Yu-Pin Chiu_Portfolio_2021

Page 1

SELECTED
PORTFOLIO
WORKS 2009 2021 YU-PIN CHIU
Invaliden Straße 134 10115 Berlin, Germany 18 May 1991 +49 (0) 1522 3624748 elt518@gmail.com Yu-Pin CHIU Address Date of Birth Mobile E-mail

EDUCATION PROFESSIONAL EXPERIENCES

2018 – 2018

Senior Architectural Designer

K.C.L Architecture & Planning Associates

• Familiar with building law &regulation and design developing

• BIM consultant and provide novel ideas and solutions

2014 – 2017

BIM Coordinator

DA CIN Integration Technology Co., Ltd.

• Expert in BIM project management and team work

• Offered supervision on design and construction for clients, design department and construction sectors to achieve top decision

• Integrated construction drawings for establishing good communication with client and construction sectors

• Ability to give 3D printing training lecture

2013 – 2014

Architectural Assistant

DA CIN Development Co., Ltd.

• Worked in building developments and schematic design

• BIM modeller and provided insights for construction engineers

2019 – present

M.Sc., Department of Architecture

Technische Universität Berlin (TUB)

2009 – 2013

BA, Department of Architecture

National Taiwan University of Science and Technology

CERTIFICATES

SKILLS

Professional

Adobe (Illustrator, Photoshop, Indesign), Rhino

Autodesk (AutoCAD, Revit), SketchUP, ArchiCAD, Dynamo, Lumion, Enscape, Power BI, 3D printing, Python

Language skills

Mandarin/ Taiwanese English German – native speaker – fluent - B1 ( Revit Architecture Certified Professional )
Autodesk Revit
Contents Academic Professional 01. The palace on the sea 2017 02. Between solid and soft 03. Daylighting and Energy Analysis in Deep plan building 04. New Ye-yin house 05. Children’s urban garden 2013 2020 2010 2010 Multiple dwelling house construction The memory of parents and children Container vacation youth hostel Machine Learning in Architecture Reconnection of old tribe & tourism

[ Professional works ]

01. THE PALACE ON THE SEA

Multiple dwelling house construction project

Location

Team work

Period

Site area

Building type

Built area

Client Architects

Landscape Architects

Facade Architects

Structure

M+E

Contractor

Civil

Lighting

BIM Coordinators

New Taipei City, Taiwan in Da Cin Integration technology Co., Ltd. (DCT)

June 2014 - November 2017

about 20,000 sqm

apartments about 100,000 sqm

JSL Construction Co., Ltd.

K.C.L Architecture & Planning Associates

T.D.Lee Architects

T.D.Lee Architects

Envision Engineering Consultants (EEC)

Giant Electrical & Plumbing engineering Co.

Da Cin Construction Co., Ltd.

Sino Geotechnology, Inc.

Lancaster Co., Ltd.

Da Cin Integration technology Co., Ltd. (DCT)

1.Reducing the expenditure of money and man-hour

2.Getting higher value of products for final customers (residents)

[Responsibilities]

DCT : a Coordinator among clients, architects and contractors.

Mine : a Project Manager & a team member.

• led two colleagues to finish this project

• Planed the tasks and setting the schedule

• produced the revit models (BIM)

• sent RFI (Request for information)

• Made a presentation to reach agreement

• provided the construction drawings for the use of construction

work condition Innovative (BIM) work condition
[Goal & Value] General

Read Drawings

Clients

• requirements

• budget

Structure

• regulations

• calculation

Construction

• regulations

• workability

Design units

• Architects

• Mechanical

• Electrical

• Interior

Construction

supervised

• inconsistent

• illegal

• unreasonable

Constructio Drawings

Drawings were used on site

• Clients

• Structure

• Construction

• Design units

supervised again

• inconsistent

• illegal

• unreasonable (not easy for 2D)

Provide Solutions (Presentation, Simulation)

[Workflow]
Receive information Reach Agreement Revise Models 2D - RFI
RFI
BIM Models 3D -

Read Drawings

- Understanding the concept of Architects

2D - RFI

- AutoCAD

- Hand drawing

Stairs

Revised

• user

• construction

Original Steps : 30 R : 13.2 cm

- typical floor plan

The type of windows and doors

• facade

• operational part.

