for snacking. Blueberries are popular in flip-top or screw-top tubes and tubs, as are cherry tomatoes and even raspberries.

INDUSTRY 42 BERRY AUSTRALIAN JOURNAL AUTUMN 2024 EDITION 18
43
Watermelons sold in branded cardboard carry boxes Scottish strawberries in moulded plastic packaging Japanese fruit in individual packaging Even the broccoli and other vegetables like whole pumpkins are often plastic wrapped OZblu® blueberries in tubes, and snack pack raspberries

Singapore

The Pasir Panjang Wholesale Centre is Singapore's main wholesale market and distribution point for imported fruits and vegetables. It is a large market and distribution centre, where individual importers have their facilities. Importers have their own cold rooms, but a lot of produce is out on display for buyers to see unrefrigerated. Many of the importers have direct relationships with the growers they source produce from so building relationships is important for success in this market. In addition to supplying retailers, some import solely to supply the hospitality industry, or a mixture of the hospitality industry and retail.

There are three main supermarket chains in Singapore – NTUC FairPrice, Cold Storage and Sheng Siong.

FairPrice is the largest chain with outlets in every neighbourhood. As well as the regular supermarket format, they have a high-end offering ‘FairPrice Finest’. FairPrice Finest has 27 outlets across Singapore and caters to the expat community and tourists with a large range of imported products, value-added services and an enhanced shopping experience.

Sheng Siong caters more for the local population, with high quality produce and groceries at more affordable prices. It is a family-owned business, owned and run by the Sheng Siong family. Its outlets are mostly located near the Housing & Development Board (HDB) blocks which are public housing where most residents own their apartments and where approximately 80% of Singapore’s local population live.

Cold Storage is the third large supermarket chain, which also has a high-end brand ‘CS Fresh’ which specialises in imported goods and ready-to-eat meals.

Smaller boutique outlets for fresh produce include ‘Little Farms’, which is a gourmet grocer specialising in mostly Australian fresh produce and groceries. There is an emphasis on freshness, and they advertise that produce is on the shelves 48 hours after it leaves the farm. They have direct relationships with farmers in Australia for sourcing their produce. The brand started out with one store several years ago, and has expanded to 6 stores around Singapore, and an online retail offer. Little Farms stores also have in-store dining and coffee shops, and are implementing features such as in-store vertical farms in some of their stores for providing fresh herbs and salad greens.

Another boutique outlet is ‘Scoop Wholefoods’, which is an Australian grocery store again stocking Australian fresh produce, as well as wholefoods from around the world such as nuts, grains, and tea. It is a plastic-free store where you bring your own containers and bags, which is popular with expats. This store format is unusual in Singapore, unlike in Australia.

44 BERRY AUSTRALIAN JOURNAL AUTUMN 2024 EDITION 18
The Pasir Panjang Wholesale Centre is huge and very busy, and you need to watch where you are walking!

Hong Kong

The main market in Hong Kong for fresh fruit is Yau Ma Tei wholesale fruit market. This market trades only in fruit; seafood and vegetables have their own markets. The market is housed in historic 1913 buildings, and operates as a wholesale market at night, but during the day many stallholders are also retailers and sell to the general public.

In contrast to the wholesale produce market in Singapore, the wholesale market in Hong Kong is a chaotic place! The market at night operates out of large open heritage buildings with minimal refrigeration, and produce is unloaded and even sold in the middle of the road with traffic driving past. The focus is on moving produce as quickly as possible, and it is a far less controlled environment not only with regard to climate control but also traffic movement and access. It is also something of a tourist attraction along with the nearby night market.

Australian berries in Little Farms with a vertical farm tower in the background. Little Farms advertise that their produce arrives from the farm to store in 48 hours Little Farms specialises in Australian produce
45

The two main supermarket chains in Hong Kong are Wellcome and ParknShop. Wellcome has almost 300 outlets in Hong Kong, including the new Wellcome fresh which is Hong Kong’s largest supermarket.

Wellcome also operates several high-end outlets, notably ‘Olivers the Delicatessen’. Olivers specialises in imported high quality produce, grocery items and wine from around the world. Olivers also offers a personal shopping service, as well as home delivery.

ParknShop has more than 200 stores in Hong Kong, including its boutique outlets. Their flagship food hall is GREAT Food Hall which is a huge high end international food hall in a prestige location on Hong Kong Island. GREAT Food Hall also has a huge range of prepared foods such as salads and sushi, a juice bar, patisserie and bakery. Other boutique offerings owned by ParknShop are ‘Fusion’ and ‘Food le Parc’, which are smaller formats and geared towards convenience and quality.

The large chains Wellcome and ParknShop use the smaller ‘boutique’ outlets to enable them to change the price points for offerings, catering for different demographics.

Entrance to a Wellcome supermarket in Hong Kong. A lot of the supermarkets are in the basements of large shopping centres
46 BERRY AUSTRALIAN JOURNAL AUTUMN 2024 EDITION 18
Part of the berry display at GREAT Food Hall in Hong Kong. Great Food Hall is a huge international food hall with high quality produce from around the globe Yau Ma Tei wholesale fruit market trades as a wholesale market for fruit at night, and sells to retail customers during the day

Dubai

In Dubai we didn’t have the opportunity to visit the wholesale market and distribution centre for fresh produce, but did get to visit some retail outlets.

The largest supermarket chain in Dubai is ‘Carrefour’, which is a French retail group. As such, it stocks produce and groceries from all over the world, and the fresh produce is generally high quality.

The other main chain specialising in imported produce and groceries is ‘Spinneys’. Spinneys is known for its highquality produce and is popular with expats. The displays of fresh produce were outstanding, and the range was extensive. At the time we visited there were lots of beautifully packaged strawberries from the UK in stock. The provenance of the produce was also important, with some packaging having photos of the growers and information about the farms, and some displays having QR codes with information about the produce or recipes.

UK supermarket group Waitrose also have a couple of stores in Dubai, as well as a number of other brands, but we didn’t have the opportunity to visit all the outlets.

The extensive fresh produce section of a Spinney’s supermarket in Dubai
47
Tomato snack pack tubs are very popular and point of sale is used to showcase the grower

Opportunities

• From our tours of retail outlets and the wholesale markets, it is obvious that quality is the most important factor for growers wishing to access these Asian markets and the UAE. The only barrier to exporting into these markets for Australian growers is competition, so quality and to some extent price will be important. Australian produce still has a reputation for being high-quality, and ‘clean and green’, which can be used to an exporters advantage.

• All three markets import the vast majority of their fresh produce (Hong Kong 95%, Singapore 90% and UAE 80%). In Singapore and Dubai there is limited local production in vertical farms and glasshouse systems.

• There is also an opportunity for value-added products in these markets, such as freeze-dried and other fruit snacks, and condiments, for example. Supermarkets have a large range of snack and convenience foods. Singapore in particular has

outlets dedicated to Australian produce and grocery items, such as Little Farms, which deal directly with growers here.

• Provenance is important for the smaller and more high-end outlets who showcase the growers in their displays.

• Speaking with importers in the wholesale markets, direct relationships with growers is often the way they operate, so building relationships is important.

• The cold chain is generally good, and the in-country distribution networks are also good as they are not shipping produce large distances.

From the meetings we had with Austrade in Singapore, there is help available for growers interested in exploring opportunities in these markets, and they are keen to work with growers to assist.

All photos provided with thanks to Angela Atkinson and Jen Rowling

Pure Harvest glasshouse grown strawberries Different strawberry packaging in Spinney’s; Annabel’s from the UK and Driscoll’s from the USA
If you are interested in finding out more about exporting into these markets, please sign up to the Berries Australia Export Group to access the Export Hub for up-to-date information and support at bit.ly/BA-Export To watch a 5 minute video of more photos from this market tour scan this QR code or visit bit.ly/BA-EXP-Sep23 48 BERRY AUSTRALIAN JOURNAL AUTUMN 2024 EDITION 18

UNITED ARAB EMIRATES DUBAI

KEY STATISTICS

LAND AREA

83,600 km2

CAPITAL CITY ABU DHABI

LANGUAGES

• UAE relies on agrifood imports for 90% of its food requirements

• Bilateral relations between Australia and the UAE are friendly, multi-faceted and growing rapidly

• They are underpinned by extensive trade relations, and the UAE is Australia's largest Middle East trade and investment partner

• UAE offers a liberal and business-friendly environment, as well as one of the most stable and safest markets in the region

• Biggest city is Dubai (1,137,347 people) followed by the capital city, Abu Dhabi (603,492 people)

ECONOMY

• UAE is one of the most globalised economies in the world with over 30 bilateral investment treaties and membership of the World Trade Organisation

• The Middle East's third largest economy, and one of the wealthiest countries in the region on a per capita basis with GDP in 2022 estimated at US$508 billion

• Ranked no. 16 on 'Ease of Doing Business Index' globally

POPULATION DENSITY RANKED #96 IN WORLD AT 114 PER km ² MEDIAN AGE 33.5 YEARS 94% URBAN

ETHNICITY: 12% EMIRATIS | 88% EXPATRIATES >200 NATIONALITIES LIVING & WORKING IN UAE

POLITICAL ENVIRONMENT

• A Federation of seven autonomous Emirates

• Governed as an absolute Islamic (Sunni) monarchy with a President who is officially elected every 5 years by the Federal Supreme Council, but because the ruler of Abu Dhabi customarily also holds the presidency of the UAE, the office is de facto hereditary

• The head of government is the Vice President and Prime Minister

CONNECTIVITY

• UAE’s strong logistics network is ranked 11th in the world

• UAE is home to an advanced system of warehouses and a sophisticated transportation infrastructure, which ensures good connectivity and quick and efficient transportation within the country, between ports and free-trade zones

• Direct flights operate daily via Emirates from Adelaide, Perth, Sydney, Melbourne and Brisbane

2024 CULTURAL HOLIDAYS (Note: Islamic holidays are determined according to moon sighting)

• New Years Day 1 January

• Eid Al Fitr from 29 Ramadan to 3 Shawwal 1445 AH (4 days)

• Arafah day & Eid Al Adha (Feast of Sacrifice) from 9 to 12 Dhu al Hijjah 1445 AH (4 days)

• Hijri New Year (Islamic New Year) 1 Muharram 1446 AH

• Prophet Mohammed's birthday 12 Rabi’ Awwal 1446 AH

• National Day 2 & 3 December (2 days)

EMIRATS (CITIZENS) 1.14m EXPATRIATES 8.36m TOTAL POPULATION
m
9.5
ARABIC
CURRENCY UAE DIRHAM (AED)
EXPORT MARKET PROFILE | DUBAI

THE DUBAI CUSTOMER

UAE consumers are categorised by income level as well as nationality origin

• High-earners are increasingly interested in healthy eating, which is driving demand for organic produce and superfoods, such as kale and berries, regardless of price

• Low-income expatriate workers have showed price-conscious behavior in recent years, which strengthened demand for staple products as well as discounted items

• Health awareness, increasing demand for convenience, and a more conscientious spending approach in the face of the current economic situation have shaped consumption of fresh produce in terms of type, quality and pricing in recent years

UNIQUE DEMOGRAPHIC

Only 27.8% of the UAE’s population is female yet women influence 80% of all purchases in Dubai 88% of the population come from a nation other than UAE

IMPRESS ME

Consumers expect brands to connect with them personally and treat them as individuals

UAE shoppers have high expectations and earning their loyalty can be a challenge but they are loyal to their favorite brands, with 34% saying they’d buy from their favorite brands, no matter the cost

LUXURIOUS LIVING

UAE citizens spend around 30% of their monthly salaries on luxury goods

Foreign products account for 58% of all UAE purchases

BERRY TRADE 2022

In 2022, Australia only recorded 49 tonnes of Strawberry exports to the UAE - no Rubus or Blueberry shipments took place

SUPPLY

CHAINS

MAINSTREAM RETAIL

The UAE’s well-developed, modern retail infrastructure ensures a diverse portfolio of fruit and vegetables as well as prices

• Most supermarkets and hypermarkets as well as leading importers have established relationships with suppliers from around the globe to ensure year-round supply

11,666

2,936

3,103

• Dubai is also home to the Al Aweer Central Fruit and Vegetable Market, the heart of fresh fruit and vegetable trade in the country

Exporter Country 2022 Share % 5yr avg Share % Total Volume Imported Egypt 40.1 38.0
tonnes HS081010 USA 16.3 21.5 South Africa 13.1 7.5 Morocco 9.6 9.6 UK 4.3 1.9 USA 25.9 39.4
tonnes HS081020 Mexico 25.0 25.1 South Africa 15.1 7.3 Peru 10.7 6.9 Portugal 6.7 2.4 South Africa 32.9 26.6
tonnes HS081040 Morocco 24.5 11.4 Peru 10.9 7.6 Zimbabwe 8.4 5.2 Mexico 5.5 9.1 Source: Wordbank Market Insights
EXPORT MARKET PROFILE | DUBAI

