
12 minute read
Implantación de pasturas estivales en Corrientes. El desafío es lograr pasturas densas
Ing. Zoot. Pablo Barbera, Ing. Agr. Diego Bendersky. INTA EEA Mercedes, Corrientes
Implantación de pasturas estivales en Corrientes. El desafío es lograr pasturas densas.
En muchos ambientes de baja producción y calidad de forraje, se recomienda la sustitución del pastizal por pasturas estivales perennes. Para alcanzar niveles de producción en forma sostenida es clave la elección de la especie adecuada, su correcta implantación y el control de la carga animal.
Palabras Claves:
ganadería, Corrientes, pasturas, Setaria sphacelata, Panicum coloratum, Brachiaria brizantha, producción, coeficiente de logro, implantación, densidad, semillas, malezas, insectos, siembra.
Corrientes es una provincia netamente ganadera, con el pastizal natural como base de la alimentación de bovinos y ovinos. Sin embargo, en muchos ambientes de baja producción y calidad de forraje, se recomienda la sustitución del pastizal por pasturas estivales perennes. En estos ambientes la producción de carne en recría no suele superar los 70-80 kg PV/ha/año, son más comunes del centro al norte de la provincia y en suelos bajos, básicamente por las especies que componen el campo natural. Las pasturas estivales también se utilizan en rotaciones agrícola-ganaderas y en potreros que salen de agricultura, que de otra manera tardan mucho en recuperar su potencial forrajero ó simplemente no lo recuperan por la persistencia de malezas. La ventaja de las pasturas estivales es que, si se elije la especie adecuada para el ambiente y se hace un buen control de la carga animal, producen gran cantidad de forraje de moderada calidad durante muchos años, con producciones de carne en recría de 200 a 250 kg PV/ha/año, sin fertilizaciones posteriores a la siembra.
Para alcanzar estos niveles de producción en forma sostenida, es necesario comenzar con una buena implantación de la pastura. El logro de una alta densidad inicial de plantas es crucial para maximizar la producción de materia seca, evitar el establecimiento de malezas y cubrir posibles pérdidas de plantas durante el pastoreo.
¿Cuántas plantas deben tener una pastura bien implantada?
Especies con semillas pequeñas y plantas de menor tamaño como Setaria, precisan un número mayor de plantas/m2 que especies de mayor tamaño como Brachiaria (Cuadro 1).
Cuadro 01 Densidad óptima y mínima de plantas en pasturas de gramíneas estivales perennes.
Densidad de plantas
Óptima Mínima Plantas/m2
Setaria sphacelata Panicum coloratum Chloris gayana 150 50
Brachiaria brizantha
Brachiaria humidícola
Panicum maximum 30 10
Ahora bien, no es simple lograr una buena implantación y alto número de plantas en estas especies, aún cuando los recaudos tomados en el proceso son aparentemente adecuados ó suficientes. Esto se debe básicamente al bajo coeficiente de logro comparado con otros recursos forrajeros ó cultivos. El coeficiente de logro es el porcentaje de semillas viables que generan plantas establecidas, es decir:
En experiencias de implantación realizadas en la zona de Mercedes, con semilla de Setaria sphacelata de excelente calidad (no menos de 70% de poder germinativo) y con sembradora con fertilización en la línea, menos de la mitad de las semillas puras germinables sembradas generaron plantas viables a los 60 días de la siembra (Figura 1).
En la Figura 1, se observa que la preparación de la cama de siembra influyó notablemente en el coeficiente de logro, pero el punto principal es que aún con muy buena preparación y condiciones ambientales post siembra normales (80 a 150 mm de lluvias en los 30 días posteriores a la siembra), el logro no superó en promedio el 40%. El valor máximo se obtuvo en una de las fechas de siembra y fue del 55%. Esto contrasta con los coeficientes logrados con otras forrajeras como los verdeos de invierno y los cultivos extensivos, en donde el logro varía entre el 70 y 90% con condiciones hídricas relativamente buenas post siembra y con un barbecho realizado correctamente. Esta información experimental es coincidente con lo observado en lotes comerciales a lo largo de la provincia en suelos y ambientes diversos, donde es común encontrar pasturas con menos de 50 plantas/m2 en Setaria sphacelata y 10 plantas/m2 en Brachiaria brizantha ó B. humidícola.