T : 25 cm

Suggestion Steps : 25 R : 16 cm T : 25 cm

[Workflow
Detail]

BIM Models

The type of windows and doors at typical plan

Problems on 3D,and deal with it in advance.

- Revit - Revit
3D - RFI

Provide Solutions (Presentation, Simulation)

Showing original design and our suggestion in facade. - IFC - Gas pipeline routes

- 3D-Printer

- Parking ramp

- Simulation (many methods)

- Presentation

Use simulation models to reduce the time for communication

- 3D-PDF

- Detailed

- M+E

- Animation

Reach Agreement

- Restating the decision in the meeting.

Revise Models

- Revised by formal conclusions.

Constructio Drawings

- Floor plan

• wall

• column • slab

• beam

• balustrade

• dimensions

• materials

1

Constructio Drawings

2

- Details of Stairs

- Details of Facades

Construction

- Concrete structure

- Creating a good connection between clients, architects and contractor

[ Academic works ]

02. BETWEEN SOLID & SOFT

Container vacation youth hostel

Location

Independent work

Period

Site area

Building type

Built area

Sydney, Australia in university summer 2013 1,200 sqm hostel 250 sqm

First requirement hand-drawn works

Second requirement using three typical types of containers

Third requirement using 6-8 containers

Because the building type is youth hostel, I aim to create more public spaces to trigger more interactive activities among young people.

1.Stacked

Maximising internal spaces.

2.Partly intersected

Some interactive activities would happen

3.Blocked

There are strong connection

Double L shape stacked with slight adjustment.

2F : residential function (view)

1F : public function (activities)

[Topic] [Study] [Concept]

Building mass solid and soft

Building mass layout
[The draft model]

[Analytical Diagrams]

Residential area

- Landscape

Main entrance

- Vehicle circulation

Noise by tourists

Blocked by pool

Blocked by barbecue areas

- Noisy effect

Recreation activities

Setback

- View

Arrival square

Noise by vehicles

Beach Beach

Residential area

Beach

Permeable pavement

A path with plants as noise barrier

- Pedestrian circulation

Noise by tourists

Main entrance

Pedestrian and vehicle separation pedestrians

Decks

Restricting the building height

- Function

Living

Leisure

Recreation area

Setback Decks Decks

Living facilities

- Vibes

Setback for decreasing noise

- Stree width

[1st floor & site plan]

[2nd floor plan]

To entrance

Internal spaces

To minor path

External spaces

15.

16.

17.

18.

0. Lobby 1. Living room 2. Dining room 3. Kitchen 4. Elevater 5. Master suite 6. Suites (a wide bed for a number of people) 7. Study room 8. Laundry room 9. Storage 10. Public balconies 11. Swimming pool 12. Ecological pool 13. Deck for master bedroom 14. Sitting-out areas Wooden decks Barbecue areas Parking space Balcony garden To wooden deck

Decks EcologicalpoolSitting-outareaSuiteCorridorElevator

Woodendeck BarbecueareaParking [Section] [Detail]
Low-E Glass Softwood frame Glued laminated timber SHS Steel

Daylighting and Energy Deep plan building

Project type : Mixed use building

Location : Berlin

Since the last couple of growth in population can as well as other major cities. of people from different parts try and also the world has the Metropolitan cities of

Since real estate is s limited city, especially for a growing ternate methods to tackle these important. One of the solutions approach in design with deep

So, our study is mainly focused of a building and its relationship lighting” and “Building energy The objective of this research find a quick method to predict the initial phase of the design fore, saving a lot of design time,

Digitale Architektur und Nachhaltigkeit

Artificial Intelligence + Digital Modelling

Sommer Semester 2020

Key Image

03. DAYLIGHTING AND ENERGY ANALYSIS IN DEEP PLAN BUILDING

Machine Learning in Architecture

Location team work

Period

Building type

Berlin, Germany in university

2020

mixed use building

Since the last couple of decades, rapid growth in population can be seen in Berlin as well as other major cities. The great influx of people from different parts of the country and also the world has made Berlin one of the Metropolitan cities of the 21st century.