DUBAI CONSUMERS ARE HEAVY ONLINE SHOPPERS

• 53% use online grocery delivery services weekly and rely on food deliver y apps more than consumers in other cities in the Middle East

• 71% of Middle East consumers purchase at least some of their groceries online, and a third make microtrips to the grocery store or supermarket daily or more frequently

• When it comes to delivery, shoppers expect instant gratification and are willing to pay for 0-2 hour delivery

• Still expect a good in-store experience and malls are becoming lifestyle destinations

FOOD SERVICES

• Dubai recorded its highest ever annual tourist arrivals in 2023, attracting 17.15 million international overnight visitors

• The multiculturalism of the country’s expat community has resulted in diverse eating habits and a large foodser vice sector offering a variety of cuisines, hence there is a diverse demand-structure within fresh produce

• There are 26,795 cafes and restaurants in Dubai

• QSR is the largest channel in the UAE foodservice profit sector by revenue, representing 40.4% of total sector

• The accommodation channel is the second most prominent channel, with a market share of 19.2%

OPPORTUNITIES

The combination of diversity in demand and a structured supply side makes the UAE an interesting market for fresh fruit and vegetables and presents opportunities for suppliers of high quality produce

The UAE is a captive market where consumers are willing to look at and try new products and value international brands

Health awareness and demand for sustainability have boosted growth for fresh fruit and vegetables

The health food sector has also grown a lot, and Australian organic products are trending and selling well, with government initiatives to increase health awareness among UAE consumers introduced in 2016

TIPS FOR SUCCESS

ECOMMERCE

In 2022, the top online grocery stores were: Kibsons specialises in fresh produce

• Many online grocery stores offer subscription services

• 53% use online grocery delivery services weekly

CHALLENGES

A reliance on agrifood imports for 90% of its food requirements means UAE is an intensely competitive market

Exporters need to differentiate themselves with a unique offering and a premium consumer proposition

Growing demand for convenience holds risks and opportunities for fresh produce

The major supply markets of Egypt and Morocco have a strong proximity and language advantage

 The presentation and packaging of your product is extremely important

 The retail sector in UAE is very visually appealing

 It is beautifully fitted out and well merchandised by a strong cohort of attentive and trained staff

 Fresh food must look its very best to obtain premium pricing in UAE

 In-store promotions are a very effective way to cut-through in the market place

EXPORT MARKET PROFILE | DUBAI
Talk to A&D today about how to reduce giveaway and improve product quality. Locally Stocked and Supported in Australia. Inspection Systems | Metal Detectors | Checkweighers | Data Capture PREVENT PRODUCT RECALL REDUCE PRODUCT GIVEAWAY or visit: www.andinspection.com.au 1800 241 434

Mechanical Harvesting in Blueberries — taking the intensity out of labour

Growers continue to look at various avenues to sustain profitability. The focus has been on breeding for seasonal timing of production, taste and harvest efficiencies to produce larger, more well-presented berries; relocating to more ideal elevation/ geography; exploring protected cropping options; and potentially bench marking the cost of production.

There is absolutely no question that the labour component is the largest expense category in berry production and any changes that can reduce that labour cost will contribute significantly to overall profitability.

The recent pandemic highlighted the industry’s fragile reliance on a transient workforce and has placed pressure on growers to adapt and innovate to ensure future viability

The Bennings family has been growing blueberries in Northern NSW successfully since 1998 and know all too well about the need to innovate or disappear. While other growers have chosen the path of geography and genetics, they have made a conscious decision to mechanise their harvest operations to overcome increasing labour costs. Speaking to Jas Benning, he believes their current mechanical harvester set-up, which takes 3 people to operate, is able to harvest an area in a similar time frame to 400 pickers. For growers aware of the magnitude of managing and paying 400 pickers per day, this is nothing short of an extraordinary feat!

The Bennings family currently have two machines operating which cost approximately $500,000 each to import from the United States. Not every farm will be suitable for the use of mechanical harvesters as there are some pre-requisites for the use of the current technology:

• a suitable age or size of bush

• the right variety

• no protected cropping structures like netting or tunnels

• trained operators

• an adequate grading machine

Looking at the current set-up, the ideal variety for machine harvesting would have a compact harvest window, upright growth and laterals, easy detachment of ripe fruit (without pedicel attached), small picking scar, not prone to tearing and overall firm fruit quality.

For the final harvested product, a more advanced grading machine (e.g. KATO260) is required to ensure efficiencies and profitability gained from mechanical harvesting are not lost during the grading or packing process.

53 53 BLUEBERRIES

A few limitations surround current varieties that are not very suitable for machine harvesting. As such, blocks still have to be hand-picked at the start of the season to be prepped for mechanical harvesting. Thereafter, if there are too many low hanging laterals (especially on younger plants), hand-picking ensures the block is free of overripe fruit that will pose risks to fruit fly infestations.

In addition, during the off-season, the machines currently remain idle due to the lack of suitable

varieties in their current planting inventory. As such, they are looking at contracting the machines out to growers who may be interested.

Even without the perfect mechanical harvesting scenario available, the efficiencies gained are well and truly apparent and the future is bright for the pairing of genetics and mechanisation to revolutionise the sustainability of the Australian fresh blueberry industry.

54 BERRY AUSTRALIAN JOURNAL AUTUMN 2024 EDITION 18
Jas Benning standing next to the blueberry mechanical harvester in a rabbiteye block. Photo credit: NSW DPI

Rabbiteye blueberries ready to be harvested

Positioning the mechanical harvester in the middle of the row ensures no fruiting laterals are missed. One of the difficulties faced harvesting a young bush is the proximity of the fruiting lateral to the weed mat

Re-stocking on red trays that hold the berries for transport to the packing facility

Jas Benning standing on top of the harvester ensuring proper positioning, speed and vibration is used

55
Photo credit: NSW DPI

Rotating and vibrating rods used to detach ripe berries. The speed and vibration of the rods dictates the strength at which the blueberry bush is shaken

If the machine is operating ‘under strength’, too many ripe berries are left on the bush. This creates inefficiencies and decreases the quality of the next harvest

The machine can strip too many leaves and green fruit off if not calibrated properly. Jas Benning checks the rows to ensure not too much fruit has been lost

56 BERRY AUSTRALIAN JOURNAL AUTUMN 2024 EDITION 18
Photo credit: NSW DPI
57
A fruiting lateral AFTER the harvester has gone through A fruiting lateral BEFORE the harvester has gone through Photo credit: NSW DPI

machine harvested product is ready to be transported to the packing facility for further grading and sorting

Photo credit: NSW DPI Fruit that has been knocked off the bush is moved into red trays on the white conveyor belt, while rubbish is blown off from a chute above it The

THE NEW BENCHMARK IN BLUEBERRIES.

For control of Botrytis, Powdery mildew, and now a permit for rust (PER92997), Nufarm Intervene is the new benchmark in blueberries.

The APVMA has issued an off - label permit (PER92997) enabling the use of Nufarm Intervene on rust in blueberries. It is essential that growers read the permit prior to use and comply with all the conditions.

• Please also refer to P5 of the “Berry plant protection guide 2023-24” for more information.

• “Managing blueberry rust” by Melinda Simpson should also be referred to for strategies to tackle this destructive disease.

To find out more, scan the QR code or speak to your reseller.

INTERVEN E ®

The ABGA LEVY HAS BEEN DISCOUNTED FOR 2023/24

Why should I pay the voluntary levy?

Voluntary levies fund all of the essential activities that contribute to the growth of our blueberry industry. Activities include, but are not limited to:

• Maintaining consumption and price through a dedicated marketing campaign

• Supporting growers through the Varroa mite incursion

• Research & development into registered chemicals + IPM + Integrated Disease Management programs

• Achieving export protocols into Vietnam and other Asian markets

• Progressing applications for market access to China and other countries

• Funding our IDO, Exec Director and support staff

• Communication and engagement with members –industry journal, e-news, website, conference

• Promoting positive industry stories and addressing negative media

• Providing our contribution to Hort Innovation under the Collective Industry Fund which is matched with equal funding used for various industry projects such as managing Chili thrips

How much levy do I have to pay?

Standard levies are $0.07c/kg fruit sold. This year the levy is discounted to $0.03/kg fruit sold in recognition of a challenging season. This will commence 01/08/2023.

When do I pay the voluntary levy?

Levies are payable once every financial quarter:

Quarter Period Covered Payable by

Q1 1 July – 30 September 31 October

Q2 1 October – 31 December 31 January

Q3 1 January – 31 March 30 April

Q4 1 April – 30 June 31 July

How

do I pay the levy?

Follow the steps below:

1. Prepare a statement with the following information

• Grower Name

• Quarter + Dates (e.g. Q2 1st Oct - 31st Dec)

• Number of kg fruit sold in that quarter

• Amount of levy being paid

• Indicate if your agent deducts your levies (if so, include agent name)

2. Email the statement to the Membership Officer

Email statement to admin@berries.net.au – the Membership Officer will send you an Invoice for payment

3. Pay your levy to the ABGA account

Account name: Bank:

BSB:

Account:

Reference: Australian Blueberry Growers’ Association Westpac 033 107 181 471

GROWER NAME + Financial Quarter (e.g. “Joe Bloggs Q2 levy”)

My agent deducts levies — what do I do?

Send your statement to Membership Officer (Step 1 above). They will then check that the agent has paid the levy. Email the statement to admin@berries.net.au

What about confidentiality of the information provided?

Any information provided will be kept confidential.

I need help, who do I contact?

Email: admin@berries.net.au | Phone: 0491 751 123

VOLUNTARY LEVIES SUPPORT YOUR INDUSTRY TO SUPPORT YOUR BUSINESS

Reducing reliance on chemical control of fruit fly in blueberries: A Case Study from Smart Berries, Crows Nest, Queensland

Controlling fruit fly has been a persistent challenge for blueberry cultivators in Queensland and Northern New South Wales. Strawberry farmers transitioning to tabletop cultivation have also encountered this adversary as the elevated plant height makes them more susceptible to fruit fly infestations.

Daniel Adames, previously experienced in citrus, tomatoes, and capsicums, joined the Smart Berries Crows Nest blueberry and raspberry farm in 2020 with a focus on enhancing irrigation systems. Rapidly advancing to the role of Farm Manager, he initiated a range of improvements on the 16-hectare farm, which previously produced both blueberries and raspberries.

Despite the farm's success, challenges like the gradual spread of the Varroa mite and the difficulty of blueberries as a forage source for European honeybees are a cause for concern. To safeguard the bees, the farm collaborates with a vigilant beekeeper to ensure the introduction of healthy colonies.

The primary issue, however, has been Queensland fruit flies (Qfly), leading to substantial annual losses despite the extensive use of the available chemical treatments. Determined to find a sustainable solution, Dan meticulously recorded Qfly incidents, identifying peak periods and planning interventions. The farm also underwent a thorough inspection to eliminate any potential additional food sources for Qfly.

While bird netting already covered most of the farm, it proved ineffective against Qfly. Considering insect netting, Dan received a quote that included substantial labour costs. Capitalising on the diverse skills of the PALM scheme workers, backpackers, and locals, Dan opted for in-house installation. The government's expansion of the Horticultural Netting Program to cover all crops further supported this decision.

The installed nets required careful handling, emphasising the need for fully trained staff and strict adherence to workplace health and safety regulations. Once installed, the focus shifted to eradicating Qfly under the nets using a combination of sticky traps for monitoring and protein baits, resulting in a significant reduction in chemical usage.

With Qfly losses eliminated, chemical usage reduced, and a decline in heliothids and lepidopteran pests, the farm's environment thrived. Beneficial insects like ladybirds and parasitic wasps flourished, managing aphid populations without chemical intervention. To support pollination, custom bee windows were installed under the net, benefiting both farm production and the wellbeing of the bees.

While acknowledging the necessity of chemicals like Dimethoate and Spinetoram, growers are urged to explore alternative fruit fly control options. Netting proves to be part of a promising solution, and although the Horticultural Netting Program is set to close in 2024 with limited funding in some states, others still offer financial support for this effective pest management approach.

61 BLUEBERRIES
62
Inside the netted orchard showing how the ‘bee doors’ operate at the edges. Photo credits: Wendy Morris & Daniel Adames

About the Horticultural Netting program

The Australian Government’s Horticultural Netting Program — Trial Expansion aims at helping primary producers of commercial horticulture crops offset the cost of purchasing and installing horticultural netting to increase crop productivity and reduce the adverse impacts of weather events and animal predation on commercial horticulture crops.

The grant amount available is 50% of the cost of purchasing and installing horticultural netting on existing horticulture produce, or on horticulture produce to be established on areas with crop growing history.

The program will close to applications early 2024 or when funds are allocated. Some states had already fully committed funds at the time of publication.