Figura 01
Densidad Coeficientes de logro de siembras de Setaria sphacelata. Promedio de 5 fechas de siembra realizadas en la EEA INTA Mercedes y Ea. El Triángulo (1999‑2000).
Por qué son tan bajos los niveles de logro?
Hay 4 factores que inciden para tener estos bajos coeficientes de logro: - Tecnología de semillas y crecimiento inicial. - Condiciones ambientales primaverales. - Suelos, sistemas y profundidad de siembra. - Control de malezas e insectos.
Tecnología de semillas y crecimiento inicial
Las forrajeras subtropicales más utilizadas en la zona tienen un uso agronómico relativamente reciente en comparación con especies forrajeras templadas y otras especies cultivadas. La recolección y utilización de especies forrajeras perennes de los géneros Setaria, Chloris, Brachiaria y Panicum datan de 70 a 150 años, bastante poco en comparación con especies como raigrás, avena, trigo, maíz, sorgo, que tienen una historia agrícola milenaria y grandes programas de mejoramiento genético.
Esto hace que la cosecha de semilla sea difícil y la calidad de la semilla disponible sea en promedio regular. A diferencia de otras especies anuales, aún con buenos índices de germinación el desarrollo inicial de estas forrajeras es naturalmente lento. En condiciones de cámara de germinación una plántula de sorgo alcanza un largo de 10 y 6 cm de la parte aérea y radicular respectivamente, a los 10 días de la siembra. Plántulas de Setaria sphacelata y Panicum coloratum a los 21 días y en iguales condiciones, sólo alcanzan 4 y 2 cm de parte aérea y raíces respectivamente, y Brachiaria brizantha alcanza 6 y 3 cm para la parte aérea y raíces. En condiciones de campo el desarrollo es más lento y el período crítico que representa el estado de plántula/plantita se alarga a 30-45 días, con gran riesgo de pérdidas debidas a estrés hídrico, anegamiento ó ataque de insectos.
Condiciones ambientales primaverales
El momento de siembra óptimo en Corrientes es la primavera, desde mediados de septiembre a mediados de noviembre. Durante este período hay buenas condiciones térmicas para el crecimiento, una demanda hídrica ambiental moderada y una gran ventana posterior de altas temperaturas, de forma que la pastura puede acumular biomasa durante la temporada estival. Sin embargo, a pesar de que el régimen promedio de precipitaciones primaverales es muy conveniente, existen variaciones interanuales importantes y no hay prácticamente una primavera en donde no se observe un período más o menos prolongado de severo estrés hídrico, con alta probabilidad de coincidencia con los 30-45 días críticos de implantación. A modo de ejemplo, en la zona de Mercedes hubo períodos de estrés hídrico prolongado en la primavera de 2008 y 2010 (Figura 2) los cuales afectaron fuertemente la implantación de pasturas estivales, sembradas entre octubre y noviembre. El año 2009 tuvo lluvias constantes durante los meses de noviembre, diciembre y enero, en coincidencia con buenos logros en la siembra de pasturas. Lo ideal para afrontar esta situación tan común es sembrar en húmedo, con buen barbecho químico ó convencional previo. Abundante material vegetal seco disminuye la pérdida de agua por evaporación de la capa superficial del suelo, lo cual puede lograrse con un verdeo de invierno como avena, que constituye una excelente alternativa como antecesor de pasturas estivales.