Since real estate is s limited resource for any city, especially for a growing city like Berlin, alternate methods to tackle these issues are very important. One of the solutions to it would be an approach in design with deep plan structures.

So, our study is mainly focused on the depth of a building and its relationship with “Day lighting” and “Building energy consumption”. The objective of this research is to be able to find a quick method to predict these things in the initial phase of the design process. Therefore, sa ving a lot of design time, energy and cost.

Objectives

The objective of this research is to initially study the characteristics of daylighting and energy regarding heat gain and heat loss in a Deep plan building in various different parameters.

Secondly, using Machine Learning model, predict Daylighting and energy consumption of the building then develop a user interface which can be linked to BIM software, such as Revit, as a “plugin” and predict the output in the initial phase of the design.

The objective of this research is to find an easy solution to the initial questions among Architects and designers regarding daylighting and energy consumption of the building. This will help in predicting the total illuminance and energy prediction using head gain/loss for a particular design and help make the necessary changes in the conceptual phase itself. Therefore, saving time, resource and cost of the project.

Variables

Indicators

Illuminance:

From the initial phase of the research, we were interested in the daylighting aspect of the deep plan to improve the design of the building. We wanted to study the characteristic of the quality of daylight over the reference point.

Energy prediction:

Another indicator was to calculate the energy consumption of the building using heat gain/ loss of the particular space. This gives us an insight into the thermal aspect of the building.

2
PRODUCED BY AN AUTODESK STUDENT VERSION PRODUCED BY AN AUTODESK STUDENT VERSION PRODUCED BY AN AUTODESK STUDENT VERSION PRODUCED BY AN AUTODESK STUDENT VERSION PRODUCED BY AN AUTODESK STUDENT VERSION PRODUCED BY AN AUTODESK STUDENT VERSION PRODUCED BY AN AUTODESK STUDENT VERSION PRODUCED BY AN AUTODESK STUDENT VERSION PRODUCED BY AN AUTODESK STUDENT VERSION PRODUCED BY AN AUTODESK STUDENT VERSION PRODUCED BY AN AUTODESK STUDENT VERSION PRODUCED BY AN AUTODESK STUDENT VERSION PRODUCED BY AN AUTODESK STUDENT VERSION PRODUCED BY AN AUTODESK STUDENT VERSION PRODUCED BY AN AUTODESK STUDENT VERSION PRODUCED BY AN AUTODESK STUDENT VERSION PRODUCED BY AN AUTODESK STUDENT VERSION PRODUCED BY AN AUTODESK STUDENT VERSION PRODUCED BY AN AUTODESK STUDENT VERSION PRODUCED BY AN AUTODESK STUDENT VERSION PRODUCED BY AN AUTODESK STUDENT VERSION PRODUCED BY AN AUTODESK STUDENT VERSION PRODUCED BY AN AUTODESK STUDENT VERSION PRODUCED BY AN AUTODESK STUDENT VERSION Width Orientation Material Avbsorbance Distance from the opening Window transmittance Floor Height

2.Geometry

3.Daylighting

4.Window

5.Material

3 Scenario / data flow diagram Building variables Dataset (500 rows) Sampling.py Setvalue-input Set 1.Orientation (Building)
(Building Surfaces)
Ref.point (Daylighting)
Transmittance (Win_Material)
Absorbance (Material) csv. Revit model Sefaira Web One zone defined Export idf. Set outputVar. Run simulation Output Dataset (500 rows) Training Dataset (500 rows) idf. Energyplus Editor csv. csv. MODEL/IDF BASE INPUT VARIABLES OUTPUT VARIABLES TRAINING DATA ML

the study the quality of light with the depth of the building and how with the total energy consumption.

Our aim is the study the quality of light with the depth of the building and how it balances with the total energy consumption.

20m 40m

Initial study models for the quality of light in different depths and condition

Variables:

Initial Phase- Study Models:

a. Building (Room) Variables

Variables:

a. Building (Room) Variables

. Width

. Width . Distance From the

.