For more information visit: www.agriculture.gov.au/agriculture-land/farm-food-drought/hort-policy/hort-netting-program

In this newly established part of the orchard, the protein bait is applied to a pole at the end of a row Yellow sticky pad attracts and captures pests and is a useful monitoring tool
63
Photo credit: Wendy Morris

Reducing Qfly with the ABC approach

AAttract and kill flies with protein

Why:

• A protein + toxicant attracts and kills flies

• Fruit flies require protein before they can sting fruit

How:

• Mix protein lure with toxicant at the recommended rate

• Apply as a spot or band to the host plants

When:

• Start early and apply weekly until at least 3 weeks after harvest

• Apply more often if you see signs of Qfly damage or increased activity

Note:

• Protein may cause fruit burn - test before use - minimise fruit contact

• Treating larger areas including non-fruiting blocks and surrounds will improve results

BReduce male flies with Male Annihilation Technique (MAT)

Why:

• Reducing the male population will help improve fruit fly control

How:

• Place MATs throughout your blocks and in immediate surroundings at 10 – 20 per hectare

When:

• Apply three times per year

• Leave individual MAT out for a full 12 months

Note:

• Use MAT as well as protein baiting (not instead of)

• Works best when used over large areas leading to improved control over time

CPractise good sanitation

Why:

• Surviving flies from last year are major contributors to spring populations

• Minimise fruit fly breeding for best results

How:

• Remove unwanted hosts including feral and neglected trees

• Remove all residual fruit following harvest

• Destroy any fallen fruit if damaged by Qfly

For more resources to assist you with fruit fly management please visit the new Resource Library on the industry website and type ‘Fruit Fly’ into the Search Box.

With thanks to New South Wales Department of Primary Industries and Bugs for Bugs for the ABC Guide content.

64 BERRY AUSTRALIAN JOURNAL AUTUMN 2024 EDITION 18

Jiffy Blueberry mix for long lasting results

• RHP Certifi ed inputs to produce a premium blend of coir, peat and perlite.

• AFP and WHC specifi cally designed to suit Australian growing conditions.

• Perfectly balanced particle sizes to ensure mix stability and longevity.

• Quality materials for the perfect starting PH (of approx 4.3).

AFP of 28-38% for healthy roots

WHC of 50-70% for effi cient nutrient uptake

Long lasting premium materials

Tel.: 1300 695 098 www.gardencityplastics.com

Scan to le arn more

A review of nature-based systems available to treat blueberry irrigation run-off

• The Clean Coastal Catchments (CCC) Research project is assessing the effectiveness of nature-based systems for the removal of nitrogen from crop irrigation runoff at the Wollongbar Primary Industries Institute

• The bioreactors are showing excellent nitrate reduction, based on the water quality data observed during the sampling (spring 2023) season

• The reed bed also demonstrated effective nitrogen reduction where the hydraulic retention time was at least 4-5 days

The two most adopted nature-based technologies for reducing nitrogen levels from wastewater are constructed wetlands (reed beds) and denitrification bioreactors (wood chip bioreactors). In this trial, three bioreactors and one reed bed were installed at the Wollongbar Blueberry Nutrition Research Facility to treat nutrient rich runoff from 300 potted blueberry plants.

The project adopted common design and operational elements from existing denitrifying bioreactors and reed beds within Australia and across the world. Once installed the efficacy of the bioreactors and the reed bed to reduce the nitrogen (volume and quality) of the irrigation runoff water was measured.

This activity will provide basic design and construction schematics of the bioreactors and reed bed to assist growers from across the intensive horticulture industry to incorporate the technology, appropriately scaled, into their farming systems.

Background

Nitrate applied as fertiliser, either prior to crop planting or during crop production is highly mobile and leaches easily from shallow soil layers to lower soil layers. In areas of shallow groundwater this can result in the nitrate entering the local groundwater. Additionally, the mobility of nitrate means that in some cases surface runoff water can contain a significant amount of nitrate and this runoff water can cause negative off farm impacts.

Bioreactors and wetlands create the required conditions for the rapid conversion of water-soluble nitrates into dinitrogen (N2, a gas), providing a viable method for reducing excess nitrogen in water flowing from intensive horticultural operations, including hydroponic fertigation systems. This occurs via the relatively simple heterotrophic microbial mediated ‘denitrification’ reaction (Kadlec, 2009), which converts water soluble nitrate to dinitrogen gas (N2). However, it is important to get the conditions right, such as sufficient capacity to meet minimum retention times based on the flow rate and nitrogen concentration of the irrigation runoff, for this technology to be effective and efficient.

Experimental Design

Irrigation runoff water is collected from the substrate blueberry drain system into a common collection sump (~200L), prior to being dosed to either the bioreactor trial or the reed bed trial; Sampling schematic (Figure 1) actual setup (Figure 2).

66 BERRY AUSTRALIAN JOURNAL AUTUMN 2024 EDITION 18

Blueberry Tunnel

INFLOW WATER SAMPLE

OUTFLOW WATER SAMPLE

Figure 1. Bioreactor and wetland schematic design Source: Mark Bayley Consulting

Figure 1 shows a schematic design of the three bioreactors and one wetland, location of the common collection sump, valve assembly, flow meters and sampling points in relation to the blueberry tunnel and the trial bioreactors and wetland. It also lists the analytes to be monitored which are also shown in Table 1.

Source: Mark Bayley Consulting, November 2023

The photo in Figure 2 shows the bioreactors and wetland in situ. The wetland is a rectangular reed bed (subsurface flow) in the foreground, lined with impermeable membrane. The bioreactors are seen by the three green square 750 litre containers behind the reed bed and in front of the valve assembly. The bottom corner of the blueberry tunnels is seen in the background immediately behind valve assembly.

One of the benefits of bioreactors is that the reduction of nitrate from agricultural runoff water occurs in a relatively short time frame following their construction.

Reed beds, on the other hand, require more time (12-18 months) before their optimum denitrification potential is achieved. As such, the trial commenced with the bioreactors while the reed bed undergoes its ‘maturation phase’.

BR1 BR2 BR3 WETLAND W1 BIOREACTORS Common collection sump, with pump FLOW METER VALVE ASSEMBLY Figure 2. Reed bed in foreground and bioreactors in background
67

Trial methods and interim results

Flow Monitoring

The flow of irrigation runoff water into each of the bioreactors and reedbed is measured using a 25 mm inline flow meter. Manual readings are taken on the day of water sample collection.

A water-level sensor is located within the irrigation collection sump, with the water level being logged every 2.5 minutes. This logger counts the number of pump cycles delivered to the treatment systems and therefore an overall daily flow rate can be calculated.

Water quality monitoring

Water samples were collected from the common inlet and each outlet of the three bioreactors / reed bed three days a week of the respective sampling periods and analysed for the analytes (Table 1).

Table 1. Water sampling analytes

Water sampling analytes

Total Nitrogen (TN)

Ammonium

Nitrate + Nitrite

Total Phosphorus

Free reactive phosphorus

Dissolved Organic Carbon

Total organic carbon

pH

Temperature

Conductivity

Dissolved oxygen

Redox potential

Interim results

Bioreactors

Initially, irrigation runoff to the bioreactors was variable, resulting in irregular flows for the first 3 sampling dates, ranging from ~250 L/day to 15 L/day and a mixture of hydraulic retention times for the irrigation water within the bioreactors. This stabilised by mid-August 2023 where the average flow to the bioreactors was 42.35 L/ day with standard deviation of 6.39.

Figure 3 and Figure 4 show that once the flow rates stabilised, nitrate removal across all three bioreactors was extremely high, with removal efficiencies exceeding 95% across this time series.

While there was an overall Total Nitrogen (TN) reduction within the bioreactors, ammonium (NH4-N) increased in all reactors in comparison to the sump in the last six sampling events.

This is most likely the result of Dissimilatory Nitrate Reduction (DNRA) – where nitrate is reduced to ammonium by obligate anaerobes in low oxygen conditions (Redox Potentials below 0 mV) (Reddy and DeLaune, 2008).

Redox Potential reduced to less than 0mV by 18 August, which corresponds to the increase in ammonium in that and all subsequent sampling events (Figure 4).

Denitrification is a more conservative, energy efficient molecular pathway for nitrate loss (Reddy and DeLaune, 2008), therefore while some DNRA may be observed, denitrification is expected to remain the dominant pathway for nitrate loss within the bioreactors.

Reed bed

Reed bed monitoring data was collected for the period 20 September 2023 to 16 October 2023 and water quality results of the reed bed trial for both nitrogen and phosphorus species were measured (Figure 5, Figure 6).

During the sampling period, the irrigation runoff delivered to the reed bed was around 200 litres per day at the beginning of the sampling period, and then after dropping to around 50 litres per day, was increased to around 400 litres per day for the final two sampling events (red line Figure 5, Figure 6). Increased flow results in a reduced amount of time water are held within the reed bed (HRT) and hence a reduced treatment time, shown as the green line (Figure 5 and Figure 6).

68 BERRY AUSTRALIAN JOURNAL AUTUMN 2024 EDITION 18

Figure 3. Bioreactor flow and Hydraulic Retention Time (HRT), August 2023

Source: Mark Bayley Consulting

Figure 3 shows a plot of daily flow rates, and daily hydraulic retention times (HRT) for the three bioreactors for 11 sample dates between 2 August 2023 and 30 August 2023. The plots show considerable variability in both flow and HRT between 2 August and 22 August (typically, when flow is high, HRT is low and vice versa). From 22 August, the plots stabilise to around just under 42 litres per day flow and 4 days HRT

Total nitrogen loss across the sampling period averaged ~40% removal under a Hydraulic Retention Time (HRT) of approximately 4 days, with the exception of the last two monitoring rounds where flow to the reed bed significantly increased and the HRT of the reed bed reduced to around 2 days (Figure 5, Figure 6). Removal of NO3-N averaged around ~25%, with NH4-N reduction approximately ~66% across the sampling period (ignoring the last two sampling regimes where there was excessive flow through the reed bed).

Phosphorus removal within the reed bed was high, at ~41%, however this is not expected to persist as one of the main mechanisms for phosphorus removal within reed beds is the adsorption of PO4-P onto the surface of the substrate. It is expected that over time phosphorus reduction will decrease and be limited to that which is taken up by the plant and microbial community.

69

Figure 4. Bioreactor water quality results, August 2023

Source: Mark Bayley Consulting

Figure 4 shows a series of plots of daily concentrations for (1) Total Nitrogen, (2) Nitrate, (3) Ammonium and (4) Redox Potential. Corresponding with the date (22 August) in Figure 2 when flow rates into the bioreactors stabilises, the data show that total nitrogen and nitrate is significantly reduced by all three bioreactors compared to the concentrations in the sump (pre-bioreactor). During the same period, ammonium concentration increases compared to the concentrations in the sump (by up to 8 mg/L) and the redox potential moves to below 0mV.

70 BERRY AUSTRALIAN JOURNAL AUTUMN 2024 EDITION 18

Figure 5. Reed bed water quality results for Nitrogen, including flow and HRT data

Source: Mark Bayley Consulting

Figure 5 contains three graphs showing daily concentrations of (1) Total Nitrogen, (2) Nitrate and (3) Ammonium in both the sump (pre-reed bed) and the reed bed, as well as daily flow (litres per day) and HRT (days) for 8 sampling days between 20 September 2023 and 11 October 2023. The graphs show that the reduction in total nitrogen, nitrate and ammonia was effective while the daily flow and HRT was around 100 L/day and 4 days HRT, respectively. It also shows the reed bed was less effective in reducing these when the flow rate was around 400 litres per day and the HRT only 2 days.

71

Figure 6 contains two graphs showing daily concentrations of (1) Total Phosphorus and (2) Free Reactive Phosphorus (FRP) in both the sump (pre-reed bed) and the reed bed, as well as daily flow (litres per day) and HRT (days) for 8 sampling days between 20 September 2023 and 11 October 2023. The graphs show that the reduction in total phosphorus and FRP was effective while the daily flow and HRT was around 100 L/day and 4 days HRT, respectively. It also shows the reed bed was less effective in reducing these when the flow rate was around 400 litres per day and the HRT only 2 days.

72 BERRY AUSTRALIAN JOURNAL AUTUMN 2024 EDITION 18

Conclusions and recommendations

The bioreactors are showing excellent nitrate reduction, based on the water quality data observed during the sampling (spring 2023) season. Continued monitoring may show that increased irrigation rates through the warmer months results in higher hydraulic loading and potentially lower nitrate removal rates. However, at this stage, there appears to be sufficient capacity within the bioreactors suggesting that no major changes to the experimental design will be required. Once this is established, design parameters can be confirmed and scalable solutions for intensive horticulture can be specified.

The reed bed also demonstrated effective nitrogen reduction where the hydraulic retention time was at least 4-5 days. When Nitrogen is in high concentrations (>80 mg/L), the data suggests that there is a rapid reduction in nitrogen with-in the first 4-5 days, however this rate of loss appears to slow significantly as the HRT increases. As inflow increased and HRT dropped below 2.5 days, significantly less nitrogen reduction occurred.