Suelos, sistemas y profundidad de siembra
En general los suelos de la provincia no tienen gran aptitud agrícola, por su baja capacidad de retención de agua, acidez y deficiencias de nutrientes. A esto se suma que los ambientes destinados a la
Figura 02
Momentos de marcado déficit hídrico en suelo (en rojo) para el período 2008‑2010 en Mercedes, Corrientes. Calculado en base a un suelo de 60 mm de capacidad de retención de agua efectiva, con los datos de evaporación y precipitaciones de la estación meteorológica de la EEA INTA Mercedes.

implantación de forrajeras estivales en un establecimiento ganadero, no son necesariamente los de mejor aptitud y es común implantar pasturas en suelos bajos e inundables. Existen también suelos de altura con un horizonte arcilloso impermeable ó con piedra, lo que dificulta la infiltración de los excesos de agua de lluvia. La fertilización fosfórica es indispensable en la siembra, y se han obtenido buenos resultados de implantación con 80-120 kg/ha de superfosfato triple en suelos con 2-3 ppm de fósforo. El potasio es también un nutriente deficiente en muchos suelos de la provincia, y su efecto sobre la implantación de pasturas estivales no ha sido estudiado aún. La siembra debe ser superficial por el pequeño tamaño de la semilla. Setaria, Chloris y Panicum tienen una profundidad de siembra óptima de 0,5 cm en suelos francos ó franco-arcillosos. Esto implica que debido a la precisión de la maquinaria, una porción de la semilla quede al descubierto, con un pobre contacto con el suelo y otra porción quede a una profundidad de 1 cm ó más, lo que atenta nuevamente contra el coeficiente de logro y la uniformidad de la emergencia. En otras especies como Brachiaria brizantha, de mayor tamaño de semilla, y en suelos arenosos se puede realizar una siembra un poco más profunda (5 cm). El uso de sembradoras con fertilización en la línea y buen control de la profundidad tiene evidentes ventajas y un mejor coeficiente de logro que el de máquinas de siembra y fertilización al voleo. Otra técnica conveniente es el uso de rolos compactadores, que mejoran el contacto de la semilla con el suelo en especies de siembra superficial.
Control de malezas e insectos
La gran mayoría de las especies que componen el campo natural son de crecimiento estival, y una vez que se ha generado un disturbio como es la preparación de la cama de siembra, existe una movilización del banco de semillas y de todas aquellas plantas no eliminadas durante el barbecho. El incremento de las temperaturas de primavera estimula el crecimiento de estas especies, las cuales no sólo compiten por agua, luz y nutrientes con la pastura, sino que también pueden tener efectos alelopáticos, con sustancias químicas que inhiben la germinación y el crecimiento. Las especies de la familia de las compuestas pueden ser combatidas con una diversidad de herbicidas selectivos, pero en el caso de las malezas gramíneas, su control es difícil una vez que ya han emergido las plántulas de la pastura. Dentro de las gramíneas problemáticas se destacan especies anuales de rápido crecimiento como Echinochloa colona, Digitaria sanguinalis, Brachiaria plantaginea y Cenchrus echinatus. No hay prácticamente experiencia en el uso de herbicidas selectivos para el control de malezas gramíneas en pasturas estivales, tal como existe en cultivos con el uso de glifosato en soja y maíz RR, ó atrazina y acetoclor en maíz y sorgo. Existen referencias de resistencia a herbicidas por parte de pasturas (Brachiaria), pero su uso comercial no es común y es un punto para ser desarrollado en el futuro. En función de esto es necesario comenzar con un buen control de malezas durante el barbecho, si es necesario combinando métodos mecánicos y químicos, ya que luego de la emergencia el uso de herbicidas es limitado. En el caso de los insectos, estas forrajeras son tan vulnerables como cualquier planta, sólo que la situación se agrava por el prolongado estado de plántula y porque durante el período estival el incremento de las temperaturas se ve acompañado por un aumento geométrico de las poblaciones de insectos herbívoros.