. Orientation

. Distance From the Opening

. Orientation

.

Floor Height

For the basic understanding of a ‘Deep plan’ building, we built different models using Revit, starting from 20m to 60m. This was to understand the quality of light in the interior of the building. This gave us a clearer idea of how to approach the stages processing this initial step.

Floor Height

. Window Transmittance

. Window Transmittance

. Material Absorbance

. Material Absorbance

b. Indicators:

b. Indicators:

. Illuminance

. Total Energy Consumption

. Illuminance

Since we were primarily studying the daylighting characteristics of a deep plan building, we realized that it would be problematic or even misleading, to use a building model with openings on more than one side. Keeping in mind the complexities of the number of different variables that can affect the result, we decided to keep the opening on only one side.

. Total Energy Consumption

So, to narrow our point of observation and use a single room from the model as a point of reference where the opening is only on one side of the room.

4
10m 20m 40m
Digital Model Detail 1
Open Closed

Simple Revit model:

After the initial study phase of modelling buildings with different shape and sizes we decided to model a simple model with only one opening. This way we would be able to analysis the simple model in various different conditions dictated by the variables.

Thereafter, using web sefaira application we further simplified the model so that there are not a lot of misleading data that we have to modify in ‘Energy plus’. For eg: We simplified the default features of the application so that there is only one zone to be analysed.

We exported the final ‘.idf’ file to be edited and modified in ‘Energy plus’.

5
Digital Model Detail 1
Wall Roof Floor Glass

AI Implementation

Generation of training data

Set Input variables

value limitation

I. Set Input variables value limitation

Generate 500 Samples

Modify the idf file

III. Modify the idf file from Sefaira to energy plus

i. Set parameters - model Detailed

Building input parameters

Input variables Energyplus field Values

Width X-coordinate [m] =$X

Depth Y-coordinate [m] =$Y

Orientation North Axis [deg] =$ORI

Height Z-coordinate [m] =$H

Wintransmittance Visible Transmittance =$WIN_T

II. Sampling Scheme

i. Sobol Sampling for one variable

Sobol sequence compared with a pseudorandom number source. The Sobol sequence covers the space more evenly

Materialabsorbance Visible Absorptance =$Mat_A

Daylighting Reference Point input parameters

Input variables Energyplus field Values

- X-coordinate of reference point [m] 0

- Y-coordinate of reference point [m] =$Y/2

Sobol sequence

pseudorandom number source

ii. Latin Hypercube (LHS)

random sampling Latin Hypercube sampling

Orthogonal sampling

sources: https://en.wikipedia.org/wiki/Sobol_sequence

Latin hypercube sampling (LHS) is a statistical method for generating a near-random sample of parameter values from a multidimensional distribution

https://en.wikipedia.org/wiki/Latin_hypercube_sampling

- Z-coordinate of reference point [m] 0.8

Output parameters

Output variables Energyplus field Values

Illuminance

Daylighting Reference Point 1 Illuminance [lux] -

Zone Heat Gain Zone Windows Total Heat Gain [W] -

6
Input variables Lower bounds Upper bounds Width 10
Depth
Orientation
Height
Wintransmittance
Materialabsorbance
40
1 40
0 360
4 8
0.1 1
0 1