This suggests that the reed bed is best designed to cater for the largest anticipated inflows targeting an HRT of at least 4-5 days. Further monitoring of the reed bed will help quantify and explain these observations.

While significant reduction in phosphorus levels were observed, this was attributed to absorption onto the surface of the new substrate. As the reed bed matures, absorption by the substrate is expected to decrease and phosphorus loss will be limited to that which is taken up by the plant and microbial community.

Acknowledgements

This research was funded by the NSW Government under the Marine Estate Management Strategy. The ten-year Strategy was developed by the NSW Marine Estate Management Authority to coordinate the management of the marine estate.

CAN DEVELOP STRONG ROOT GROWTH AND STRUCTURAL STABILITY WITH OUR

Global Axis Import Solutions is a family owned Australian business ‘making it happen’ since 1988. We offer a comprehensive range of high quality products and services, predominantly the distribution of growing substrates for the mushroom, berry and horticultural industries. Global Axis are the exclusive Kekkilä-BVB Distributors for Australia and New Zealand.

Learn more by calling (08) 8277 1040 or email admin@globalaxis.com.au

READY TO TAKE YOUR BLUEBERRY CULTIVATION TO THE NEXT LEVEL?
BLUEBERRY SUBSTRATES!
YOU

Profile: Bloobs Blueberries, Tasmania

Situated at Gardners Bay, near Cygnet in southern Tasmania, ‘Bloobs’ is a 2.5ha blueberry farm run by Tim and Jo Muir. Tim is a teacher with 25 years’ experience, whilst Jo is a scientist and professional working for the University of Tasmania. After planting their first blueberry plants 10 years ago, the couple have continued to grow the business while also bringing up a family and juggling demanding jobs.

Bloobs’ story began in 2009 when Tim and Jo purchased the 22-acre site of grassy paddocks at Gardners Bay. The area is ideal for supporting blueberry production. The long, cool growing season is protected from temperature extremes and allows the production of slow-grown, excellent quality fruit with great flavour.

Today, Bloobs have five varieties of blueberries in production, with their harvest starting off in midDecember and running through until late February. With many bushes still coming into full production, Tim estimates that this year’s harvest will be approximately 16 tonnes but is expected to grow to around 20 tonnes once all plants are in full production.

74 BERRY AUSTRALIAN JOURNAL AUTUMN 2024 EDITION 18
Jo and Tim Muir from Bloobs Blueberries Photo credit: Mark Salter, FGT

Production

The Muir’s have a strong focus on environmental sustainability, and this is evident in the way the fruit is produced.

Tim and Jo are passionate about growing a product that is genuinely healthy, high quality and certified organic.

The plants are all grown in the ground under organic principles, meaning there is a heavy emphasis on biological practices such as mulching and the use of compost teas to help build microbial activity in the soil.

Water is sourced from a series of creek fed dams, with a drip irrigation system used to water the plants. The site also features overhead irrigation sprinklers, which are used for cooling and frost protection.

Tim uses an agronomist with organic experience to guide his nutrition program while pests and diseases are managed using organic techniques.

Tim is also experimenting with trellising some of the varieties to hold the lower limbs higher keeping them from touching the ground, which will make the harvest process more efficient and hopefully result in more first grade fruit.

Focusing on local

A large portion of Bloobs’ blueberries are sold locally in packaging sourced from recycled materials, with excess fruit sold into interstate markets in Melbourne, Sydney and Adelaide. Fruit is stored in new coolstore facilities, before being hand sorted and packed using a recently purchased blueberry punnetiser. To harvest their crop, Bloobs employ around 15 pickers during the busy harvest period in addition to Tim, Jo, and their three sons who work during their summer holidays. Many of the pickers live locally, with some returning every year. Tim says an additional advantage of employing locals is they are available for other tasks such as pruning and mulching throughout the year. The farm is open most days during the season for farm gate sales, and, on Sundays the farm is open for ‘pick your own’ where people can come along and enjoy picking fruit. Jo prefers to use Facebook and Instagram as their main marketing tools for promotion, but also notes the important role that word of mouth can play in building new customer relationships.

Future focus

Looking to the future, Tim says some of their goals include identifying new opportunities to add value to their lower grade fruit, and as the business grows, spending more time on the farm.

Blueberry bushes grown in ground at Bloobs Blueberries
75
Photo credit: Mark Salter, FGT

The world around us is changing faster than ever. With 100 years of experience we are ready for any challenge. Our high quality substrates ensure that you and your crops are ready for the future. Wondering what we can do for you? Feel free to contact me or one of my colleagues! Discover

Sales Manager Australia & New Zealand +61 (0) 3 95555267 info.aus@legrogroup.com

www.legrogroup.com

Experience smart pre-grading with the TOMRA Neon. It’s durable, easy to clean, and compact, making it a perfect fit for any existing blueberry processing line. The TOMRA Neon removes over 95% of clusters and over 90% of green and red berries, improving your optical grader efficiency. Bypass manual sorting and let the TOMRA Neon handle your machine-harvested blueberries for the fresh market.

Phil Badgery
your blend for life
talking to a TOMRA Neon expert today. Get started at tomra.com/neon
unparalleled pre-grading technology for machine-harvested fresh blueberries with TOMRA Neon. Enhance your blueberry operations by
Boosts
efficiency
Operating expenses are on the rise, and every efficiency and cost-cutting advancement has a significant impact. Let the TOMRA Neon enhance your blueberry operations, by making sure Every Resource CountsTM
Removes unwanted and undersized berries Removes over 95% of clusters
your optical grader
Removes over 90% of red and green berries

Leafrollers

Tortricid moths are often known as leafrollers as the larvae roll shoots and leaves together with silken web and feed on leaves and bunches, then pupate within this protected rolled shelter (Lo et al 2000; Simpson and Leong 2023).

Leafroller moths, particularly light-brown apple moth (LBAM, Epiphyas postvittana Walker), Orange fruit borer and (OFB, Isotenes miserana Walker), Mango flower webworm (MFW, Dudua aprobola Meyrick) are significant pests of diverse horticultural crops including cherry, grapes, macadamia, avocado, berries, nurseries, citrus, lychee, and mango.

Feeding damage by leafrollers impairs vegetative growth, impacts new flush and flowering, and reduces fruit setting, not only reducing productivity and market value but also rendering the damaged crop vulnerable to infestation by secondary pests and infection by pathogens (Bailey et al 1996).

The Light brown apple moth (LBAM) is an important leafroller pest with an exceptionally wide host range including fruit crops, broadleaf pastures, and weeds both in its native and introduced ranges. While LBAM is native to south-eastern Australia (Danthanarayana 1975), it has invaded and established in Western

Australia, New Zealand, mainland USA, Hawaii, and much of England (Suckling and Brockerhoff, 2010).

Given LBAM is found throughout Australia, pest pressure is greater in cooler areas with mild summers as it does not survive well at high temperatures.

Orange fruit borer (OFB) is another native tortricid leafroller moth that attacks a wider number of fruit trees including orange, avocado, macadamia, lychee, grapes and morus (Mulberry) species. While in Australia it is established in the Northern Territory, Queensland, New South Wales and Victoria, this moth has also invaded New Zealand and South Asia (Hoare & Hudson 2018).

Over recent years, Mango flower webworm (MFW) has caused increased levels of damage in berries (Adnan 2023). Being native to South and Southeast Asia, it invaded many countries including Australia and has been found to infest mango, cashew, guava, lychee, malay apple, ornamentals, and peanut.

Figure 1: Rolled Rubus leaves (L) and rolled blueberry leaves with MFW larvae (R)
77 BLUEBERRIES: PEST SPOTLIGHT
Photo credit: Saleh Adnan, NSW DPI

Mango flower webworm Identification

The adult moth has pale brownish forewings with various dark markings. Hindwings are plain brown. On the thorax region, there is a crest of dark scales. Female moths lay cream-coloured eggs in small numbers between veins on the undersides of leaves. Newly hatched larvae roll flower buds and young leaves together to form silken webbed feeding shelters.

Pupation also occurs in the larval feeding shelter. While successive generations may occur throughout the year, unlike LBAM their activity is relatively higher in warmer months (September to March in NSW). Given substantial damage has been evident on blueberry and Rubus due to MFW, overall impact is yet to be estimated.

Figure 2. Life stages of Mango flower webworm eggs (1), larvae (2), pupae (3), and adult (4)
4 2 3 1 78 BERRY AUSTRALIAN JOURNAL AUTUMN 2024 EDITION 18
Photo credits: NSW DPI, portioid some rights reserved (CC BY-SA), Roger C. Kendrick all rights reserved

Leaf rolling caused by the larvae of both MFW and OFB are often mistaken for LBAM, resulting in a failure to detect these pests, to recognise their prevalence and impact, and to mount speciesappropriate responses.

How to identify causal leafroller species

Causal leafroller species can be distinguished by their larval appearances (Figure 3). In LBAM, mature caterpillars are pale green with a brown head, whereas mature MFW larvae are translucent yellowish green with black head, and with black first two pairs of legs (Figure 3). Also, fully grown OFB larvae are greyish with a dark brown head capsule and a pair of brown stripes along the body.

Monitoring and management

While growers have reliable monitoring tools as well as management strategies for light brown apple moths (LBAM), such tools are not established yet to monitor and manage other two leafrollers. Usually, growers rely on intermittent scouting for early detection of rolled leaves as soon as new flushes of leaves and flowers become available.

Unlike LBAM, biological options for managing other leafroller species are limited. Currently synthetic products like Chlorantraniliprole (Coragen®), Emamectin (Proclaim®), Tebufenozide are registered on the APVMA database for use against leafrollers in Australia.

Please check the APVMA PUBCRIS website for up-to-date information about permits and chemical registrations: portal.apvma.gov.au/pubcris

Overall, further research targeted for the development of effective monitoring tools and sustainable management practises (i.e., biological control) are advocated to improve the management strategies for Mango flower webworm and Orange fruit borer in berries.

References

Adnan S.M., (2023). Early Needs Recovery Program to address pest challenges in blueberry. Australian berry Journal, 2023 (2), 105-108.

Bailey, P., Baker, G., & Caon, G., 1996. Field efficacy and persistence of Bacillus thuringiensis var. kurstaki against Epiphyas postvittana (Walker) (Lepidoptera: Tortricidae) in relation to larval behaviour on grapevine leaves.

Austral J Entomol, 35(4), 297-302.

Danthanarayana, W., 1975. The bionomics, distribution and host range of the light brown apple moth, Epiphyas postvittana (Walk.) (Tortricidae). Aust. J. Zool., 23(3), 419-437.

Hoare, R. J., & Hudson, N., 2018. Adventive moths (Lepidoptera) established in mainland New Zealand: additions and new identifications since 2001. The Australian Entomologist, 45(3), 273-324.

Lo, P. L., Suckling, D. M., Walker, J. T. S., Shaw, P. W., & Burnip, G. M., 2000. Feeding site preferences of leafrollers (Lepidoptera: Tortricidae) on apple trees.

NZJ Crop Hortic. Sci, 28, 235-43.

Simpson M., Leong G. (2023). Berry plant protection guide. NSW Department of Primary Industries. 52-54.

Suckling, D. M., & Brockerhoff, E. G. (2010). Invasion biology, ecology, and management of the light brown apple moth (Tortricidae). Annu. Rev. Entomol., 55, 285-306.

This Pest Spotlight has been prepared by Dr Saleh Adnan, Research Horticulturist Entomologist, NSW Department of Primary Industries.

2 3 1
Figure 3. Leafroller larvae (1) Light brown apple moth, (2) orange fruit borer, and (3) Mango flower webworm. Photo credit: 1 Jon Sullivan, some rights reserved (CC-BY), 2 trufflethefluffle – some rights reserved (CC BY-NC), 3 NSW DPI
BERRY AUSTRALIAN JOURNAL AUTUMN 2024 EDITION 18 79 79

GRADED, WASHED AND BUFFERED COCO COIR

OPTIMUM AIR-FILLED POROSITY, DELIVERING HIGH-YIELDING PLANTS

UNCOMPROMISED UNIFORMITY, MADE TO CONSISTENTLY HIGH STANDARDS

Contact Phil Badgery for more information: info.AUS@legrogroup.com +61 412169775

“You need the right balance of fibre and particle size to give the necessary aeration – without that it slumps and the roots can’t grow. Botanicoir growbags generate a higher fruit quality and we have seen increased yields.”