En resumen
Las forrajeras perennes estivales tienen normalmente bajos coeficientes de logro, ya que son lentas en implantarse y por lo tanto vulnerables a déficits y excesos hídricos. Esta situación se agrava por lo variable de las condiciones ambientales primaverales, los suelos pobres, los sistemas de siembra utilizados y la elevada presión de malezas e insectos del suelo.
Todo esto considerando que no haya un problema primario de baja germinación, el cual es frecuente.
Entonces, ¿cómo lograr buenas pasturas?
En primer lugar debe plantearse una densidad de plantas objetivo y calcular la densidad de siembra con la clásica:
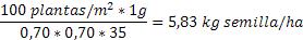
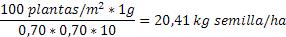
Para lograr una pastura de Setaria con 100 plantas/m2 con una semilla de 70% de pureza y 70% de germinación calculamos:
Obsérvese que se estimó un logro del 35%, y que si se calcula con un logro menor (10%), por mala realización del barbecho y la siembra, la densidad a sembrar para lograr el número de plantas objetivo se incrementa notablemente:


Ante esta situación, hay que trabajar para tener el mayor coeficiente de logro posible, ya que elevar la densidad de siembra se puede
tornar antieconómico por el elevado costo de la semilla. Entonces, para maximizar el logro es necesario hacer lo siguiente:
- Buen Barbecho. Para acumular agua y controlar las malezas. Empezar temprano en el invierno. Un verdeo de invierno constituye un excelente antecesor. - Semilla de máxima calidad. Realizar análisis de calidad de semilla en un laboratorio habilitado y con anticipación, para poder reclamar ante un problema. - Fertilización fosfórica a la siembra. Es crucial en Corrientes la aplicación de 80-120 kg de superfosfato ó Fosfato diamónico. - Utilizar el mejor sistema de siembra disponible. Ideal sembradora con fertilización en la línea, al voleo es necesario incrementar la densidad de siembra por una caída en el porcentaje de logro. Por último, se aconseja hacer un control de las siembras realizadas. Contar la densidad de plantas a los 2-3 meses de la siembra, es la única forma de conocer la calidad del trabajo de implantación. Este control permitirá reconocer los aciertos y errores cometidos y mejorará la planificación y el logro de siembras futuras.
Conclusiones
• El logro de una alta densidad inicial de plantas es crucial para maximizar la producción de materia seca, evitar el establecimiento de malezas y cubrir posibles pérdidas de plantas durante el pastoreo. • No es simple lograr una buena implantación y alto número de plantas en estas especies, aún cuando los recaudos tomados en el proceso son aparentemente adecuados ó suficientes. Esto se debe básicamente al bajo coeficiente de logro comparado con otros recursos forrajeros ó cultivos. • Las forrajeras subtropicales más utilizadas en la zona tienen un uso agronómico relativamente reciente, en comparación con especies forrajeras templadas y otras especies cultivadas. • El momento de siembra óptimo en Corrientes es la primavera, desde mediados de septiembre a mediados de noviembre. Durante este período hay buenas condiciones térmicas para el crecimiento, una demanda hídrica ambiental moderada y una gran ventana posterior de altas temperaturas, de forma que la pastura puede acumular biomasa durante la temporada estival. • La fertilización fosfórica es indispensable en la siembra, y se han obtenido buenos resultados de implantación con 80-120 kg/ha de superfosfato triple en suelos con 2-3 ppm de fósforo. • El uso de sembradoras con fertilización en la línea y buen control de profundidad tienen evidentes ventajas y un mejor coeficiente de logro que el de las máquinas de siembra y fertilización al voleo. • Es necesario comenzar con un buen control de malezas durante el barbecho. • Hay que trabajar para tener el mayor coeficiente de logro posible, ya que elevar la densidad de siembra se puede tornar antieconómico por el elevado costo de la semilla.