AI Implementation

Generation of training data

Run energyplus simulation organize and combine to one

file

Samples-500.csv

ii. import the 500 rows sampling values

IV. Organize and combine 500 csv. files in one file as training data

iii. run energy plus simulation

7
Width Depth Orientation Height Wintransmittance Materialabsorbance S1 10 1 0 4 0.1 0 S2 25 20.5 180 6 0.55 0.5 S3 32.5 10.75 90 5 0.775 0.75 S4 17.5 30.25 270 7 0.325 0.25 S5 21.25 15.625 225 7.5 0.4375 0.125 Source. Name Zone Windows Total Heat Gain [W] Daylighting Reference Point 1 Illuminance [lux] S1 39.48019239 3.354645288 S2 1840.939963 18.68920536 S3 218.3687643 2.049333204 S4 4234.41798 88.45429643 S5 2884.200342 54.15893166 Width Depth Orientation Height Wintransmittance Materialabsorbance ZoneWindowsTotalHeatGain DaylightingIlluminance 10 1 0 4 0.1 0 39.48019239 3.354645288 25 20.5 180 6 0.55 0.5 1840.939963 18.68920536 32.5 10.75 90 5 0.775 0.75 218.3687643 2.049333204 17.5 30.25 270 7 0.325 0.25 4234.41798 88.45429643 21.25 25.375 315 5.5 0.4375 0.125 2884.200342 54.15893166
1 2 3 4 100 1-100 101-200 201-300 1-500 301-400 401-500 200 101 201 301 401 102 202 302 402 103 203 303 403 104 204 304 404 300 400 500
plusText/ IDF Editor
data
csv.
energy
Results.csv Training

Structure of the Deep Learning Model:

For the structure of the deep learning model we chose Artificial Neural Network (ANN) with 2 hidden layers for our particular analysis.

AI method

List of libraries imported for machine learning:

input layer hidden layer 1 hidden layer 2 output layer

Training Dataset- 60%

For Training parameters

Actual Training dataset- 70%

For Tuning hyperparamters

Validation dataset- 30%

Test Dataset- 40%

X_Atrain, X_val, y_Atrain, y_val = train_test_split(X_train, y_train, test_size=0.3)

X_train, X_test, y_train, y_test = train_test_split(X, y, test_size=0.4, random_state=55)

8
AI Implementation
PRODUCED BY AN AUTODESK STUDENT VERSION PRODUCED BY AN AUTODESK STUDENT VERSION PRODUCED BY AN AUTODESK STUDENT VERSION PRODUCED BY AN AUTODESK STUDENT VERSION

Prediction

model = load_model(path+"/Models/M"+str(m)+".h5")

# load DL model which we created and already saved in this certain location path.

Prediction for testing

model = load_model(path+"/Models/M"+str(m)+".h5")

# load DL model which we created and already saved in this certain location path.

y_test_pred = scalarY.inverse_transform(model.predict(X_test, batch_ size=100000).reshape(-1, 1))

# model.predict is a keras function which we used as Sequential one. To assess the accuracy about the model, we call this code to get the y prediction values which predicted by model and compared with y test dataset which are simulated by energy plus.

features = [“Width”, “Depth”, “Orientation”, “Height”, “Wintransmittance”, “Materialabsorbance”]

outputVar = “DaylightingIlluminance” data = pd.read_csv(path + ‘/Buildingp.csv’)

X_testag = data[features]

y_testag = data[outputVar]

# import the testing csv. file and define the X_testag and y_testag dataset.

r2 = metrics.r2_score(y_test, y_test_pred)

# regression score function for later use.

scalarX_testag, scalarY_testag = scaler(), scaler()

X_testagag = scalarX.transform(X_testag)

y_testag_pred = scalarY.inverse_transform(model.predict(X_testagag, batch_ size=100000).reshape(-1, 1))

r2 = metrics.r2_score(y_testag, y_testag_pred)

# Scalar X_testag and Y_testag to make every values setting from 0 to 1, so that it will not run through a wrong weight value due to different units. Afterward, set model predict for generating the predict y value.

9
AI method
AI Implementation

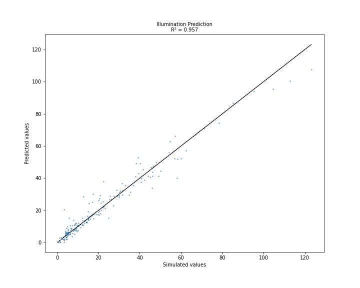
Results

Baseline setting

I. Results from Illuminance model

Training data (Illuminance)

II. Results from Energy model

Training data (Energy)