MAXIMISING YIELD WITH DRIP AND MICRO IRRIGATION

QUALITY COIR FOR PROFESSIONAL GROWERS
specialises in drip irrigation systems for high-value crops like strawberries, ensuring precision, disease prevention, and water conservation. With a focus on reliability and quality, Rivulis helps maximise yields and profits, promoting the success and growth of berry farms in Australia. To find out more visit rivulis.com GROW BEYOND
Rivulis

The Queensland Strawberry Growers’ Association invites you to attend the 2024 social get together for the Queensland Strawberry Industry Dinner

Saturday 1 June 2024

4.30pm till late

Sandstone Point Hotel

Waterview Bar & Pumicestone Room

Sandstone Point

office@qldstrawberries.com.au qldstrawberries.com.au

• Effective control of grey mould in berries

• Flexible use pattern

• Strong protectant action

• Highly effective on powdery mildew in strawberries

• Nil withholding period

• Translaminar and vapour action

FUNGICIDE ® 50 EW FOR THE B EST BERRIES ®Registered trademark. 231018 QS GA
I N D U S T R Y D I N N E R 2 0 2 4 F O R M O R E I N F O R M A T I O N A B O U T S P O N S O R S H I P O R T I C K E T S C O N TA C T :

Australian strawberries join new mission to inhabit space while turbo charging sustainability innovations

• Strawberry was selected as one of four focus plants to be optimised for space and for greater on-Earth sustainability

• Strawberry has the genetic potential to be an all-around sustainable space plant

• Innovations from space biology will flow to Australian strawberry growers on Earth

It is 2044, a mere 20 years away, and a group of astronauts living on Mars take a break. They reach into the space garden, pick strawberries, and eat them fresh. The taste is sensational – intensely sweet with some tart undertones – engineered to overcome limitations of tastebuds in space.

The space strawberries provide the engineers with vitamin C, sugars, and fibre – but most importantly - provide them with a hit of happiness stimulating dopamine and endorphin production in the middle of their brains, giving senses of relaxation, pleasure, beauty, and accomplishment of growing, picking and eating fresh food with their human companions.

With the strawberries, they reach for a cup of strawberry leaf tea, made from “waste” leaves enriched with genes for protein, oils and starches. Natural strawberry flavours are transformed to the leaves, along with other familiar tea molecules.

What a contrast to what astronauts eat today - dried packaged food, and only available in amounts to get them past the moon.

Today in 2024, the Australian Research Council launched a seven-year Centre of Excellence in Plants for Space. Five Australian Universities, led by the University of Adelaide, are partnered with international space and agriculture agencies, including the Australian Space Agency and NASA, to meet the grand challenge of feeding humans in space.

The aim is to create the plants and food to sustain space habitation by humans; at the same time as spinning off technologies and innovations for sustainable food productivity on Earth. Space research is a catalyst for Earth inventions, and until now, has been dominated by physical sciences.

This century will see the biological sciences revolutionised for space. Space habitation will require the ultimate plant-based diet, because only plants can convert sunlight into energy.

Strawberry was selected as one of four focus plants to be optimised for space and for greater on-Earth sustainability. The other three are: Duckweed from Lemna or Wolffia genera (to be biofactory “workhorse”), Lettuce (for fresh, leafy crunch) and Tomato (for food and existing knowledge about its genetics).

Strawberry contributes unique functions to humans, notably psychological benefits (see box).

82 STRAWBERRIES BERRY AUSTRALIAN JOURNAL AUTUMN 2024 EDITION 18

Features that make Strawberry an ideal plant for space development

• Meets human needs. Strawberry supplies nutritious and psychological needs of humans. Astronauts rank strawberries highly in food tests; and models of future space habitats consider how plants and people will live together (Figure 4A,B).

• High potential edible index as leaves and berries can be eaten safely.

• Low risk of extinction since strawberry regenerates by seed, runner or tissue propagation.

• Wide, untapped genetic variation. Strawberry varieties eaten today come from a narrow genetic base, relative to tomato, for example. Strawberry has wide potential variation from diverse ancestors, modern marker-assisted breeding and new biotechnological approaches such synthetic biology, whereby functions are controlled to turn on or off in specific parts of the plant (e.g. the roots) or at specific times (e.g. flowering window). All these approaches can aid the strawberry space program.

• High on-Earth demand for innovation in growth and harvesting systems. Strawberry for space will be bred for soilless systems, without soil fumigation, and with ultra-efficient use of recycled water and nutrients by salt-tolerant, minimal root systems. Fruit and leaves will be picked by hand and machines. These space innovations are required to increase on Earth sustainability and productivity.

83
Figure 1. Scientists visiting VSICA in Toolangi to plan key traits for space strawberries. Photo credit: Angela Atkinson

From a biotechnology point of view, strawberry is an emerging crop with a sound basis for genetic improvement. The gene codes of the widely grown garden strawberry (Fragaria x ananassa hybrid octoploid) and the ancestor alpine strawberry (Fragaria vesca diploid) are sequenced. Both types can be “transformed”, by inserting a gene or editing a gene using tissue culture to make modified strawberry plants. The breeding cycle is short because of runner propagation and selection by gene markers or trait phenotypes.

Last year, researchers began scoping traits required for space and on-Earth (Figure 1).

To date, three traits are targeted for improvement:

• Roots adapted to soilless systems

• Greater fruit yield and flavour, at desirable times

• Zero-waste

Figure 2. Target traits for strawberries created for space and on Earth.

1. The initial focus is root system improvement (Figure 3). Most crop improvement has focused on above ground traits; however at least 50% of the plant is in the root systems.

Root systems of strawberry for soilless systems in space and on Earth need to be smaller but more efficient in water and recycled nutrient uptake (reducing clogging of thin film pipes and reducing waste), tolerant of the salts in hydroponics, and tolerant to wetting (low oxygen) and drying cycles. Initial observations of root system architecture (Figure 3A) suggest wide variation from garden to alpine varieties.

We recently imported alpine strawberry F. vesca cv Hawaii 4 from the USA to Victoria (University of Melbourne) (Figure 3B). This genotype grows well in tissue culture (Figure 3C), enabling insertion of genes for root and other plant improvement. We will alter genes in roots to make smaller, more efficient and salt and air tolerant roots. These genes are currently being tested and visualised in the model plant Arabidopsis (Figure 3D).

2. Greater, more flavoursome fruit yield can come from greater allocation of biomass and sugars to fruit, also increasing harvest index. It could also come from fruiting earlier and later during the strawberry life, providing growers on Earth with varieties that are neutral to daylength. Space conditions reduce taste, and an ultra-intense flavour is desired. Opportunities to intensify flavour may come from alpine strawberry ancestors (inset of Figure 2).

3. Zero-waste, or “complete-use” means all plant parts meet a need and maximises conversion of water, nutrients and energy resources to food. Today on Earth, leaves and stems are wasted. Strawberry has a relatively low harvest index of 0.3 (proportion of commercial fruit yield to total above-ground biomass) compared to, for example, tomato at 0.7. One way to increase the harvest index is to find ways by which leaves or leaf-products can be eaten, therefore a target is enhanced leaf flavour and nutrition and conversion of leaves into an additional product on Earth.

Research to select or develop the best fruit plants for Space is ongoing in NASA (Figure 4C) and will be supported by research in the Australian Centre of Excellence in Plants for Space.

1. Roots adapted to soilless systems 2. Greater fruit yield & flavour, at desirable times 3. Zero-wasteHarvest Index~1
84 BERRY AUSTRALIAN JOURNAL AUTUMN 2024 EDITION 18

3. Root systems of strawberry need to be optimised for space and Earth

A. Wide genetic variation exists for root system size, length and fineness

B. F. vesca Hawaii 4 is a genetic model for gene discovery and manipulation outside breeding.

Seed was sourced from the USA and is growing at the University of Melbourne

C. Hawaii 4 grows in tissue culture for future insertion of genes

D. Root specific genes have been visualised in Arabidopsis, and these genes are candidates for strawberry root system improvement

Figure
A
Photo credits: A. Michelle Watt; B-D. Jacob Calabria
B
D
C F x ananassa
85
F. vesca

Figure 4. Models of space habitats for plants and research on the best varieties of plants for space

A. Plants in a model of the Sierra Space Life Habitat showing zones for growing plants and living alongside each other

B. Life-sized model of the Lockheed Martin Deep Space Habitat with chambers for inverted plant growth

C. Test crop species being evaluated for space missions at NASA Kennedy Space Centre. Plants are grown under low power LED lights, their features measured, and the nutrition and quality of fruits are tested. The Sierra Space Life Habitat and Lockheed Martin Deep Space Habitat models are on display at Kennedy Space Centre Visitor Complex

credits: Harvey Millar during visit to NASA Kennedy Space Centre August 2023

A B C 86 BERRY AUSTRALIAN JOURNAL AUTUMN 2024 EDITION 18
Photo

On Earth, the strawberry industry faces major challenges from environmental compliance laws related to the use of fumigants and plastics, and from variable climate.

At the same time, demand for strawberries is growing nationally https://www.abc.net. au/news/rural/2021-09-27/blueberry-vsstrawberry-australias-most-valuable-berrycrop/100493978 and internationally https:// ukuat.org/2021/07/22/what-is-the-role-oftcea-in-the-worldwide-strawberry-production

We are optimistic that strawberry has the genetic potential to be an all-around sustainable space plant, and that innovations from space biology will flow to Australian strawberry growers.

Acknowledgements

We are grateful to Dr. Angela Atkinson and Dr. Scott Mattner for hosting visits to Toolangi runner production sites, and to strawberry raised bed systems at Spirli Strawberries in Wandin. Jacob Calabria provided research results related to tissue culture and root gene expression.

Prof. Michelle Watt holds the Adrienne Clarke Chair of Botany, which is supported through the University of Melbourne Botany Foundation.

Prof. Harvey Millar holds an ARC Laureate Fellowship from the Australian research Council at the University of Western Australia.

Research will be supported by the Australian Centre of Excellence in Plants for Space.

The Centre is keen to interact with growers and industry across the Australian sector, to add and refine improvements.

To contribute ideas to strawberries for space and on Earth innovations, please contact:

Prof. Michelle Watt: watt.m@unimelb.edu.au

Prof. Harvey Millar: harvey.millar@uwa.edu.au

Growing Solutions Steel Gutter Irrigation Fertigation Substrates Water Treatment Climate Control Trellising Accessories Australia-wide Sales, Service & Spare Parts Ph 1300 763 141 aisgreenworks.com.au

Early learnings about coir reuse trials

• This project was set up to investigate the opportunities for the reuse of coir

• Some of the early learnings from this work are discussed in this project update

• Alternatives to coir are also being evaluated as part of this project

Tasmania’s strawberry producers widely rely upon hydroponic production systems because they allow growers to closely control the nutrition, and water availability of strawberry plants. Hydroponics also increases productivity and reduces losses to pests and diseases. Harvesting is not influenced by weather and picking costs are lower, compared to soil culture. Within these systems, the choice of substrate (soilless growing medium) can greatly influence water retention and drainage, aeration, root gas exchange, and susceptibility to pests and diseases.

The use of coir (coconut fibre) has been commonly adopted in Tasmania due to access to ample supply from India and Sri Lanka, low cost, favourable water holding capacity, and drainage characteristics. Due to the relatively low cost, growers could afford to replace the coir substrate annually, providing them with a sterile material they could plant into to minimise plant exposure to possible substrate-borne pests and diseases.

In 2020, growing supply chain disruptions and rising costs for coir prompted some of Tasmania’s strawberry growers to review how they use coir and consider options for reusing or replacing coir from local sources within their production systems to drive a better return on investment.

Key questions were:

• Does coir physically hold up enough to consider reuse?

• What can / should we be mixing or replacing it with to improve its properties?

• Is sterilisation warranted before reuse?

Forming a team of growers, research providers and industry representatives, the group was able to secure funding through the Tasmanian Government’s Agricultural Development Fund to investigate the opportunities. Some of the early learnings from this work are discussed in this project update.

Physical properties and structural suitability of reused coir

Initially, the project research established that coir used for one season does not pose a disease risk to strawberries if reused. Then strawberry producers wanted to know how quickly coir degraded with use, and whether the water holding capacity (WHC) and drainage properties of reused coir were still suitable for supporting strawberry production. They also wanted to understand how fresh and used coir compares to a new wood fibre product that was trialled. To gain a better understanding of the physical properties of the materials, the group brought in soil physics experts from the Tasmanian Institute of Agriculture to characterise the hydraulic properties of both new and used coir which had already been used for one season and wood fibre.

Samples of each material were tested to determine their saturated hydraulic conductivity to measure WHC and drainage properties of both materials (Table 1). Saturated hydraulic conductivity represents the downward movement of water through the substrate at saturation. Notably, the used coir appears to have higher saturated hydraulic conductivity than the new coir, possibly due to root growth creating continuous pores, or decay of material resulting in pore creation.

89 STRAWBERRIES

Conductivity rates for both substrates were very high, with hydraulic conductivity greater than 120 mm/hr. This rate was in line with that of other substrates used in nurseries and for hydroponics, but is considered very rapid compared to soils (Hazelton & Murphy, 2007).

