KC Roland 2721 S Magnolia Drive Homebook

Page 1


Subject Property

S Magnolia Dr, Cornelius OR 97113

County Name: Washington

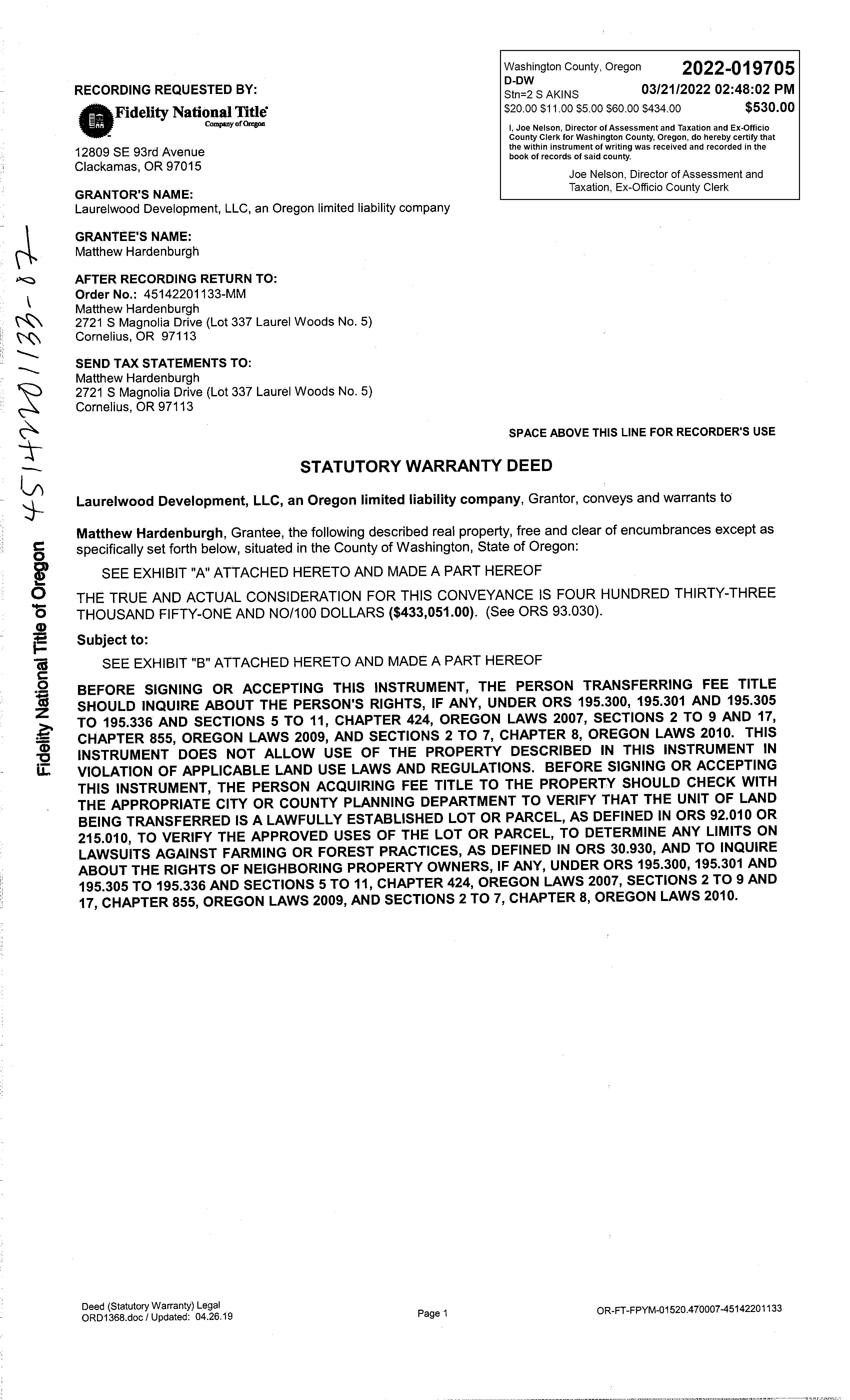
APN / Parcel Number: R2215815

Current Ownership: Matthew Hardenburgh

Site Address: 2721 S Magnolia Dr, Cornelius OR 97113

Mail Address: 2721 S Magnolia Dr, Cornelius OR 97113 *Owner Occupied

Tract / Subdivision: / Laurel Woods 05

Census Tract / Block: 032904 / 1012

Lot / Block: 337

Twn / Rng / Sec / Qtr: 01S / 03W / 03 / SE

Brief

Description:

Sale Information

Sale Recording Date: 03/21/2022

Property Characteristics

Property Details

APN: R2215815

Sentry Dynamics, Inc and its customers make no representations, warranties or conditions, express or implied, as to the accuracy or completeness of information contained in this report

Parcel ID: R2215815
Sentry Dynamics, Inc and its customers make no representations, warranties or conditions, express or
report 10/13/2025 Prepared by:Tracy Shea

Parcel ID: R2215815

SiteAddress: 2721 S Magnolia Dr

Sentry Dynamics, Inc and its customers make no representations, warranties or conditions, express or implied, as to the accuracy or completeness of information contained in this report

Sentry

Parcel ID: R2215815

SiteAddress: 2721 S Magnolia Dr

Sentry Dynamics, Inc and its customers make no representations, warranties or conditions, express or implied, as to the accuracy or completeness of information contained in this report