10
Model in energy plus Width [m] Depth [m] Orientation [m] Height [m] Wintransmittance Materialabsorbance DaylightingIlluminance [lux] DaylightingIlluminance_ predict[lux] S7 28.75 35.125 225 4.5 0.6625 0.875 6.99015 8.873544 Width [m] Depth [m] Orientation [m] Height [m] Wintransmittance Materialabsorbance ZoneWindowsTotalHeatGain [W] ZoneWindowsTotalHeatGain_ predict [W] S7 28.75 35.125 225 4.5 0.6625 0.875 3275.027621 3024.9563 Width Depth Orientation Height Wintransmittance Materialabsorbance S7-scalar 0.62524655 0.87819253 0.6254902 0.12180747 0.6254902 0.87573964 Width Depth Orientation Height Wintransmittance Materialabsorbance S7-scalar 0.62524655 0.87819253 0.6254902 0.12180747 0.6254902 0.87573964

Testing for importing one certain building parameter

I. Results from Illuminance model

II. Results from Energy model

The predicted values and simulated value which calculated by energy plus are quite closed which meet our expectation.

Room 1 in our design project

We try to set the input value the same as one room of our deep plan building to know the daylighting llluminance [lux] and energy heatgain[W] values.

11
Width [m] Depth [m] Orientation [m] Height [m] Wintransmittance Materialabsorbance DaylightingIlluminance [lux] ZoneWindowsTotalHeatGain [W] Room1 20 30 315 4.5 0.3 0.5 26.65371158 2828.832049 DaylightingIlluminance_ predict[lux] ZoneWindowsTotalHeatGain_predict [W] 24.938066 2812.3179
floor plan 20m 30m floor isometry Room 1 isometry
Training data

Improvement diagram

We plan to use the trained model in BIM softwares such as Revit as a ‘plugin’. Using the interface shown below, we can simple input the value to the fields and get the predicted output.

12

We found that the predicted data has a high level of accuracy which can be seen from the result. Which shows how we can use a ‘Simpel Artificial Neural Network (ANN) to achieve the desired result. This method can be used in the schematic phase of design for any type of building regarding the deep plan. After the prediction result, we found that this has a lot of potentials to be used in a wide range of fields.

However, the research we did is more subjective and can only be applied to design meeting the criteria set by the ‘input variables’. For eg: It can only be used for a space having opening only on one side. But, since this method is more specific towards deep plan building, many design questions regarding the deep plan building can be solved using this method. The questions regarding the daylighting and energy consumptions can more or less be answered using a simple interface in Revit or any other BIM software by simply entering the variables into the interface. The predicted data can be analysis instantaneously without having to go through the gruelling process of actually creating a digital model and running it through energy simulation software such as ‘sefaira’.

Therefore, this could save a lot of time for Architects and designers and help them to make crucial design decisions so that they can progress in the design without uncertainties.

13
Conclusion / discussion

04. CHILDREN’S URBAN GARDEN

memory of parents and children Location Independent work Period Site area Building type Built area Taipei, Taiwan in University 2011 775 sqm community center 550 sqm site
The

1st requirement : preserving these two trees in the site

2nd requirement : making parents and children closer

“When children are surrounded by natural environment, they would grow up with great bodies and spirits.”

1. Natural environment

Avoiding porn and violence by natural environment

2. Psychology of Colors

Using Psychology of Colors in interior design

3. Making safe activities

Letting families have their memory in this area, and it is a safe place for children

[Study]

Building mass layout

[Topic]
[Concept]

3rd floor plan

entry + reception area

office

2nd floor plan

1st floor & site plan

recreation areas for parents and children were zoned for requirement and saving energy.

1. children’s indoor playground

2. library

3. performing space

4. classroom

5. cafe

1F : accessible & family restroom

2F : restroom

elevator & stairs

machine room

[Floor plan] [Zone] [Function]

Psychology of Colors

, making children focus on what they enjoy

Excitement Peace

Concentration , triggering children’s energy to have fun together , feeling safe and fulfilled with family

[Section]

[Certficates ]

[Autodesk
Certified Professional: Revit Architecture 2014]

Thank you for watching my works.

PORTFOLIO

Yu-Pin Chiu

Architecture is the reaching out for the truth.

Turn static files into dynamic content formats.

Create a flipbook
Issuu converts static files into: digital portfolios, online yearbooks, online catalogs, digital photo albums and more. Sign up and create your flipbook.