Both materials also demonstrated high levels of drainable porosity (Table 2), which represents the volume of air space need for roots to breath after the soil has drained from saturation. Used coir substrate demonstrated a higher level of drainable porosity than new coir, indicating that air capacity remains adequate to support root healthy function. When combined with the extremely high saturated hydraulic conductivity, these properties suggest that the ability of coir material which has been used for one year to rapidly drain from saturation is not likely to substantially differ from new coir material.

With regards to moisture retention within the coir substrate, new and used coir showed no differences in saturated moisture content and drainable porosity, but significant differences were observed in the volume of readily available water (RAW; -5 kPa to -30 kPa) accessible by plants to support rapid growth, as well as deficit available water (DAW; -30 kPa to -1500 kPa) accessible by plants to support slow growth, maintenance and survival during drought. Used coir was able to store greater volumes of readily available water retained within the substrate, reflecting the formation of

larger water-storing pore spaces within the substrate. When considered in conjunction with attributes relating to drainage, these results suggest that coir substrate which has been used for one year remains just as well suited for strawberry production, with drainage and moisture holding attributes which remain at least as good as new coir substrate. Further research is also planned to see if these properties continue to persist at the end of two or three years of usage.

Commercial alternatives to coir

Growers sought to understand what other materials were available which might partially or wholly replace coir. Wood fibre was identified for further physical assessment as (1) an unmixed product, and (2) wood fibre mixed with coir at two different proportions (25% wood fibre and 50% wood fibre).

Tests of wood fibre indicated greater saturated hydraulic conductivity and a higher proportion of drainable porosity within the structure of the substrate, with very little water able to be retained inside the substrate at pressures which plants can extract. Water retention was able to be increased by the addition of coir to the wood fibre, although these blends recorded less water retention at pressures between -5 kPa and -30 kPa and remained significantly below both new and recycled coir. See Table 1 & 2

Volume of available water (v/v) Bulk Density Saturated hydraulic conductivity (g cm-3) Flow rate (Ksat) (mm/hr) New Coir 0.096 ± 0.003 586.8 Reused Coir 0.085 ± 0.005 1533.0 Wood Fibre 0.204 ± 0.010 1105.9 25% wood fibre + 75% new coir 0.134 ± 0.004 468.3 25% wood fibre + 75% used coir 0.090 ± 0.005 3056.0 50% wood fibre + 50% used coir 0.111 ± 0.007 3607.9 90 BERRY AUSTRALIAN JOURNAL AUTUMN 2024 EDITION 18
Table 1. Bulk density & water saturated hydraulic conductivity of new & used coir substrates

Table 2. Saturated moisture content and extractable moisture content with new and used coir substrates at different matric potentials

The physical and chemical properties of a range of substrates included in the 2023/24 season will again be tested.

To gain an understanding of how to best implement reused coir within their respective production systems, growers involved with the project have set up several small trial areas for the 2023/24 season. Substrates being tested include new coir and reused coir on their own, as well as in combination with either fine wood fibre (a finer grade than in 2023) or composted pine bark. Comparisons between plastic-wrapped slabs and troughs are also being run, since troughs support the mixing and recycling of substrates and assist growers in reducing plastic waste from their production systems.

Volume of available water (v/v) Saturated moisture content Drainable porosity Readily available water content (RAW) Deficit available water content (DAW) Matric potential / extraction pressure 0 kPa (vol / vol) 0 to -5 kPa (vol / vol) -5 kPa to -30 kPa (vol / vol) -30 kPa to -1500kPa (vol / vol) New coir substrate 0.80 ± 0.03 0.16 0.26 0.23 Reused coir substrate 0.78 ± 0.01 0.37 0.29 0.19 Wood fibre substrate 0.83 ± 0.00 0.44 0.08 0.21 25% wood fibre + 75% new coir 0.83 ± 0.01 0.34 0.23 0.17 25% wood fibre + 75% used coir 0.77 ± 0.00 0.41 0.20 0.22 50% wood fibre + 50% used coir 0.76 ± 0.02 0.39 0.16 0.20
Plants in 70% wood fibre and 30% reused coir Plants in 30% wood fibre and 70% reused coir Plants in 100% reused coir
91
Photo credits: All images provided by RMCG

Pest and disease risks

Choosing to plant into reused coir may mean accepting a higher level of root disease exposure, and potentially greater impacts from pests such as nematodes on plant health and survival.

Within a conventional hydroponic system, coir would usually be used for a single production season, before being replaced each year with new disease-free material.

Growers were initially uncertain about the nature and level of disease likely to be present within reused coir, so sought to learn more about:

• what pests had the potential to be present in reused coir

• what the unmanaged impact of these pests were

• whether a sterilisation treatment would be needed

• what the most cost-effective method of sterilisation might be, if required

Growers expressed concern that the presence of soilborne pests would quickly infect strawberry runners and plug plants as they became established, resulting in higher rates of stunting, and seedling or runner death.

To identify which disease-causing pests and diseases were likely to be present, samples of used coir were taken from producers and sent to a laboratory for genetic testing. Results from this testing identified that a low level of Pythium spp. (including Pythium clade F) occured in more than half of all samples tested. Other soil-borne strawberry pests were also detected in very low numbers, including root knot nematode (Meloidogyne spp.), charcoal rot (Macrophomina phaseolina), and Rhizoctonia (Rhizoctonia solani).

The project also developed a desktop review of different treatment options growers can use for circumstances where growers have evidence that sterilisation is required. This report considered a range of treatment types including direct heating, microwaving, composting, fumigation, and chemical applications, as well as the pros and cons of each method.

Consideration was given to the effectiveness, cost and scalability of each treatment within the context of large berry production operations, as well as how these approaches might be carried out in a field environment without creating excessive labour and material handling costs.

To help growers to understand whether the impacts of pest presence warrants the application of a sterilisation treatment, plants within each of the used coir trials are being monitored for signs of root diseases, with the incidence rate compared to that of the commercial plantings grown in new, sterile coir.

Plants growing in both new and old coir are also being measured for crown diameter and number to help identify any changes in plant health and vigour potentially resulting from disease presence.

Early indications from these trials have been positive, with growers and research partners not observing any signs of root diseases. This suggests that the level of risk may be low, but substrates from each trial will be sampled for follow-up testing for the presence of pests and diseases at the end of the 2024 season.

Next steps

Armed with a better understanding of the likely risks and benefits of coir reuse and available alternative substrate options, growers are now undertaking several pilot trials to better understand strawberry growth, behaviour and productivity when planted into reused coir and coir-wood fibre blends compared to fresh coir substrate. Findings from these trials will inform the setup of targeted commercial trials throughout 2024-25.

Acknowledgements

Funding for this project is provided by the Tasmanian Government through the Agricultural Development Fund program

92 BERRY AUSTRALIAN JOURNAL AUTUMN 2024 EDITION 18

Strawberry Café: Online series for controlled environment enthusiasts & other protected cropping resources

Do you like to discuss issues with researchers and other growers in a live online environment? Strawberry Café is an online information exchange and discussion group that meets monthly to discuss controlled environment strawberry production issues.

The group is open to everyone, and participants are encouraged to suggest topics for discussion, ask questions, and share knowledge. The group also has out-of-session discussions via email when someone has an issue they need help with. Sessions are hosted by Chieri Kubota and Mark Kroggel who are part of the Controlled Environment Plant Physiology and Technology Lab team at The Ohio State University. They launched Strawberry Café in October 2021 to create an open communication platform for producers, propagators, and technology providers to help move the whole industry forward in a sustainable direction.

To participate or listen-into these interactive sessions you can sign up here completely free of charge: bit.ly/STR-Cafe

When:

Last Thursday of the month, starting at 11am US Eastern (UTC-5)

Where:

Via Zoom - you will be sent a link by email once you have signed up

Cost: FREE

The sessions are recorded, which is handy if you’re not a night owl or early morning person given the time difference between Australia and Ohio, so if you miss one you generally have 120 days to watch it before it expires.

To get the most out of these sessions, be sure to have a working microphone on your computer so that you can ask questions and participate in the discussion.

If you don’t like speaking there is the option of typing your questions and comments in the chat.

Chieri Kubota and Mark Kroggel
STRAWBERRIES 93
Photo credit: Ohio State University

Here are some snapshots of past Strawberry Café sessions

September 2023: UV-C for powdery mildew control with Thomas Hoeterickx from Octiva

October 2023: Unstructured discussion on pest and disease management lead by Mark Kroggel

November 2023: LED Lighting in Strawberry Production: Dr. Laura Bautista and Stijn Jochems from Delphi Netherlands shared their learnings and struggles with growing strawberries in both standard indoor and hightech growing environments

January 2024: Philips Horticulture LED Solutions and trials underway in the Netherlands and Japan with Peer Hermans (Europe) and Gauri Maharjan (Japan) from Philips

Other resources

If you visit the Ohio State University Controlled Environment Berry Production Information web page at https://u.osu.edu/indoorberry, you will see that there are other useful resources on offer.

The team has updated their website to present information applicable to a range of climatic conditions. Some of the information presented is specific to US production, but other information can be applied anywhere.

Topics covered include planting materials, flowering basics, production systems, production cycles and fruit quality, lighting, fertigation, pruning, pollination, disorders, IPM, and cost considerations.

There are also a series of videos that step through the basics of soilless strawberry production and the team sometimes offer training sessions covering the basics.

Other sources of protected cropping information

For collaboration closer to home, there are two Australian organisations (other than Berries Australia of course!) offering support in the protected cropping and hydroponic space: the Hydroponic Farmers Federation and Protected Cropping Australia.

Both organisations offer some freely available resources online, but most of their information is for members only.

Hydroponic Farmers Federation Inc (HFF)

The HFF grew from a small self-help group to the large association it is today through a commitment to furthering the hydroponic industry by growers supporting each other.

HFF is open to all hydroponic farmers and businesses offering support to growers Australia-wide.

Membership for growers costs $112 per year.

HFF aims to:

• provide representation and advocacy for and on behalf of its members to all levels of government and other relevant organisations on issues relevant to the hydroponic industry

• promote hydroponic produce and continue to develop its market share

• enhance grower performance through education, training and networking

• provide members with the opportunity to share the benefits of group purchasing and marketing

• encourage and facilitate research relevant to the hydroponic industry.

Website: www.hff.org.au

Protected Cropping Australia Ltd (PCA)

PCA is the peak industry body representing commercial hydroponic and greenhouse growers Australia-wide. PCA members also include equipment and installation suppliers, specialist consultants and advisors, researchers, and educators.

PCA’s core purpose is to advocate on behalf of their industry members. They also deliver training and resources, facilitate regional tours and events, develop and promote research and development projects, and offer online resources.

Membership for individuals costs $250 or you can Subscribe for free to receive PCA e-news and updates as well as free access to 2 PCA webinars each year.

Website: www.protectedcropping.net.au

94 BERRY AUSTRALIAN JOURNAL AUTUMN 2024 EDITION 18

Local resources to get you started

If you are new to protected cropping or thinking about jumping in, there are some good local resources to get you started with your planning. Some of these are highlighted below.

There are also berry-specific articles and resources available on our website in our new Resource Library - just search ‘substrate’ or select the ‘Growing Systems’ Category and browse the resources.

Protected cropping toolkit

This toolkit is a series of six 'how to' videos developed to support the protected cropping industry.

They were developed as part of a VegNET NSW project in partnership with Hort Innovation and are available at the PCA website.

The videos can be watched as a series or individually:

1. Layout and planning

2. Setting up a greenhouse

3. Irrigation management

4. Nutrient management

5. Sanitation and cleaning the greenhouse

6. Pest and disease management

Visit: www.protectedcropping.net.au/protected-cropping-toolkit

Basic Principles of Protected Cropping

This written guide was produced for the Coffs Harbour Regional Landcare and North Coast Local Land Services.

It covers basic principles of protected cropping including site selection, buffers, design and management considerations, water supply considerations, hydroponic system design, irrigation system design, and containing and managing waste products.

Download this from the Resource Library on our website.

Toolbox for Greenhouse Construction and Safe Operation

This Toolbox provides more in-depth practical design, planning and prevention measures to implement during and after a development.

It includes 13 factsheets on:

• Safe management practices, including fire prevention and working at heights

• Local government approval processes

• Design requirements and considerations

• Access and egress requirements

• Other issues and common grower concerns.

Download these 13 Fact Sheets from the Resource Library on our website.

95

The future’s bright, the future’s blush!

Lyons – Senior Consumer & Sensory Scientist, Nat Ivanova - Consumer & Sensory Scientist, Jodi Neal –Principal Plant Breeder, Katie O’Connor – Plant Breeder; Queensland Department of Agriculture and Fisheries

Recent food trials conducted by the Department of Agriculture and Fisheries (DAF) have centered on food neophobia, the hesitancy to try new or novel foods. Understanding consumer sentiment is crucial for the success of any product, particularly those that challenge conventional norms. One noteworthy example is the ongoing focus on white, blush, and dark red strawberries.