Bills PaymentHistory

2026GENERALINFORMATION

PropertyStatus AActive

PropertyType Residential

LegalDescription LAURELWOODSNO.5,LOT337, ACRES0.05

AlternateAccountNumber -

Neighborhood COR3CORNELIUSEAST3

MapNumber 1S303DB10400

PropertyUse 1010:RESIDENTIALIMPROVED

LevyCodeArea 007.29

2025CertiedTaxRate 16.4643

2026OWNERINFORMATION

OwnerName HARDENBURGH,MATTHEW

MailingAddress 2721SMAGNOLIADRCORNELIUS, OR97113

RELATEDPROPERTIES

LinkedPropertiesPropertyGroupIDGroupedPropertiesSplit/MergeDateSplit/MergeAccountsSplit/MergeMessage -

2025IMPROVEMENTS  Expand/CollapseAll

 Improvement#1 ImprovementType Beds/Baths - TownHouse 3/3

2025LANDSEGMENTS

CERTIFIED/INPROCESSVALUES

SALESHISTORY

$3,659.30

WASH2021-9252 2-22-2021 No

2020 WASH2020182617 11-18-2020 No

Households Breakdown

Age Distribution

Area Schools

Assigned School

Primary School: Free Orchards Elementary School

Middle School: Evergreen Jr High School

High School: Glencoe High School

Primary School

Free Orchards Elementary School 1

Middle School

Evergreen Jr High School 3

High School

Glencoe High School 2

Other School

1. Free Orchards Elementary School

Address: 2499 S Beech District: Hillsboro Sd 1J

Charter: No Magnet:

Title 1 Elig: 1-Yes

Male / Female: 185 / 200

2. Glencoe High School

Title 1: 5-Title I schoolwide school

Address: 2700 Nw Glencoe Rd District: Hillsboro Sd 1J

Charter: No Magnet:

Title 1 Elig: 2-No

3. Evergreen Jr High School

Title 1: 6-Not a Title I school

Distance: 0.55 mile(s)

Type: 1-Regular school

Students: 385

Grade Levels: Kindergarten - 6th Grade

3.10 mile(s)

Type: 1-Regular school

Students: 1,498

Grade Levels: 9th Grade - 12th Grade

Male / Female: 809 / 679 Distance: 3.68 mile(s)

Address: 29850 Nw Evergreen Rd District: Hillsboro Sd 1J

Charter: No

Title 1 Elig: 2-No

Male / Female: 358 / 342

Title 1: 6-Not a Title I school

Type: 1-Regular school

Students: 707

Grade Levels: 7th Grade - 8th Grade

Scan QR Code for CC&Rs

CC&Rs: Laurel Woods No. 5

STEPS IN A REAL ESTATE TRANSACTION

1

What is an Escrow?

THE LISTING AGREEMENT

The property owner (Seller) initiates a contract, or a listing agreement, with a licensed Real Estate Agent.

2

THE SALE

Property owner (Seller) enters into a purchase contract, typically referred to as an Earnest Money Agreement, with a Buyer.

3

ESCROW

As part of the purchase contract, Seller agrees to purchase a title insurance policy for the Buyer and both agree to close the transaction with a licensed escrow company. In Oregon, most title insurance companies also offer escrow services to facilitate a convenient “one-stop” approach to closing real estate transactions.

An escrow is a neutral third party depository for legal documents and funds necessary to complete a real estate transaction. The escrow agent will disburse funds and record documents for the proper recipients according to their written instructions.

What title insurance and escrow costs are incurred in a real estate sale?

The fee for escrow services is based on the sales price of the property. This fee is typically split equally between the Seller and Buyer. However, Buyers should check with their lenders if financing is involved because some federally insured lending programs do not allow borrowers to pay this fee. The Seller typically pays for a standard owner’s policy of title insurance which names the Buyer as the insured. Charges for this policy are based on the sales price of the property. The Buyer typically pays for a lender’s policy of title insurance and any required endorsements if s/he is obtaining a new loan to purchase the property. Charges for this policy are based on the loan amount.

What services does an escrow agent perform on behalf of the Seller and Buyer?

• Upon opening of escrow, escrow agent will order a preliminary title report, which will be sent to all interested parties involved in the transaction. The report will detail the current ownership, liens and encumbrances of the property.

• Closing statements will be prepared for each party, showing all credits and debits. The escrow agent will schedule appointments for all parties to sign their final necessary documents, including any funds needed to be deposited, to complete the transaction.

• Signed loan documents are returned to the Lender, for final review and funding approval.

• Recordable documents are released to the County Clerk’s office for recording.

• Once recorded, all funds are disbursed per written instructions.

• Final title policies are issued to the insured parties.

FROM PENDING TO SOLD

ESCROW FLOW CHART

Receive and review Earnest Money Agreement and Broker’s instructions.

Open escrow. Order title report.

Determine financing.

Information gathering from Buyer and Seller.

Receive title report. Send copies to all parties in the transaction.

Resolve any title issues. Order any payoff demands.

Review file. Are conditions satisfied? Contingencies removed?

Prepare closing statement, closing instructions and transfer deed

Obtain signatures on all escrow and loan documents. Collect any funds due from Buyer and/or Seller

Record applicable documents with the County Recorder's office.

Close file. Prepare final statements. Disburse funds.

Forward final documents to all interested parties - Buyer, Seller, Real Estate Agents, Lender, Broker, Attorney, etc.

NEW LOAN

Notify Escrow with name of new lender and loan officer.

Send title report to lender.

Notification of final loan approval. Are repairs complete?

Deliver Seller & Buyer Closing Disclosures. Buyers’ consummation 3-6 days.

Loan documents delivered to escrow.

Return loan documents for final approval to fund and record.

Order loan funds.

Turn static files into dynamic content formats.

Create a flipbook
Issuu converts static files into: digital portfolios, online yearbooks, online catalogs, digital photo albums and more. Sign up and create your flipbook.