In 2022, the consumer and sensory research (CSR) team at DAF conducted a study emphasising the need to educate consumers about the distinct characteristics of these novel strawberries to enhance product acceptance (See the article Sexy strawberries – the future of strawberry breeding on PAGE 75 of the Winter 2022 Edition of the Australian Berry Journal). Subsequently, the team has been actively engaged in testing new varieties, delving into their sensory attributes, and closely examining consumer opinions. The ultimate goal is to support the industry in a successful product launch by gaining a comprehensive understanding of consumer preferences.

The trials, conducted in July and August 2023, examined 10 varieties and accessions from the DAF Australian Strawberry Breeding Program (ASBP) including seven standard red fruit; Scarlet Rose, Susie, Red Rhapsody, Phenomenal, 2021-109, 2017-040 (new subtropical variety named Stella), and three novel; 2021-413, SB17-230 and SW20-317 (Figures 1 and 2).

Over the course of the research, the CSR team collaborated closely with the ASBP team in Nambour ensuring the seamless integration of the growing process into the trials. Fruits, meticulously selected and handpicked, underwent testing the day after harvesting, guaranteeing panellists a taste of the freshest produce.

This project, Genetics of Fruit Sensory Preference (AS19003), was funded by Hort Innovation as part of the Hort Frontiers strategic partnership initiative, with co-investment from Queensland Department of Agriculture and Fisheries and contributions from the Australian Government.

Figure 2. Novel fruit; blush, white & dark red strawberries Photo credit: Photoelements Figure 1: Strawberries assessed (nine of 10)
96 STRAWBERRIES BERRY AUSTRALIAN JOURNAL AUTUMN 2024 EDITION 18
Photo credit: Photoelements

Background

The CSR team at DAF conducts a comprehensive suite of research providing insights into consumer preferences and sensory experiences (Figure 3). The methods and processes by which the team design their studies are complex and rigorous and ensure representative and tangible outcomes for industry.

To be part of either a sensory panel or consumer research group, individuals go through several stages of recruitment. A trained sensory panellist has acute sensory capabilities, that are first screened through specific exercises. These include blind taste trials, descriptive exercises, colour blindness tests and even a formal interview. Should they pass all these, they then partake in several sessions within a group to determine their suitability to be a part of the team. On the other hand, consumer panellists are recruited primarily for their purchase and consumption habits. For example, in recent strawberry trials, the CSR team recruited those who consume strawberries at least once per week. They also screen out those who are fearful of trying new foods and ensure a balance of age and gender. These criteria are all project-specific and at times can be somewhat peculiar.

Both trained sensory panellists and consumers are remunerated for their time, underscoring the high regard in which their contributions are held. This practice not only attracts high-calibre participants but also reinforces the commitment to recognising the significance of diverse opinions.

With novel strawberries, that feature a spectrum of colours including white, blush and dark red, understanding the holistic eating experience is paramount. For foodneophobes the look of the fruit alone would prevent them from enjoying it, regardless of the taste. However, it is essential to understand whether the whole eating experience is enjoyable, and if not, why not? Therefore, by recruiting non-food-neophobes, researchers enable the opportunity to dig deep into consumer sentiment and where possible improve the fruit in the future.

Research outcomes 2023

So, what’s new? The research carried out in the past year has expanded upon prior findings. Through sensory analysis, distinctive profiles have been established for each assessed strawberry variety, connecting these characteristics with consumer preferences and purchasing intent. The descriptors employed to portray the fruit ranged from green, grassy, and citrusy to tropical, jammy, and floral.

Furthermore, the results have demonstrated that educating consumers and managing their expectations lead to increased liking for novel fruits. Building on the feedback from the 2022 trials, in the 2023 trials, the CSR team provided consumers with information about the sensory attributes of both the novel and standard varieties, aiming to prevent bias toward the standard fruit. The outcome has been positive, with improved liking scores for all novel fruits. Education of consumers, however, continues to be a priority as we bring all strawberry consumers along on the journey, both non-food-neophobes and food-neophobes alike.

The research has also highlighted two unique consumer clusters. Consumers within the first cluster were intrigued by the novel fruit and enjoyed the whole eating experience, including the novel appearance and flavours. Conversely, consumers in the second cluster were particular about the appearance of their fruit, preferring the traditional red varieties, regardless of flavour.

The future of novel strawberries is bright, and we are now confident about positive consumer engagement. While they may not be everyone's preference, for those who appreciate the variety and vibrant colours, these fruits provide a new and exciting alternative to the familiar and beloved nutritious berry!

A strategic decision in the screening process for strawberry involved the exclusion of food-neophobes, individuals averse to trying new foods. The rationale behind this was to eradicate bias in data interpretation.

Figure 3. Participant assessing strawberries at the DAF sensory facility. Photo credit: Photoelements
97 97

European hothouse design delivers blackberry powerhouse for Tasmanian Berries

On the recent Berries Australia team visit to Tasmania, Jane and Mark were lucky to be invited to Tasmanian Berries to see the new twin 2.5ha hybrid-hothouses built based on a unique design idea that owner Andrew Terry first saw in Kent, UK a few years ago. There are no other hothouses like this in Australia, and Andrew provided us with an extensive tour whilst sharing his experiences and observations about the performance of the new structures growing Blackberries.

Tasmanian Berries is based across two sites in central northern Tasmania and currently grows strawberries, raspberries and blackberries. All the berry crops are grown under a protected cropping set-up, with nearly all plantings in coir managed by a state-of-the-art irrigation and nutrient management system.

The farm has 25 hectares of single tabletop strawberries all grown in coir in polytunnels with all the varieties grown coming from the Driscoll’s stable. There are 11 hectares of raspberries and 10 hectares of blackberries in traditional polytunnels, as well as a number of small trial areas looking at new genetics and other special projects including a raspberry and blueberry nursery. Tasmanian Berries are also developing a third site at Bundaberg in Queensland, known as Sunshine Berries, where they have a further six hectares of raspberries and six hectares of blackberries in a hothouse and under polytunnels.

In 2022, Tasmanian Berries commenced construction of two, 2.5-hectare gothic styled polyhouses for blackberry production. The hothouses are made of dual layered polythene separated by an air layer. Inside there are blowers spread throughout the 5ha which take the air from inside the hot house and blow it into the air gap to create the thermal break.

The entire roof of the structure has this feature which delivers better temperature management across the season, holding heat in during the shoulders of the season to extend the cropping window and reducing the heat build-up during the summer months. There is currently no need to add any additional heating as the coolest period of the year falls in line with the plants ‘off-season’.

The design also features a series of fans which manage the humidity levels throughout the hothouse and will come on automatically based on live sensor data to ensure there are no pockets of moist air sitting in sections of the structure. A rack and pinion system connecting the roof vents enables these to be adjusted in response to the sensed conditions inside and outside of the hothouse structures, all managed via an automated management system.

The hothouse design is from Spanish company Novagric (Novedades Agricolas) and the automated management system is from Dutch company Priva. The rest of the farm currently uses Priva technology, so it made sense to retain a commonality of technology in the new hothouses.

98 BERRY AUSTRALIAN JOURNAL AUTUMN 2024 EDITION 18
RUBUS
Andrew
Tasmanian
Jane Richter
We probably gain 6-7 weeks at the start of the season and then we can get an extra two months out of the season at the back end,” explains Andrew.
“With only twelve months in the year, it’s a fine balance between maximising the productive cropping window and ensuring that there is enough time to turn the crop back over with the pruning and winter chilling required.”

In the existing standard polytunnels, production of the blackberry crop traditionally commences in late December and finishes in early March. In the new hothouse system, production is able to be extended; commencing in early November until mid-January and using the same plants in the same season, a second crop produces from early April until mid-June.

The traditional yield for blackberries is about 20-25 tons per hectare, but in this hybrid hothouse model, Andrew is estimating they will pull anything up to 50 tons per hectare each year. Overseas models have reported up to 60-70 tons per hectare using this style of production system, but Andrew is realistic and understands there will be teething challenges and continual refinements that will gradually improve yield over time.

Some of those challenges have been controlling the temperature of the hothouses in summertime. In the first year, Andrew made the decision to aerial spray chalk over the roofs of the hothouses to reduce the internal temperature. The outcome was beneficial, reducing the daily temperatures by up to four or five degrees, which in turn ensured better plant health for the second harvest. In 2023, further modifications were made to the structures, by creating side vents to generate better airflow for temperature control and pollination.

Terry, Berries Photo credit:
99

taken nearly 2 years to build and get plants ready for the first harvest in

1 & 2. The trellis system helps the plant to present the fruit outwards in layers making picking easy Photo credit: Jane Richter
3 1 2 100 BERRY AUSTRALIAN JOURNAL AUTUMN 2024 EDITION 18
3. The hybrid-hothouse structure has December 2023 Photo credit: Tasmanian Berries 4. Some pollination is provided by native hoverflies 5, 6, 7. The Driscoll’s ‘Victoria’ variety produces very large dark berries
6 7 4 5 101
Photo credit: Jane Richter
There

are some distinct advantages to this new system over standard polytunnels that the team have noted. There is practically zero weed ingress so chemical use for weed control is simply not required.

“You get such amazing lateral extension,” says Andrew, “and we get a greater breakback on the laterals with 4 to 5 nodes instead of 3 to 4 nodes sprouting which gives you additional yield.”

One major challenge is pollination. The hybrid hothouse is fully enclosed with relatively small doors at the corners and on both long sides only. There are roof vents across the roof and in the first season the team installed the netting that was supplied with the system from Europe, designed to stop Spotted Wing Drosophila flies from entering, but this only served to impede the flow of pollinators into the modules. The netting has been removed and pollination rates have improved. The European honeybees kept on site in hives can now access the hothouse through the roof vents and the team have supplemented that with some manual canopy shaking to improve overall pollination success. There are also small levels of other pollinators like hoverflies operating inside the hothouses.

There are also some advantages noted in the harvesting process. The first harvest off the long cane is very ‘peaky’ in that most of the fruit is ripe and ready at once. This creates about a 20% picking efficiency boost as more fruit can be picked per hour, reducing the harvest costs.

The berries are large and the pack out rate is much higher than the standard polytunnels with much lower wastage due to less damage like wind-rub occurring on the fruit. The ground is very flat and even inside the hothouse making it easier for pickers to move up and down the rows, and the picking trolleys feature built-in steps to enable access to the high growing berries.

Spraying inside the hothouses looks a little different to polytunnel or open field operations. The team have a small rig for spray applications and the operator dons a slightly space-age looking fully enclosed air-conditioned suit for safe operation in the relatively enclosed area.

With the interior design of the hothouse and the height that the plants reach when in full growth, there may need to be some adjustments to the spray shrouds, but this is one of the tweaks the team can make after a full season of experience is under their belt.

When we entered the hothouse, the first observation was that the canes were absolutely fully laden with flowers and developing berries. The design of the trellising system layers the fruit out from the centre enabling the pickers to easily access the berries. It’s also here amongst the rows that you can see the additional growth and break-back from the laterals that creates the heavy fruit load that Andrew described earlier.

The system has required a considerable investment in time and money, and Andrew has completed this without any grants or secondary funding, but the yield benefits alone will result in a relatively short payback period and boost the supply window for high quality blackberries in Australia. From the initial idea to completion of the build and full planting it has taken nearly 3.5 years. Andrew has been fortunate to have a UK berry grower installing a similar system around the same time that he has been able to share ideas and ask questions of. This season is the first full production with the infrastructure completed and planted out.

The variety grown is Driscoll’s ‘Victoria’ and the fruit are extraordinarily large and dark purple when ripe. All the fruit are marketed under the Driscoll’s brand with much of it sold in their new premium branding.

102 BERRY AUSTRALIAN JOURNAL AUTUMN 2024 EDITION 18

Strengthening the sustainability of Rubus production (RB22001)

In a mission to develop a long-term sustainability program for the Rubus industry, Lifecycles are embarking on a life cycle assessment (LCA) project aimed at generating comprehensive information and metrics about the environmental performance of raspberry and blackberry production in Australia.

This project has been funded by Hort Innovation, using the Raspberry & Blackberry research and development levy and contributions from the Australian Government. Acknowledging the growing demand from both government bodies, markets and industry stakeholders for heightened transparency on environmental issues, this project aims to generate information that can inform a sustainability strategy and enable clear communication of the industry's environmental credentials to consumers and stakeholders.

The primary objective of the LCA study is to generate baseline and benchmark metrics for the industry’s carbon footprint and water footprint. This will give growers and industry an understanding of the scale, significance, and sources of greenhouse gas (GHG) emissions and potential water use impacts. By doing so, the industry can identify potential risks, address data gaps, explore opportunities for reducing environmental footprints, and construct positive environmental narratives for the industry. This can feed into a sustainability strategy, via a workshop to be conducted as part of the project.

The LCA studies will be conducted at two scales –for individual businesses and at industry-scale. The individual business case studies will take a deep

dive into different production systems and consider feasible environmental improvement initiatives. The industry-scale LCA will have a broader perspective by collecting a larger sample of data by survey to generate environmental metrics representing industry averages, a baseline and benchmarks.

The project, which will run for approximately two years, will include the following:

• Complete a preliminary 'screening' LCA of raspberry and blackberry production based on existing data, as a starting point to plan the objectives and system boundary of the Australian study

• Develop individual business LCA case studies in different key Rubus producing regions to understand different production systems and explore environmental improvement opportunities

• Undertake surveys to collect data for the industryscale LCA based on the Australian industry

• Provide an industry-scale LCA to generate industry carbon footprint and water footprint metrics –averages, baseline and benchmarks

• Deliver a workshop to discuss how the study findings inform the industry's sustainability strategy

• Rubus Carbon Footprint Calculator development, available for industry

In essence, the 'Strengthening the sustainability of Rubus production’ project will equip the Rubus industry with information, metrics and resources for informing their sustainability strategy and decision-making about environmental improvements, and help growers respond to future requests from supply chain partners for information about environmental credentials.

The project team are hoping for grower participation in the project, which will help generate better quality data and more useful findings. Growers interested in being case study farms in the project (approximately between March and June 2024), are encouraged to get in touch via the link here: www.lifecycles.com.au/lifecycle-assessment-project#rubusberry

103 RUBUS
This project has been funded by Hort Innovation, using the Raspberry & Blackberry research and development levy and contributions from the Australian Government. Hort Innovation is the grower-owned, not-for-profit research and development corporation for Australian horticulture.
103

Raspberry & Blackberry Integrated Pest Management Update

Michele Buntain & Dr Stephen Quarrell, Tasmanian Institute of Agriculture; Dr Saleh Adnan, NSW Department of Primary Industries; Dr Hasan Rahmani, Agriculture Victoria

The real fun has started in the ‘Raspberry & Blackberry Integrated Pest Management (RB21000)’ project with flower powered plantings and crop surveys happening this summer and autumn. Tasmanian Institute of Agriculture (TIA) entomologist Dr Steve Quarrell leads the project, a strategic investment under the Hort Innovation Raspberry and Blackberry Fund.

Flower powered plantings with SNAP

Our conservation biological control research is built around flowering plants and ‘SNAP’ to support beneficial insects and mites in Rubus crops by providing:

• Shelter

• Nectar

• Alternate prey, and

• Pollen

A practical way to achieve SNAP is with a diverse range of flowering plants. Dr Quarrell says this is particularly relevant to protected cropping where there is usually less plant diversity than an outdoor production system

“The interrow of a poly tunnel is a pretty inhospitable place for growing plants, the soil can be dry and has a lot of traffic. Over the last few months, we have been talking with growers about how to build SNAP into their production systems, and it’s now starting to take shape,” explained Dr Quarrell.

The research team is investigating conservation biological control (CBC) strategies at four farms, two in NSW (Costa Berries and Mountain Blue) and two farms in Tasmania (Burlington Berries and Pinata Farms).

NSW ‘sub-tropical’ – Costa Berries, Corindi & Mountain Blue, Wollongbar

In NSW, Dr Saleh Adnan (DPI NSW) and PhD candidate Jaher Ahmed are screening eighteen different flowering plants (Table 1) to see how well they support SNAP principles as conservation biological control plants. This means screening them for beneficial species of insects and mites and other characteristics, including if they are super attractive to pests!

The team will also measure other relevant plant characteristics including growth habit, flowering time, manageability, and cost. The list of nineteen will be narrowed down to the most promising plants for a more intensive field trial in NSW in 2024/25.

RUBUS 104 BERRY AUSTRALIAN JOURNAL AUTUMN 2024 EDITION 18

Zinnia ‘Lilliput Mix’ Zinnia elegans Asteraceae 11 Zinnia ‘Luminosa’ Zinnia elegans Asteraceae 12 Zinnia ‘Zinderalla Purple’ Zinnia elegans Asteraceae 13 Zinnia ‘Benarys Giant Golden’ Zinnia elegans Asteraceae 14 Zinnia ‘Cherry Red Queen’ Zinnia elegans Asteraceae 15 Billy Buttons Pycnosorus globosus Asteraceae 16 Allysum ‘Snow cloth’ Lobularia maritima Brassicaceae 17 Coriander ‘Santo’ Coriandrum sativum Apiaceae 18 Buckwheat Fagopyrum esculentum Polygonaceae Table 1. Conservation

Control plant species for testing in NSW screening trial

‘Blue boy’ Centaurea cyanus Asteraceae

7 German chamomile Matricaria chamomilla Asteraceae 8 Silvia ‘Blaze of fire’ Salvia splendens Lamiaceae 9 Cosmos ‘Sensation Dazzler’ Cosmos bipinnatus Asteraceae

The flowering test plants have been set up in the vacant space between tunnels. The aim is to convert this space into a productive habitat for beneficial species. Dr Adnan says pots were chosen as an alternative to in-ground plantings.

“Initially we considered planting directly into the soil, but weeds grow so prolifically in this environment we decided potted plants were a more reliable alternative. Our establishment method will be refined more once we select the most suitable plants,” he said.

Ten plants of each species in 8L coir filled pots have been established using the same system used for raspberries to make it simple and efficient for growers (Figures 1 & 2). The propagated plants were introduced to the crop in late December 2023 to coincide with the raspberry production cycle. PhD candidate Jaher Ahmed is monitoring the diversity and abundance of pests and natural enemies on each plant weekly until the end of March.

No. Flowering plants Scientific name Family 1 Calendula
Calendula officinalis Asteraceae 2 Basil
Ocimum americanum Lamiaceae 3 Wallflower Cheiranthus cheirii Brassicaceae 4 Strawflower Xerochrysum bracteatum Asteraceae 5 Glove
Amaranthaceae 6 Cornflower
‘Fiesta Gitana mix’
‘Blue spice’
amaranth ’Strawberry Fields’ Gomphrena haageana
Biological
105
10
Figure 1. Conservation biocontrol screening trial at Mountain Blue Farms, Wollongbar.
106 BERRY AUSTRALIAN JOURNAL AUTUMN 2024 EDITION 18
Photo credit: Dr Saleh Adnan, NSW DPI

Tasmania ‘Cool climate’ trials –Burlington Berries, Cressy and Pinata Farm, Orielton

The two sites in Tasmania reflect quite different growing environments, one being surrounded by vegetable and seed crops – the other by mostly pasture and vineyards.

The TIA research team planted conservation biocontrol habitat strips in tunnel leg-rows to take advantage of an often weedy and nuisance area of the crop. This also receives natural rainfall making it ideal for establishing alternative plants.

In contrast to NSW, the Tasmanian trial opted to direct sow plants into the soil, using a topdressing of compost to give seedlings a headstart and suppress any weeds. The aim is to establish a permanent sward of flowering plants, some perennial and some self-seeded annuals, to reduce the maintenance costs of weeding and mowing. This has meant sowing frost sensitive annuals in December 2023 followed by perennial species in autumn 2024.

The research team selected species to provide a continuous source of nectar and pollen from spring through to late autumn coinciding with the production season for raspberries and blackberries (Table 2). Other selection criteria included plant habit with growers keen to avoid sprawling plants that might obstruct pickers and trolleys. The flowering plant Alyssum was rejected within the Tasmanian trials after advice from Malcom Durham from Smartbug Horti.

He found that despite this plant being very attractive to predators, it was also a thrip magnet which is not ideal! The NSW screening trial results should confirm whether this is the case.

Dr Quarrell says he is pleased with the establishment at both Tasmanian sites. “The buckwheat is flowering and attracting a nice diversity of beneficial species with flower beetles (Chauliognathus spp.) and lacewings (Mallada spp.) popping up in our first samples. We will be monitoring pests and beneficial species in the test strips and the commercial crop until the end of harvest,” he said.

Figure 2. Dr Saleh Adnan scouting for insects (1); insects come face to face on German Chamomile (2); and Calendula (3)
1 2 3
Photo credit: Steve Quarrell, TIA
107

Table 2. Conservation Biological Control plant species for testing in Tasmanian conservation biological control trial

Common name

Buckwheat

Coriander "Santo"

Basil "Geneva"

Cornflower "Blue Boy"

Salvia “Blue Victory”

Calendula "Fiesta Gitana" mix

German Chamomile

Paper Daisy "Rose"

Wallflower "Cloth of Gold"

Scientific name Family

Fagopyrum esculentum Polygonaceae

Coriandrum sativum Apiaceae

Ocimum basilicum Lamiaceae

Centaurea cyanus Asteraceae

Salvia farinacea Lamiaceae

Calendula officinalis Asteraceae

Matricaria chamomilla Asteraceae

Rhodanthe manglesii Asteraceae

Cheiranthus cheirii Brassicaceae

Globe Amaranth "Strawberry Fields" Gomphrena haageana Amaranthaceae

Lavender "English Dwarf"

Lavandula angustifolia Lamiaceae

Dill Anethum graveolens Apiaceae

108 BERRY AUSTRALIAN JOURNAL AUTUMN 2024 EDITION 18
Figure 3. Buckwheat planted in the leg row at Burlington Berries, Cressy. Perennial plants will be included in autumn 2024 to increase the diversity in the conservation biocontrol strip. Photo credit: Steve Quarrell, TIA

National Crop & Grower Surveys –Qld, NSW, Victoria and Tasmania

Dr Hasan Rahmani (AgVic) has been out and about getting to know raspberry growers around the country, their crop management practices and the good and bad insects and mites living in and near their crops.

This is all part of building a robust integrated pest management (IPM) program, uncovering the diversity of beneficials that are present and searching for new beneficial species that could potentially control existing pests.

“It’s exciting to see the range of beneficial insect and mite species present in the crops. The information

growers provided will also help us with the next stage of the project - testing the compatibility of popular pesticides and fungicides with commonly released biocontrol agents,” said Dr Rahmani.

Growers are getting involved by sending in sticky traps and other samples they have collected. Denis Betts’ farm in Tasmania might prove incredibly important to finding new beneficial species as this crop receives no chemicals and has a lovely diversity of plants in and around the crop.

The next stage is the slightly more tedious task of extracting and identifying who’s who in the zoo of insects and mites, a nice job for winter!

Acknowledgements

The research team from TIA, NSW DPI and Agriculture Victoria would like to express their appreciation to all growers who have and are contributing their time to grower and crop surveys and especially to our trial site collaborators, Costa Berries, Corindi; Mountain Blue, Wollongbar; Burlington Berries, Cressy; Pinata Farms, Orielton.

Figure 4. Tasmanian grower Denis Betts and his furry assistant installing a sticky trap to collect insects, Thanks Denis! Photo credit: Hasan Rahmani, Ag Vic
3 109

GreenlifeGRO

GreenlifeGRO is here for you. As a provider of horticultural products and services, we understand the importance of delivering exceptional customer service. Our team is not only knowledgeable in our products and services but also in the industry best practices. From selecting the right materials to the installation process, we are dedicated to providing personalised support every step of the way to provide quality service and products that help you grow and succeed.

GreenlifeGRO, part of the Australian privately owned Tapex Group is steeped in innovation and strong values. The groups' vision is straightforward – by investing in the best technology designs and product solutions, combining people with industry experience, and total commitment to service excellence to deliver the right outcomes for our customers.

We have been providing protective cropping solutions since the late 1980s through the building of Horticulture structures and product solutions across Australia.

Netting Structure Design and Construction 2023, Victoria Kingsgrove, Sydney +61 2 9502 6000 sales@greenlifegro.com.au 200 Kingsgrove Road, Kingsgrove NSW 2208 Australia Ballina, NSW +61 2 6686 7321 sales@greenlifegro.com.au 19 Cessna Crescent, Ballina NSW 2478 Australia CONTACT US www.greenlifegro.com.au LET’S CONNECT
Tunnel, Bird proofing installation services and product providers, 2023 - Queensland Greenhouse construction and internal rolling bench supply and construction services GreenlifeGRO is an Australian Stockist and Distributor for Galuku Coir products
Quality tunnel parts and accessories stockist and provider Spanish Greenhouse / Tunnel film stockist provider (full rolls and cut to length) National Greenhouse and Netting Structure installation services Greenhouse parts and accessories stockist and supplier High Quality Weedmat stockist and supplier 01 Commercial Greenhouses 02 Netting and Shade Structures 03 Netting and Fabric Products 04 Greenhouse Films 05 Coir Products 06 Twine 07 Weed Mat 08 Rope 09 Greenhouse, Netting, and Tunnel Accessories PROTECTED CROPPING PRODUCTS BOOK NOW
GreenlifeGRO is an Australian Stockist and Distributor for Galuku Coir products

Turn static files into dynamic content formats.

Create a flipbook
Issuu converts static files into: digital portfolios, online yearbooks, online catalogs, digital photo albums and more. Sign up and create your flipbook.